homework help

Algernon

Algernon

contactless khhv
Joined
Mar 17, 2026
Posts
645
Reputation
654
i am bored

so if you have homework and send it here i will fill everything out for you and if you want i will explain it to

as long as its science or math related

edit: ask chatgpt instead nevermind
 
Last edited:
  • +1
  • Hmm...
Reactions: zakachiti, Lamskiiii, slycooperr and 2 others
my maths homework is in bulgarian:hnghn:
 
  • +1
  • Woah
Reactions: zakachiti and Algernon
r we deadass?
 
  • Hmm...
Reactions: Algernon
1000100903
 
  • JFL
  • Woah
  • Hmm...
Reactions: Jesus_ist_König, zakachiti, joojuszn and 2 others
1777229436803
 
  • +1
  • Hmm...
Reactions: zakachiti and Algernon
Take a chill day off u put in enough work
 
  • +1
Reactions: joojuszn, zakachiti, Algernon and 1 other person
Nigga this isnt even that super hard
1000100904
 
  • +1
Reactions: zakachiti, Algernon and 81xa
havent done a molecule of homework in 2 years
 
  • +1
Reactions: Algernon
1777230066242

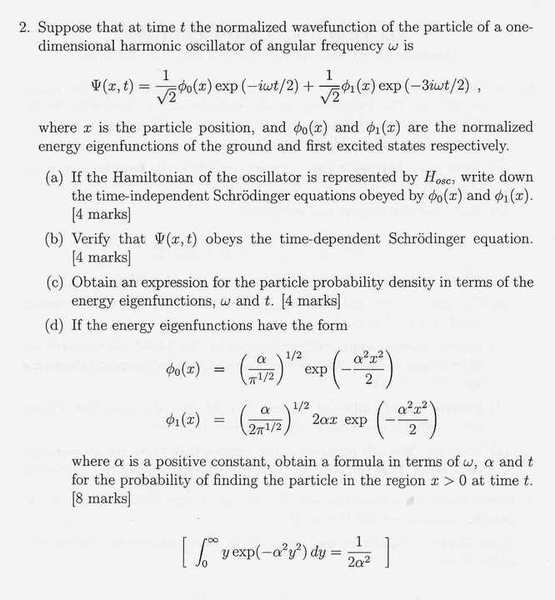
help please bro
 
  • Hmm...
Reactions: Algernon

Similar threads

pio
Replies
9
Views
99
italianltn
I
MyDreamIsToBe183CM
Replies
11
Views
51
Cherkez
Cherkez
undo
Replies
22
Views
90
RedDragonSlayer67
RedDragonSlayer67
avenox
Replies
10
Views
35
hypergamousmoidinal
hypergamousmoidinal
amc
Replies
3
Views
30
Eggshells
Eggshells

Users who are viewing this thread

Back
Top