looksmaxxing, risk perception and decision making (caution: high iq only)

homo_faber

homo_faber

i thought this was a looksmaxing forum
Joined
Oct 25, 2020
Posts
3,943
Reputation
6,033
Jj7Sj76.jpg


to go a little bit more into detail regarding that...

so far i identified 2 big mistakes looksmaxxer do in that regard (and most of that happens subconsciously without us noticing):


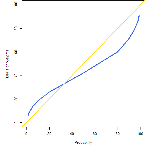
1. We tend to underestimate large/moderate probabilities and to overestimate small probabilities

Why that is is and why our brain is wired that way is another question. Fact is (and we know this from studies) that there is discrepancy between probability and decision weights (meaning people do not ‘believe’ the stated probabilities, or at least, when making decisions they ‘weigh’ probabilities in a manner that is not quite proportional).


ihTr09e.png


only at the extremes 0 and 100 decison weight and probability are equal, other then that there a different. especially close to the extremes as we can see in that table.



C7BxCLb.jpg




so what does that mean? an example from looksmaxxing:

if the probablity of occuring finasteride side effects would be 0, 100% of men who are balding would take finasteride. but what happens now that finasteride side effects occur in 1% of men? you would expect that there is not much big difference between the numbers of men who are willing to take finasteride compared to the scenario where it occurs in 0% of men. well we all know that is not the case. instead of 100% men who are balding now only maybe 5% of men are willing to take finasteride and not around 99% as you may expect it. the difference between 0% to 1% when it comes to decision making is so drastic and cant even be compared to lets the say the difference regarding probability between 49% and 50%.

the same goes for the risk of jaw surgery which is very low but in our neurotic brains gets unproportional weight in the decision making process.

we can observe the same phenomenon in the lottery. if you would ask 100 people if they are willing to play a lottery where the chance of winning is exactly 0, 0 people would be willing to pay for that bet. but if you tell them 0,00000072% chance of winning around 20 people would be willing to pay between 2$ and 10$ dollar on it.

its just how our brain works. various reasons and different explanation for that.

one is called the phenomen is called bias of imaginability.

tmaginability plays an important role in the evaluation of probabilities in reallife situations. the risk involved in an adventurous expedition, for example, is evaluated by imagining contingencies with which the expedition is not equipped to cope. ff many such difficulties are vividly portrayed, the expedition can be made to appear exceedingly dangerous, although the ease with which disasters are imagined need not reflect their actual likelihood.

now what happens if you try to evaluate the risks of finasteride and you read (often made up) stories on propecia helps? exactly.

same goes for jaw surgery. one bad example can be enough to fuck with your brain in an unpleasant way. because now you can imagine it. and your brain starts making up causation which could lead to such a results. and after your brain is done with this you can read statistics as much as you want - in your brain the danger will have disproportionately heigh weight in the decision making progress. and even worse - now that you read and thought about it, this bad example is very available in your memory.

there are many situations in which people assess the frequency of a class or the probability of an event by the ease with which instances or occurrences can be brought to mind. for example, one may assess the risk of heart attack among middle-aged people by recalling such occurrences among one's acquaintances. similarly, one may evaluate the probability that a given business venture will fail by imagining various difficulties it could encounter. this judgmental heuristic is called availability. availability is alliected by factors other than frequency and probability. consequently, the reliance on availability leads to predictable biases and mistakes in evaluating risks properly.


2. treating looksmaxxing as a game of possible gains when its actually a game of avoiding losses

Question:

Problem 1: Which do you choose?
Get $900 for sure or 90% chance to get $1000

Problem 2: Which do you choose?
Lose $900 for sure or 90% chance to lose $1000

If you are like most people you would have picked the sure win in problem 1 and you would have gambled to avoid the loss in problem 2.
Which in combination makes no sense

if you look at the expected values of each problems we have the following

problem 1:
option 1: 900*1=900
option 2: 1000*0,9 = 900

the expected values are the same. the difference is the risk. if you choose option 1 you are risk friendly if you choose option 2 you are risk averse.

problem 2:
expected values:
option 1: 900*1 = 900
option 2: 1000*0,9 = 900

as you can see its basically the same problem. but the fact that we speak about losses instead of gains changes everything. it changes complete how humans choosed and how they reacted.

humans treat risks in losses differently than risk in profits.

humans who are risk averse when it comes to gains all of sudden become risk friendly when it comes to losses. why? because humans regret losses more than they enjoy winnings of the same or similar magnitude. That is why we are ready to pay extra in order to insure ourselves. and thats why we suddenly became risk friendly when it comes to avoid losses. the pain of losses outweight our natural risk aversion.

the problem is when it comes to looksmaxxing is that you dont see losses that comes with being ugly. you only concentrate on the on possible gains (which in most cases wont be enough for you to be willing to take the risk eventually)


look at this fourthfold pattern. such schema predicts feeling and behavior of real humans considering the four combination of two variables: probability (high or low) and expected value (gains or loses). In this model, emotions play a very substantial role, powered by risk aversion.

hE29wSZ.png

( the picture above refers to the chance of winning a court trial and the attitude towards an offered settlement in any of the given cases, however it can easily be applied to any other area. e.g. buying a lottery ticket would fall in the lower right field)

so what does that mean for looksmaxxing?

(the risk of) surgery (as you have seen it until now) falls in the lower right field. which means you will avoid risks when in reality you should understand it as the option in upper right field (the risk of staying ugly). if you dont do anything regarding your looks you will lose in life with high possibility. misery, pain, regret are almost certain. once you truly understand and accepted this you will eventually be willing to take the risks, to take the steps (whatever it takes) that are needed.

right now you may be unhappy or at least not satisfied. but it doesnt has to be that way. become master of your own fate.

----------------------------------------------------------------------------------------------------------------------------------------

tldr: your brain is shit in evaluating risks especially when it comes to risks that are quite in the low range such as sideeffects of finasteride or fucked up surgeries. it gives rare occurences a way too strong weight when it comes to making decision (just as people who play the lottery - yes by avoiding surgery you act as irrational as a lottery player). being aware of that and acting acccordingly is the way to your ascension

i copied this
 
Last edited:
  • +1
  • Love it
  • JFL
Reactions: Soter, RandomLurker., mandiblade and 35 others
giphy.gif
 
  • JFL
  • WTF
Reactions: thecel, Deleted member 5608, Good_Little_Goy and 2 others
really good thread OP
 
  • +1
Reactions: thecel, Deleted member 1507 and Deleted member 5574
I need to take risks when im blowing my brains out with a shotgun
Thanks op
 
  • +1
  • So Sad
Reactions: 2023cel, thecel, DivineBeing and 2 others
Legit.
This batch of greycels is actually great.
 
  • Love it
Reactions: thecel
Insane thread OP
tl;dr if you don’t risk nothing, you risk everthing
 
  • +1
  • JFL
Reactions: 2023cel, thecel, LooksmaxxHopeful and 6 others
Psychology or economics student tier post.
 
  • +1
Reactions: Deleted member 9779
Read every pixel , high iq greycel carries looksmax once again
 
  • +1
Reactions: Deleted member 9779
Very good thread, enjoyed reading it.
 
I have read this somewhere before. Mirin your karma farming reddit boi
 
Dude did you copy pasta in from .net

there was exactly the same thread lol
 
  • +1
Reactions: oatmeal, curryslayerordeath and Dog face
  • +1
Reactions: lasthope
Dude did you copy pasta in from .net

there was exactly the same thread lol

yep. read the spoiler. you are running through open doors here
 
  • +1
Reactions: lasthope
Dude did you copy pasta in from .net

there was exactly the same thread lol

made by the poster duerrenmatt (a swiss author whose best friend was max frisch whose most favorite written book is ..ah whatever. go figure)

all props to him :))
 
  • +1
Reactions: lasthope
made by the poster duerrenmatt (a swiss author whose best friend was max frisch whose most favorite written book is ..ah whatever. go figure)

all props to him :))
Alright no problem with copy pasta
But some credits are always nice
 
By the way
Good and important thread
 
It was a nice read.
Good one OP
 
Holy shit, legendary poster
 
This also stops People from having LL. Most likely it Will go well
 
Last edited:
  • +1
Reactions: whydoweevenlive
Yeah, OP, it's good most men are too pussy to hop on fin, extend dick, go to leg lengthening and perform osteotomies. Less competition. Pussies deserve to rot.

Only through blood and bone can we ascend.
 
1606667046363

literally caged out at this retarded horseshit, you are a little too confused buddyboyo chill with the high iq threads

90% chance to get 1000 USD = 1000*0.9 = 900?
if someone tells you you got 90% chance to get 1000 USD that means you are getting 900 usd? son are you retarded in the head ngl?
 
View attachment 836612
literally caged out at this retarded horseshit, you are a little too confused buddyboyo chill with the high iq threads

90% chance to get 1000 USD = 1000*0.9 = 900?
if someone tells you you got 90% chance to get 1000 USD that means you are getting 900 usd? son are you retarded in the head ngl?

do you know what an expected value is? delete your account. embarassing comment yours
 
do you know what an expected value is? delete your account. embarassing comment yours
its still retarded broscience buddyboyo just get surgery and stop making essays
 
Just find your niche, and go all in and unique-maxx.

You'll be more likely to weed out a noticeable part of the foids population this way, but at least you'll be also more likely to really attract a small percent of them, who are attracted to your niche, be it vampiremaxx, degeneratemaxx,etc,...
 
its still retarded broscience buddyboyo just get surgery and stop making essays

SmTCU7Q.jpg


BaggyJadedIslandcanary-size_restricted.gif
tenor.gif
54d4451243b8c_-_tumblr_ncfookkl7d1tlgt1ro2_500.gif





to prevent comments like that i even made the caption "high iq only" - people who fail to grasp easy and basic concepts like expected value and then have the audicaty ...

4f56588cd246707ec5e4d938d28f8a50.gif


never post in my threads again

youre right about just getting surgery...however...


never post in my threads again
 
  • +1
  • JFL
Reactions: whydoweevenlive and Deleted member 7419
This also stops People from having LL. Most likely it Will go well
I think about LL every day.
I hate getting height mooged by 80% of guys daily.
But, I can’t justify taking the risk, as I get poon fairly easily.
If I couldn’t get poon d/t being manlet, I’d LL in a heartbeat.
Or, I’d move to Indonesia or some other short 3rd world place.
 
Last edited:
  • +1
Reactions: turkproducer and klamus
Jj7Sj76.jpg


to go a little bit more into detail regarding that...

so far i identified 2 big mistakes looksmaxxer do in that regard (and most of that happens subconsciously without us noticing):


1. We tend to underestimate large/moderate probabilities and to overestimate small probabilities

Why that is is and why our brain is wired that way is another question. Fact is (and we know this from studies) that there is discrepancy between probability and decision weights (meaning people do not ‘believe’ the stated probabilities, or at least, when making decisions they ‘weigh’ probabilities in a manner that is not quite proportional).


ihTr09e.png


only at the extremes 0 and 100 decison weight and probability are equal, other then that there a different. especially close to the extremes as we can see in that table.



C7BxCLb.jpg




so what does that mean? an example from looksmaxxing:

if the probablity of occuring finasteride side effects would be 0, 100% of men who are balding would take finasteride. but what happens now that finasteride side effects occur in 1% of men? you would expect that there is not much big difference between the numbers of men who are willing to take finasteride compared to the scenario where it occurs in 0% of men. well we all know that is not the case. instead of 100% men who are balding now only maybe 5% of men are willing to take finasteride and not around 99% as you may expect it. the difference between 0% to 1% when it comes to decision making is so drastic and cant even be compared to lets the say the difference regarding probability between 49% and 50%.

the same goes for the risk of jaw surgery which is very low but in our neurotic brains gets unproportional weight in the decision making process.

we can observe the same phenomenon in the lottery. if you would ask 100 people if they are willing to play a lottery where the chance of winning is exactly 0, 0 people would be willing to pay for that bet. but if you tell them 0,00000072% chance of winning around 20 people would be willing to pay between 2$ and 10$ dollar on it.

its just how our brain works. various reasons and different explanation for that.

one is called the phenomen is called bias of imaginability.

tmaginability plays an important role in the evaluation of probabilities in reallife situations. the risk involved in an adventurous expedition, for example, is evaluated by imagining contingencies with which the expedition is not equipped to cope. ff many such difficulties are vividly portrayed, the expedition can be made to appear exceedingly dangerous, although the ease with which disasters are imagined need not reflect their actual likelihood.

now what happens if you try to evaluate the risks of finasteride and you read (often made up) stories on propecia helps? exactly.

same goes for jaw surgery. one bad example can be enough to fuck with your brain in an unpleasant way. because now you can imagine it. and your brain starts making up causation which could lead to such a results. and after your brain is done with this you can read statistics as much as you want - in your brain the danger will have disproportionately heigh weight in the decision making progress. and even worse - now that you read and thought about it, this bad example is very available in your memory.

there are many situations in which people assess the frequency of a class or the probability of an event by the ease with which instances or occurrences can be brought to mind. for example, one may assess the risk of heart attack among middle-aged people by recalling such occurrences among one's acquaintances. similarly, one may evaluate the probability that a given business venture will fail by imagining various difficulties it could encounter. this judgmental heuristic is called availability. availability is alliected by factors other than frequency and probability. consequently, the reliance on availability leads to predictable biases and mistakes in evaluating risks properly.


2. treating looksmaxxing as a game of possible gains when its actually a game of avoiding losses

Question:

Problem 1: Which do you choose?
Get $900 for sure or 90% chance to get $1000

Problem 2: Which do you choose?
Lose $900 for sure or 90% chance to lose $1000

If you are like most people you would have picked the sure win in problem 1 and you would have gambled to avoid the loss in problem 2.
Which in combination makes no sense

if you look at the expected values of each problems we have the following

problem 1:
option 1: 900*1=900
option 2: 1000*0,9 = 900

the expected values are the same. the difference is the risk. if you choose option 1 you are risk friendly if you choose option 2 you are risk averse.

problem 2:
expected values:
option 1: 900*1 = 900
option 2: 1000*0,9 = 900

as you can see its basically the same problem. but the fact that we speak about losses instead of gains changes everything. it changes complete how humans choosed and how they reacted.

humans treat risks in losses differently than risk in profits.

humans who are risk averse when it comes to gains all of sudden become risk friendly when it comes to losses. why? because humans regret losses more than they enjoy winnings of the same or similar magnitude. That is why we are ready to pay extra in order to insure ourselves. and thats why we suddenly became risk friendly when it comes to avoid losses. the pain of losses outweight our natural risk aversion.

the problem is when it comes to looksmaxxing is that you dont see losses that comes with being ugly. you only concentrate on the on possible gains (which in most cases wont be enough for you to be willing to take the risk eventually)


look at this fourthfold pattern. such schema predicts feeling and behavior of real humans considering the four combination of two variables: probability (high or low) and expected value (gains or loses). In this model, emotions play a very substantial role, powered by risk aversion.

hE29wSZ.png

( the picture above refers to the chance of winning a court trial and the attitude towards an offered settlement in any of the given cases, however it can easily be applied to any other area. e.g. buying a lottery ticket would fall in the lower right field)

so what does that mean for looksmaxxing?

(the risk of) surgery (as you have seen it until now) falls in the lower right field. which means you will avoid risks when in reality you should understand it as the option in upper right field (the risk of staying ugly). if you dont do anything regarding your looks you will lose in life with high possibility. misery, pain, regret are almost certain. once you truly understand and accepted this you will eventually be willing to take the risks, to take the steps (whatever it takes) that are needed.

right now you may be unhappy or at least not satisfied. but it doesnt has to be that way. become master of your own fate.

----------------------------------------------------------------------------------------------------------------------------------------

tldr: your brain is shit in evaluating risks especially when it comes to risks that are quite in the low range such as sideeffects of finasteride or fucked up surgeries. it gives rare occurences a way too strong weight when it comes to making decision (just as people who play the lottery - yes by avoiding surgery you act as irrational as a lottery player). being aware of that and acting acccordingly is the way to your ascension

i copied this
Whats your iq op? Go take test.mensa.no
 
Exactly, people are not rational, just monkeys barely able to speak.
 
read this thread and I like it
 
Shit thread, risk level question is also bullshit, average guy here is a teenager who would get LF3 if someone was covering it for him.
 
Shit thread, risk level question is also bullshit, average guy here is a teenager who would get LF3 if someone was covering it for him.
literally everything of what you wrote is wrong
 
good thread
 
  • +1
Reactions: thecel, Deleted member 7419 and Deleted member 1507
Ngl, it should be in best of the best section
 
  • +1
Reactions: thecel
Most looksmaxing is low risk, low-high reward. Illogical and irrational if you don't do MOST looksmaxing methods
 
  • Woah
Reactions: thecel
Most looksmaxing is low risk, low-high reward. Illogical and irrational if you don't do MOST looksmaxing methods
retin a cream turned me into a chad
 
  • Woah
Reactions: thecel
Risk of getting surgery is not about dying, it's about the outcome not looking good.
 
  • Woah
  • +1
Reactions: Deleted member 23154 and thecel
I prefer 'You won't get to use your dick as you are anyway, just take the fin'
 
View attachment 836612
literally caged out at this retarded horseshit, you are a little too confused buddyboyo chill with the high iq threads

90% chance to get 1000 USD = 1000*0.9 = 900?
if someone tells you you got 90% chance to get 1000 USD that means you are getting 900 usd? son are you retarded in the head ngl?
five years later the retardation of this reply is still fucking up. develop a sense of shame nigga and repent
 
Problem 2: Which do you choose?
Lose $900 for sure or 90% chance to lose $1000
The way I see it, the $900 is already written off, but I would be paying $100 for a 10% chance to win back the $900
 

Similar threads

T
Replies
28
Views
242
tomdwane
T
lcberg04
Replies
12
Views
267
lcberg04
lcberg04
viper__7
Replies
29
Views
2K
viper__7
viper__7
Futur_streamerr
Replies
159
Views
1K
Futur_streamerr
Futur_streamerr
D
Replies
8
Views
363
PSL Journey
P

Users who are viewing this thread

Back
Top