1mg Dutasteride is not enough to stop balding on testosterone

Linus1888

Linus1888

Framecel final boss
Joined
Jul 17, 2024
Posts
1,855
Reputation
2,350
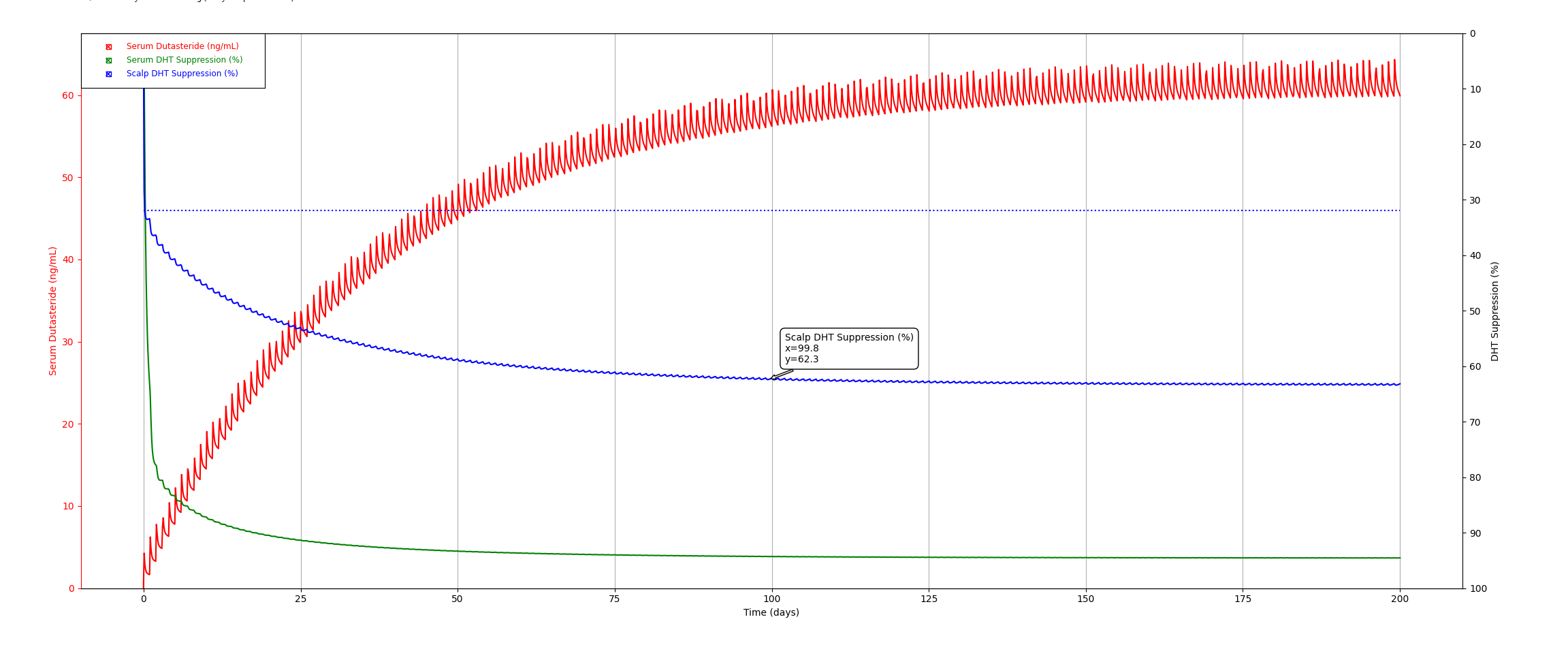
1mg per day of dutasteride is most definetly not enough to stop balding on supraphisiological levels of exogenous Testosterone.

1760993129120


This chart displays most importantly Scalp DHT Suppression in % while being on 1mg daily for 200 days.

as you can see only 62% of DHT gets supressed at day 100 (reaching peak supression at almost day 60 though)

If you add excessive amounts of exogenous testosterone you will most likely start balding and would need to up the DHT dosages and/or add RU

(Tagging oral minoxidil and DHT-maxxer King for validation: @chadisbeingmade )
 
  • +1
  • JFL
Reactions: TitusA, Paravan and HighIQ ubermensch
Well up the Dut to 2.5mg a days and add RU. I don’t see the issue.

It’s also not as linear as you think.
 
  • +1
Reactions: Paravan and HighIQ ubermensch
  • +1
Reactions: HighIQ ubermensch and chadisbeingmade
maybe the thread came across weirdly.
This was just info and nothing else, 1mg is not enough was the msg i tried bringing across
Fair enough considering the post of mine you repped before this thread was made JFL.

(Tagging oral minoxidil and DHT-maxxer King for validation: @
chadisbeingmade
@chadisbeingmade )
IMG 8198
 
  • JFL
Reactions: Linus1888
  • +1
Reactions: theübermenschboy
then why is it caged if we have the same conclusion.
cuz hair one is type 2 isoenzyme
that's nuked to oblivion

62% is cuz of type 1

caged because you should just nuke it with 2.5 anyways
no benefit of 0.5/1mg over 2.5
 
i mean it depends i guess on your genes like some people dont respond well to 1mg at all but others see results
 
1mg per day of dutasteride is most definetly not enough to stop balding on supraphisiological levels of exogenous Testosterone.

View attachment 4229088

This chart displays most importantly Scalp DHT Suppression in % while being on 1mg daily for 200 days.

as you can see only 62% of DHT gets supressed at day 100 (reaching peak supression at almost day 60 though)

If you add excessive amounts of exogenous testosterone you will most likely start balding and would need to up the DHT dosages and/or add RU

(Tagging oral minoxidil and DHT-maxxer King for validation: @chadisbeingmade )
Not really . I got regrowth (and maintaining 6 yeas later)with 0.5mg dut on 300mg cruise with 600mg cycles. If you are very dht sensitive then yeah you probably need more.

There is a threshold level of DHT you have to reach before loss starts and since dutasteride has diminishing returns as you up the dose its probs better to add in other hair loss drugs like RU.
 
  • +1
Reactions: Linus1888

Similar threads

BWC
Replies
48
Views
3K
Whatsamaxilla__
Whatsamaxilla__
Aryan Incel
Replies
62
Views
3K
thegever
thegever
holy
Replies
17
Views
1K
gigacumster3000
gigacumster3000

Users who are viewing this thread

Back
Top