
Copercel
Pharmaceuticals enthusiast, maximizing MPS
- Joined
- Dec 1, 2024
- Posts
- 18,382
- Reputation
- 40,404
Science Of Stress
Some music while your reading this masterpiece:
This thread isn’t for dilettantes or low agency cope merchants.
It’s written for individuals intent on mastering the aesthetics game at its most fundamental level those who understand that true looksmaxxing begins with internal regulation, not superficial tactics.
Stress is the silent saboteur of aesthetic potential.
It dysregulates your neuroendocrine axis, degrades tissue quality, accelerates cellular aging, compromises regenerative capacity, and shifts your entire physiology into a catabolic, pro-inflammatory state.
Your skin, hair, facial symmetry, sleep architecture, hormonal profile, and overall morphology are all under siege when stress is mismanaged.
If you’re chronically stressed, you’re playing this game with a weighted vest and blindfold.
Cortisol dominance nullifies the returns of your skincare, training, PEDs, diet, and recovery protocols.
You can microneedle, minoxidil, and melanotan all you want if your HPA axis is dysregulated, you’re simply shuffling deck chairs on the Titanic.
This is the foundation.
Before peptides, before roids, before skincare routines, before jaw devices or hairline restoration fix your stress response. Or continue coping.
This post may quite literally save you years of stagnation and wasted optimization cycles.
Tried to put this thread in a way that people who aren’t familiar with this subject will understand.
It’s written for individuals intent on mastering the aesthetics game at its most fundamental level those who understand that true looksmaxxing begins with internal regulation, not superficial tactics.
Stress is the silent saboteur of aesthetic potential.
It dysregulates your neuroendocrine axis, degrades tissue quality, accelerates cellular aging, compromises regenerative capacity, and shifts your entire physiology into a catabolic, pro-inflammatory state.
Your skin, hair, facial symmetry, sleep architecture, hormonal profile, and overall morphology are all under siege when stress is mismanaged.
If you’re chronically stressed, you’re playing this game with a weighted vest and blindfold.
Cortisol dominance nullifies the returns of your skincare, training, PEDs, diet, and recovery protocols.
You can microneedle, minoxidil, and melanotan all you want if your HPA axis is dysregulated, you’re simply shuffling deck chairs on the Titanic.
This is the foundation.
Before peptides, before roids, before skincare routines, before jaw devices or hairline restoration fix your stress response. Or continue coping.
This post may quite literally save you years of stagnation and wasted optimization cycles.
Tried to put this thread in a way that people who aren’t familiar with this subject will understand.
Let’s start

Stress is a complex hormonal response that involves several key systems in the body, with the hypothalamic pituitary adrenal (HPA) axis being the central player. When you experience stress, your body’s immediate response is to release adrenaline and cortisol. These hormones are necessary for your body to deal with perceived threats. For short bursts of time, this reaction is helpful. However, in the modern world, where stress is chronic, the impact on your physical health is devastating.
HPA axis-
Cortisol:
Cortisol is the primary stress hormone, released from the adrenal glands. It has a multitude of functions: it helps regulate metabolism, controls blood sugar, and is involved in the body’s inflammatory response. Under normal circumstances, cortisol is important for energy regulation. However, when cortisol is constantly elevated due to ongoing stress, it causes a cascade of negative effects. First, cortisol triggers the breakdown of muscle tissue. This is a direct result of the body’s attempt to mobilize energy during stress by breaking down proteins in the muscles for fuel. When muscle tissue is broken down, it impacts both your muscle mass and strength, which has long-term effects on your physique.
At the same time, cortisol also leads to an increase in fat storage, particularly around the abdomen. This type of fat, known as visceral fat, is not only difficult to burn, but it’s also metabolically active, meaning it contributes to further hormonal imbalances. Essentially, the more cortisol you have, the more fat your body stores around your midsection. This fat is linked to increased risks of metabolic syndrome, type 2 diabetes, and heart disease, but more importantly, it affects your physical aesthetics. You could be doing everything right in the gym and still see your belly grow due to chronic stress.
Cortisol also interferes with thyroid function. The thyroid is the gland responsible for regulating metabolism, energy levels, and fat loss. Chronic stress reduces thyroid hormone production, which leads to slower metabolism. This means that despite your best efforts to burn fat, you might be fighting against a slower metabolism, making it harder to lose weight and harder to keep the muscle mass you’re working so hard to build.
Then, there’s prolactin. This hormone, which is naturally higher in women but also important for men, increases under stress. Prolactin inhibits dopamine, which is responsible for motivation, pleasure, and drive. When prolactin levels are high, you may experience a lack of energy and lower libido. This is one of the more frustrating aspects of stress: not only does it kill your physical appearance, but it kills your motivation to improve it. If your mental state is compromised, you’re not going to feel like putting in the work at the gym or taking the time to groom yourself, and that lack of motivation makes looksmaxing feel impossible.
On top of all this, testosterone levels drop under stress. Testosterone is key for muscle growth, strength, and maintaining a sharp, masculine jawline. Low testosterone means that you’ll struggle to build muscle mass, and it can contribute to a softer face, which is exactly the opposite of what you’re aiming for in your looksmaxing journey. (This is for Stress pills mfs)
Stress also reduces the amount of growth hormone produced by the body. GH is essential for cell regeneration, skin repair, muscle growth, and fat burning. When your GH levels are low due to chronic stress, you lose out on optimal recovery after workouts, which makes it even harder to maintain or grow your muscle mass. Furthermore, your skin’s natural regeneration slows down, which accelerates aging and reduces your skin’s elasticity.
Sources:
Cortisol and Muscle Breakdown
Cortisol and Visceral Fat
Cortisol and Thyroid Suppression
Stress and Prolactin Elevation
Stress-Induced Testosterone Suppression
Chronic Stress and GH Reduction
HPA axis-

Cortisol:
Cortisol is the primary stress hormone, released from the adrenal glands. It has a multitude of functions: it helps regulate metabolism, controls blood sugar, and is involved in the body’s inflammatory response. Under normal circumstances, cortisol is important for energy regulation. However, when cortisol is constantly elevated due to ongoing stress, it causes a cascade of negative effects. First, cortisol triggers the breakdown of muscle tissue. This is a direct result of the body’s attempt to mobilize energy during stress by breaking down proteins in the muscles for fuel. When muscle tissue is broken down, it impacts both your muscle mass and strength, which has long-term effects on your physique.
At the same time, cortisol also leads to an increase in fat storage, particularly around the abdomen. This type of fat, known as visceral fat, is not only difficult to burn, but it’s also metabolically active, meaning it contributes to further hormonal imbalances. Essentially, the more cortisol you have, the more fat your body stores around your midsection. This fat is linked to increased risks of metabolic syndrome, type 2 diabetes, and heart disease, but more importantly, it affects your physical aesthetics. You could be doing everything right in the gym and still see your belly grow due to chronic stress.
Cortisol also interferes with thyroid function. The thyroid is the gland responsible for regulating metabolism, energy levels, and fat loss. Chronic stress reduces thyroid hormone production, which leads to slower metabolism. This means that despite your best efforts to burn fat, you might be fighting against a slower metabolism, making it harder to lose weight and harder to keep the muscle mass you’re working so hard to build.

Then, there’s prolactin. This hormone, which is naturally higher in women but also important for men, increases under stress. Prolactin inhibits dopamine, which is responsible for motivation, pleasure, and drive. When prolactin levels are high, you may experience a lack of energy and lower libido. This is one of the more frustrating aspects of stress: not only does it kill your physical appearance, but it kills your motivation to improve it. If your mental state is compromised, you’re not going to feel like putting in the work at the gym or taking the time to groom yourself, and that lack of motivation makes looksmaxing feel impossible.
On top of all this, testosterone levels drop under stress. Testosterone is key for muscle growth, strength, and maintaining a sharp, masculine jawline. Low testosterone means that you’ll struggle to build muscle mass, and it can contribute to a softer face, which is exactly the opposite of what you’re aiming for in your looksmaxing journey. (This is for Stress pills mfs)
Stress also reduces the amount of growth hormone produced by the body. GH is essential for cell regeneration, skin repair, muscle growth, and fat burning. When your GH levels are low due to chronic stress, you lose out on optimal recovery after workouts, which makes it even harder to maintain or grow your muscle mass. Furthermore, your skin’s natural regeneration slows down, which accelerates aging and reduces your skin’s elasticity.
Sources:
Cortisol and Muscle Breakdown
Cortisol and Visceral Fat
Cortisol and Thyroid Suppression
Stress and Prolactin Elevation
Stress-Induced Testosterone Suppression
Chronic Stress and GH Reduction
Stress has a wide reaching impact on your physical appearance, and it doesn’t just manifest in obvious ways like acne. The effects are systemic, meaning that everything from your skin texture to your hair, body composition, and even your facial structure can be impacted by chronic stress.
Wait until the “stress pill” mfs will read this thread
1. Hair Loss :
Chronic stress causes a phenomenon called telogen effluvium, which leads to mass shedding of hair. This type of hair loss is often noticeable months after a stressful event your hair follicles enter a resting phase and stop growing. Eventually, this can result in thinning hair.
Stress can also disrupt the natural balance of DHT in the body. DHT is the hormone responsible for hair follicle miniaturization and is the primary contributor to male pattern baldness (for those who don’t know) . While stress doesn’t directly increase DHT, it can exacerbate its effects by making your hair follicles more sensitive to it. If you’re already predisposed to male pattern baldness, stress can make it happen faster.
Don’t let the Norwood reaper catch you
Furthermore, stress slows down blood circulation to the scalp, depriving your hair follicles of necessary nutrients, which ultimately results in weak, brittle hair.
2. Skin Aging :
The most obvious way stress affects the skin is through inflammation. Cortisol triggers a breakdown of collagen and elastin, two proteins that give your skin its structure and elasticity. Over time, this leads to wrinkles, sagging skin, and an overall aged appearance. But it’s not just the physical effects of cortisol on the skin — stress also compromises your immune system, making your skin more vulnerable to acne, rosacea, and other skin conditions. It also decreases the body’s ability to heal itself, so acne scars, cuts, and bruises take longer to heal.
Chronic stress leads to dehydration, as your body loses its ability to retain hyaluronic acid (a molecule that keeps your skin hydrated and plump). When your skin becomes dehydrated, it appears dull, and wrinkles and fine lines become more prominent.
3. Facial Aesthetics :
Stress impacts your facial structure in ways that are subtle but significant. Stress can cause fluid retention, which makes your face look puffy or bloated. This can be especially noticeable around the eyes, cheeks, and jawline. Over time, this fluid retention can distort your natural features and make your face appear less chiseled or defined.
The long-term effects of stress result in muscle catabolism, which means your face loses fat and muscle mass. This makes your face appear more hollow or gaunt, especially in the cheeks and jawline. Your jawline, which is crucial for masculinity and overall face symmetry, can lose its sharpness, making you appear less youthful or dynamic.
In addition to this, poor sleep quality which is often a byproduct of stress exacerbates these effects. Sleep is essential for muscle repair, skin regeneration, and growth hormone production. Without enough restorative sleep, your body doesn’t have the time it needs to recover from workouts or skin damage, which further accelerates the aging process.
4. Muscle loss (stress pill mfs GTFOH) :
Stress reduces muscle mass mainly through its impact on hormones, recovery, and overall body balance. When you’re stressed, your body produces more cortisol, a hormone meant to help you survive short-term danger. However, when cortisol stays high for too long as with chronic stress it starts breaking down muscle tissue. Cortisol pulls amino acids from your muscles and turns them into glucose for quick energy, especially during times of perceived threat. This leads to a loss of muscle over time.
Cortisol also blocks important muscle-building signals. It interferes with mTOR, the main driver of muscle growth, and can raise levels of myostatin, a protein that tells your body to stop building muscle. On top of that, stress lowers testosterone (jfl) and growth hormone levels, both of which are essential for maintaining and growing muscle. Less of these hormones means slower recovery, less protein synthesis, and more muscle breakdown.
Stress also affects your nervous system and behavior. It can make you tired, unmotivated, and anxious, which affects your ability to train hard or recover properly (water). Stress often leads to poor sleep, worse diet choices, and lower consistency in the gym. All of this adds up to a catabolic environment in your body one where building or keeping muscle becomes much harder.
In short, stress tilts your internal chemistry and behavior toward muscle loss: it raises catabolic hormones, lowers anabolic ones, disrupts recovery, and pushes you into patterns that sabotage training and nutrition. If you want to protect your muscle mass, managing stress is just as important as lifting weights or eating protein, so gymcels stfu and stop focusing only on the gym.
Sources:
pmc.ncbi.nlm.nih.gov
pubmed.ncbi.nlm.nih.gov
pubmed.ncbi.nlm.nih.gov
pubmed.ncbi.nlm.nih.gov
Wait until the “stress pill” mfs will read this thread
1. Hair Loss :
Chronic stress causes a phenomenon called telogen effluvium, which leads to mass shedding of hair. This type of hair loss is often noticeable months after a stressful event your hair follicles enter a resting phase and stop growing. Eventually, this can result in thinning hair.
Stress can also disrupt the natural balance of DHT in the body. DHT is the hormone responsible for hair follicle miniaturization and is the primary contributor to male pattern baldness (for those who don’t know) . While stress doesn’t directly increase DHT, it can exacerbate its effects by making your hair follicles more sensitive to it. If you’re already predisposed to male pattern baldness, stress can make it happen faster.

Don’t let the Norwood reaper catch you

Furthermore, stress slows down blood circulation to the scalp, depriving your hair follicles of necessary nutrients, which ultimately results in weak, brittle hair.
2. Skin Aging :
The most obvious way stress affects the skin is through inflammation. Cortisol triggers a breakdown of collagen and elastin, two proteins that give your skin its structure and elasticity. Over time, this leads to wrinkles, sagging skin, and an overall aged appearance. But it’s not just the physical effects of cortisol on the skin — stress also compromises your immune system, making your skin more vulnerable to acne, rosacea, and other skin conditions. It also decreases the body’s ability to heal itself, so acne scars, cuts, and bruises take longer to heal.
Chronic stress leads to dehydration, as your body loses its ability to retain hyaluronic acid (a molecule that keeps your skin hydrated and plump). When your skin becomes dehydrated, it appears dull, and wrinkles and fine lines become more prominent.
3. Facial Aesthetics :
Stress impacts your facial structure in ways that are subtle but significant. Stress can cause fluid retention, which makes your face look puffy or bloated. This can be especially noticeable around the eyes, cheeks, and jawline. Over time, this fluid retention can distort your natural features and make your face appear less chiseled or defined.
The long-term effects of stress result in muscle catabolism, which means your face loses fat and muscle mass. This makes your face appear more hollow or gaunt, especially in the cheeks and jawline. Your jawline, which is crucial for masculinity and overall face symmetry, can lose its sharpness, making you appear less youthful or dynamic.
In addition to this, poor sleep quality which is often a byproduct of stress exacerbates these effects. Sleep is essential for muscle repair, skin regeneration, and growth hormone production. Without enough restorative sleep, your body doesn’t have the time it needs to recover from workouts or skin damage, which further accelerates the aging process.
4. Muscle loss (stress pill mfs GTFOH) :
Stress reduces muscle mass mainly through its impact on hormones, recovery, and overall body balance. When you’re stressed, your body produces more cortisol, a hormone meant to help you survive short-term danger. However, when cortisol stays high for too long as with chronic stress it starts breaking down muscle tissue. Cortisol pulls amino acids from your muscles and turns them into glucose for quick energy, especially during times of perceived threat. This leads to a loss of muscle over time.
Cortisol also blocks important muscle-building signals. It interferes with mTOR, the main driver of muscle growth, and can raise levels of myostatin, a protein that tells your body to stop building muscle. On top of that, stress lowers testosterone (jfl) and growth hormone levels, both of which are essential for maintaining and growing muscle. Less of these hormones means slower recovery, less protein synthesis, and more muscle breakdown.
Stress also affects your nervous system and behavior. It can make you tired, unmotivated, and anxious, which affects your ability to train hard or recover properly (water). Stress often leads to poor sleep, worse diet choices, and lower consistency in the gym. All of this adds up to a catabolic environment in your body one where building or keeping muscle becomes much harder.
In short, stress tilts your internal chemistry and behavior toward muscle loss: it raises catabolic hormones, lowers anabolic ones, disrupts recovery, and pushes you into patterns that sabotage training and nutrition. If you want to protect your muscle mass, managing stress is just as important as lifting weights or eating protein, so gymcels stfu and stop focusing only on the gym.
Sources:
Brain-Skin Connection: Stress, Inflammation and Skin Aging - PMC
The intricate relationship between stress and skin conditions has been documented since ancient times. Recent clinical observations also link psychological stress to the onset or aggravation of multiple skin diseases. However, the exact underlying ...


Impact of Cortisol on Reduction in Muscle Strength and Mass: A Mendelian Randomization Study - PubMed
This MR study provides evidence for the association of cortisol with reduced muscle strength and mass, suggesting the impact of cortisol on the development of sarcopenia.


Effects of the Transcendental Meditation program on adaptive mechanisms: changes in hormone levels and responses to stress after 4 months of practice - PubMed
Stress has been implicated in both somatic and mental disorders. The mechanisms by which stress leads to poor health are largely unknown. However, studies in animals suggest that chronic stress causes high basal cortisol and low cortisol response to acute stressors and that such changes may...


Self-perceived and objective measurements of facial puffiness in Chinese women - PubMed
This is the first study to show that self-perceived facial puffiness can be measured objectively and that skin elasticity can change significantly when facial puffiness subsides.

This is how yall look like rotting here on org thinking “oh man why did I get lazy genetics” bruh this is some takes I heard people here saying, so no it’s not your genetics it’s the fact you stress.
Let me explain- Stress doesn’t just affect your physical appearance. It’s a mentality killer too. High stress leads to mental fatigue, where you feel like you have no energy to put into anything let alone improving your looks. You might feel burned out from trying to achieve your goals or overwhelmed by how much work is left to do.
(Or yall are just lazy mfs) jfl.
This can lead to a loss of motivation to look after your appearance (which lack of motivation can also ruin your looksmaxxing journey). When you’re constantly stressed, you don’t feel like hitting the gym, eating well, doing your skincare routine , or even bothering with grooming, I hope no one came to this situation, mentalcels . Dopamine, the motivation chemical, is suppressed, and it makes it harder to get that “reward” from looking good or working on your physique.
Stress also causes anxiety and depression, which in turn impacts your confidence and social interactions. When you’re anxious, you don’t look as calm and self-assured two traits that are key to being aesthetic. Your confidence can drop dramatically when you’re feeling low due to stress, and you might not even notice that it’s having a huge effect on how others perceive you.
Hormonal wreckage (more detailed) -
Stress nukes your hormonal profile across the board and turns you into a low energy, low-test, estrogenic copecel. It starts with cortisol, the stress hormone. Your body’s in permanent fight-or-flight mode, so cortisol stays elevated 24/7. You feel edgy but drained, wired but exhausted. It eats your muscle tissue to fuel your anxiety. Your gains evaporate. You lift but don’t grow. You get fat in all the wrong places, especially around your gut and love handles, while your face starts to puff up and age faster. Skin goes dull, eyes get sunken, and your jawline blurs.
Testosterone takes a nosedive because cortisol blocks the production of key upstream hormones like pregnenolone. This is called pregnenolone steal, basically your body is prioritizing survival over reproduction. You stop producing optimal levels of testosterone, and your DHEA drops with it. You feel like trash. Motivation is gone. No libido. Morning wood disappears. You look in the mirror and don’t even recognize yourself. Low T also screws with facial androgen receptors, so beard growth slows down or stops. Your facial bones don’t get the support they need, and if you’re still in late puberty or early 20s, it can literally stifle your development. No halo effect, no sexual dimorphism, nothing. Just mid tier NPC aesthetics.
Then comes the estrogen dominance. When cortisol’s high, aromatase activity increases too. This means more of the little testosterone you have left gets converted into estrogen. That’s why stressed out guys get puffy faces, soft bodies, even mild gyno. Your voice might even soften slightly, and your mood swings start to hit. You become emotional, reactive, passive. Not alpha-coded at all. SHBG rises too, which binds to your free testosterone and makes it useless. So even if your blood test says your T is “normal,” it’s all bound up and not doing anything.
Your thyroid tanks next. Cortisol blocks T4 to T3 conversion, so your active thyroid hormone is downregulated. This tanks your metabolism, makes you cold all the time, bloated, sluggish. Your body starts hoarding fat like it’s prepping for a famine. You literally start looking like you’re aging in fast-forward. Recovery from workouts gets slower, your sleep becomes trash, and inflammation spikes. That’s how you go from lean and sharp to inflamed and puffy in just a few months of chronic stress.
All of this makes you look lower test, lower status, and lower tier socially. You’re less expressive, less motivated to approach, less eye contact, less energy. Your social presence dies. People start treating you differently, even if you can’t put your finger on it. It’s because your hormonal profile is no longer broadcasting vitality or status. You stop getting IOIs, you start getting filtered, and everything feels like a cope spiral. Stress is a literal body/face nuking unless you do something about it.
link.springer.com
bmcpsychology.biomedcentral.com

Let me explain- Stress doesn’t just affect your physical appearance. It’s a mentality killer too. High stress leads to mental fatigue, where you feel like you have no energy to put into anything let alone improving your looks. You might feel burned out from trying to achieve your goals or overwhelmed by how much work is left to do.
(Or yall are just lazy mfs) jfl.
This can lead to a loss of motivation to look after your appearance (which lack of motivation can also ruin your looksmaxxing journey). When you’re constantly stressed, you don’t feel like hitting the gym, eating well, doing your skincare routine , or even bothering with grooming, I hope no one came to this situation, mentalcels . Dopamine, the motivation chemical, is suppressed, and it makes it harder to get that “reward” from looking good or working on your physique.
Stress also causes anxiety and depression, which in turn impacts your confidence and social interactions. When you’re anxious, you don’t look as calm and self-assured two traits that are key to being aesthetic. Your confidence can drop dramatically when you’re feeling low due to stress, and you might not even notice that it’s having a huge effect on how others perceive you.
Hormonal wreckage (more detailed) -
Stress nukes your hormonal profile across the board and turns you into a low energy, low-test, estrogenic copecel. It starts with cortisol, the stress hormone. Your body’s in permanent fight-or-flight mode, so cortisol stays elevated 24/7. You feel edgy but drained, wired but exhausted. It eats your muscle tissue to fuel your anxiety. Your gains evaporate. You lift but don’t grow. You get fat in all the wrong places, especially around your gut and love handles, while your face starts to puff up and age faster. Skin goes dull, eyes get sunken, and your jawline blurs.

Testosterone takes a nosedive because cortisol blocks the production of key upstream hormones like pregnenolone. This is called pregnenolone steal, basically your body is prioritizing survival over reproduction. You stop producing optimal levels of testosterone, and your DHEA drops with it. You feel like trash. Motivation is gone. No libido. Morning wood disappears. You look in the mirror and don’t even recognize yourself. Low T also screws with facial androgen receptors, so beard growth slows down or stops. Your facial bones don’t get the support they need, and if you’re still in late puberty or early 20s, it can literally stifle your development. No halo effect, no sexual dimorphism, nothing. Just mid tier NPC aesthetics.

Then comes the estrogen dominance. When cortisol’s high, aromatase activity increases too. This means more of the little testosterone you have left gets converted into estrogen. That’s why stressed out guys get puffy faces, soft bodies, even mild gyno. Your voice might even soften slightly, and your mood swings start to hit. You become emotional, reactive, passive. Not alpha-coded at all. SHBG rises too, which binds to your free testosterone and makes it useless. So even if your blood test says your T is “normal,” it’s all bound up and not doing anything.
Your thyroid tanks next. Cortisol blocks T4 to T3 conversion, so your active thyroid hormone is downregulated. This tanks your metabolism, makes you cold all the time, bloated, sluggish. Your body starts hoarding fat like it’s prepping for a famine. You literally start looking like you’re aging in fast-forward. Recovery from workouts gets slower, your sleep becomes trash, and inflammation spikes. That’s how you go from lean and sharp to inflamed and puffy in just a few months of chronic stress.
All of this makes you look lower test, lower status, and lower tier socially. You’re less expressive, less motivated to approach, less eye contact, less energy. Your social presence dies. People start treating you differently, even if you can’t put your finger on it. It’s because your hormonal profile is no longer broadcasting vitality or status. You stop getting IOIs, you start getting filtered, and everything feels like a cope spiral. Stress is a literal body/face nuking unless you do something about it.

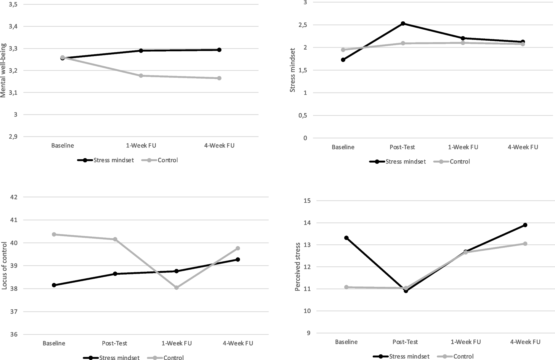
The Effect of Mindset Interventions on Stress and Academic Motivation in College Students - Innovative Higher Education
Stress levels are high among college students in the United States. Growth mindset and stress-is-enhancing mindset interventions offer ways to reduce stress, but minimal research has examined them. This study’s aim was to examine the effect of mindset interventions on mindsets, stress, academic...


Enhancing mental wellbeing by changing mindsets? Results from two randomized controlled trials - BMC Psychology
Improving mental wellbeing is often targeted with behavioral interventions, while mindset interventions might be more appealing as they require less time and effort. In addition to recent experimental studies demonstrating that attributional beliefs can be changed to improve emotional wellbeing...

So now that you know stress is sabotaging your hair, your face, your gains, and even your motivation, the next step is taking it seriously not just complaining about it or coping in self-destructive ways. You can’t eliminate stress completely, but you can change how your body responds to it, and the goal is to flip your system from “survival mode” into anabolic recovery mode where your body actually builds muscle, heals skin, grows hair, and gets sharper and more defined.
Let’s go through what works backed by real biology ( I’ve researched on it for a week now so at least two or bump me), and not “go meditate in nature” nonsense.
Step 1 fix sleep, non negotiable-
Sleep is your weapon against stress, period. Your body does 90% of its hormonal rebalancing, detoxing, and tissue repair while you’re asleep. But stress messes up your sleep quality, have you ever slept for 8 +hours and still woke up wrecked? . That’s because cortisol and melatonin are on opposite cycles. If cortisol is high at night, melatonin can’t kick in. You don’t reach deep sleep, and GH doesn’t get released. This means you age faster, lose muscle, retain more fat, and your face looks worse (looksmaxers WORST nightmare).
What to do? Fixing your circadian rhythm is priority. Wake up and get sunlight in your eyes within the first 20 minutes. No sunglasses. Just 10 minutes of natural light resets your clock. At night, kill blue light 1 hour before bed that means screen filters or glasses and try to read a book for half an hour before sleep.
This isn’t some placebo tier wellness crap. If your nervous system is cooked, your cortisol is spiking randomly, you’re flat despite training, and your sleep is trash you need to hit stress from the inside out. This stack uses pharmacological compounds with real impact on neuroendocrine balance, sleep, and aesthetics. Timing and dosing matter.
Start the morning with low dose propranolol, around 10 to 20 mg if you’re expecting high stress or social interaction. It doesn’t sedate you, but it kills the physical symptoms of stress racing heart, shaky voice, shallow breathing all of which destroy your presence and aura. You can take this as needed, not daily, to avoid adaptation. Pair that with L tyrosine at 500 to 1000 mg, preferably on an empty stomach. It supports dopamine synthesis when you’re under pressure, helping you stay focused, driven, and avoid the “crash” feeling that often follows poor sleep or overtraining.
If your system is running hot during the day, with random surges of cortisol or emotional volatility, clonidine or guanfacine can help. These are alpha 2 adrenergic agonists that literally calm your sympathetic nervous system. Guanfacine extended-release at 1 mg once daily is enough for most, and it smooths you out without zombifying you. If anxiety is hitting harder or you can’t sleep at night, a microdose of clonidine (0.1 mg) before bed drops cortisol and makes sleep hit harder.
Speaking of sleep, that’s where most of your recovery happens , hormonal reset, skin healing, muscle growth, all of it. If you’re struggling to fall asleep or your sleep feels shallow, mirtazapine at a low dose, around 7.5 to 15 mg, is elite. It knocks you into deep sleep, boosts growth hormone, and even improves appetite if you’re in a deficit. If you want something non-habit forming and milder, hydroxyzine at 25 mg can do the job too, great for those sleepless nights you got after rotting here all day (talking from experience)
If stress has left you completely fried, emotionally numb, unmotivated, flat despite perfect routine, that’s a dopamine issue, nothing else. You could consider tianeptine sulfate, dosed at 12.5 mg one to two times daily. It doesn’t dull your brain like SSRIs. It rewires glutamate signaling and enhances neuroplasticity, which actually restores your ability to feel motivation and pleasure. For an even more advanced approach, low dose ketamine or esketamine can reset your glutamate system and reverse stress-related damage in days, not weeks.
And if you’re using this stack over time, keep your basics in check: magnesium glycinate before bed (300–400 mg), vitamin D daily (2000–4000 IU), and plenty of quality salt and electrolytes. Those aren’t optional stress depletes them rapidly and makes everything else hit weaker.
This isn’t about sedating yourself or numbing out like a retard it’s about shifting your body out of something like a “breakdown mode” and back into an anabolic, sharp, calm, and focused state where aesthetics actually improve better sleep, lower puffiness, clearer skin, stronger lifts, deeper eye contact, and a real recovery of baseline masculinity.
Sources-
pmc.ncbi.nlm.nih.gov
link.springer.com
Step2 Suppress cortisol-
Cortisol isn’t the enemy it’s when it stays elevated that it wrecks you. Think of it like this: your body should spike cortisol briefly when needed (e.g., morning, gym), but then it needs to shut it down.
To truly suppress cortisol in a way that actually translates to better recovery, appearance, and performance, you have to hit it from multiple angles, not One. The first place to start is by dialing back sympathetic nervous system activity. Guanfacine extended release, taken once daily at one milligram in the morning, works well for this. It doesn’t sedate you like old school meds, but it calms your system at the root by reducing the brain’s output of norepinephrine. Over time, this lowers baseline cortisol and flattens out the unpredictable surges that wreck mood, digestion, sleep, and skin.
If the stress you’re dealing with is more acute or you find yourself hyper alert at night with racing thoughts, then low dose clonidine is a sharper tool. At point one milligram before bed, it triggers deep parasympathetic rebound. Your blood pressure drops, your mind stops spinning, and you actually give your adrenals a break for the first time in weeks. If cortisol is keeping you awake, clonidine breaks that cycle immediately.
For deeper repair, mirtazapine at low doses becomes a recovery staple. At seven point five to fifteen milligrams before bed, it improves sleep onset, increases growth hormone, and blocks central adrenergic signaling, which suppresses cortisol indirectly through enhanced feedback inhibition. Unlike typical antidepressants, mirtazapine doesn’t flatten emotions or kill libido. It actually boosts appetite and deep sleep, two things that stress destroys.
Hydroxyzine, though technically an antihistamine, helps here too. Taken at twenty-five milligrams before sleep, it knocks down mental overactivity and prevents nighttime cortisol spikes. It’s clean, non-habit forming, and pairs well with either clonidine or mirtazapine if your nervous system is shot from chronic anxiety or overwork.
In extreme cases, where stress is pushing into burnout territory, a short burst of low-dose dexamethasone can completely reset the HPA axis. At a quarter to half a milligram, used cautiously and only in brief intervals, it creates a negative feedback loop on the pituitary to shut down overproduction of ACTH. That stops the cortisol cascade at the hormonal root. This isn’t a long-term solution, but it works when nothing else is bringing cortisol down fast enough.
When stress has fully wrecked dopamine tone making you flat, unmotivated, emotionally numb, and unresponsive to normal stimulation then rebuilding dopaminergic signaling becomes essential. Tianeptine sulfate is ideal here. At twelve point five milligrams once or twice a day, it resets glutamate and normalizes limbic system function without blunting your mind like SSRIs. It gives you your reward system back and helps indirectly bring cortisol under control by removing the chronic low level threat signaling from the brain.
This kind of pharmacological stack goes far beyond just managing stress. It changes the way your brain and body interpret pressure. You’re not just numbing the symptoms you’re flipping the switch out of chronic catabolism and into recovery mode. Cortisol stops eating your face, your muscle, your drive, your mood. Sleep becomes restorative instead of chaotic. Skin stops breaking out. Eyes become less puffy. You start to look and feel like you’re building again, not breaking down.
Sources-
www.nhc.com
pubmed.ncbi.nlm.nih.gov
Step3, Stop feeding the cortisol loop-
When you’re under stress, your blood sugar regulation becomes dysfunctional. You get hypoglycemic dips even after small stressors. Your body interprets that as a threat, spikes cortisol to raise glucose, and now you’re locked in a physiological loop low energy, cravings, binge, insulin spike, crash, repeat. This isn’t just about energy levels, it directly suppresses testosterone, worsens insulin sensitivity, and drives visceral fat storage. If you start your day with high glycemic carbs or caffeine on an empty stomach, you’re telling your body to panic from the jump. Instead, anchor your mornings with protein and fat to blunt the insulin spike and stabilize blood sugar. Eggs, meat, or even a small amount of low carb dairy work better than oatmeal or fruit when your nervous system is fragile.
Caffeine is a drug, not a casual beverage, and if you’re using it while stressed, it becomes a cortisol amplifier. If you still need it, take it after food and consider switching to modafinil at 50 to 100 mg for clean, non jittery stimulation without the same cortisol load. For something softer, you can rotate in armodafinil at 75 mg or even low dose bromantane for longer-term dopamine enhancement with less strain on your adrenals. But do not fast aggressively during stress periods fasted states paired with high cortisol lead straight to catabolism. If you’re feeling wired and weak in a fasted state, break it early with lean protein and low glycemic carbs to protect muscle and lower internal threat signaling.
sources -
pmc.ncbi.nlm.nih.gov
pubmed.ncbi.nlm.nih.gov
Step 4, Heal the Nervous System
Chronic stress is not just a psychological state. It literally rewires your autonomic nervous system into a constant low level fight or fight pattern. That’s why you feel tense in silence, emotionally dead when you should feel excited, or get brain fog even when you’re doing nothing. The key is shifting dominance back to the parasympathetic side. You can initiate this with pharmacology guanfacine or clonidine both suppress sympathetic outflow through alpha-2 agonism. Guanfacine extended release at 1 mg daily creates a baseline calm and cognitive control. Clonidine at 0.1 mg before sleep drops you deep into parasympathetic mode and stabilizes blood pressure and heart rate variability overnight.
These drugs pair well with nervous system rituals cold exposure to the vagus nerve (neck and upper back), controlled breathing exercises like a 4:8 inhale to exhale ratio, and slow, intentional walks outdoors to reinforce circadian rhythm entrainment. You’re not doing these things for vibes. You’re physically retraining your nervous system to exit high alert mode and get back to a state where recovery, testosterone, and dopamine can actually rise again.
Sources-
pmc.ncbi.nlm.nih.gov
pmc.ncbi.nlm.nih.gov
pmc.ncbi.nlm.nih.gov
nationaleczema.org
Step 5, Train Smart Don’t Use the Gym to Punish Yourself (for low iq gymcels)
The gym isn’t therapy if you’re already inflamed and sleep deprived. Stress lowers your capacity for recovery, so training needs to be adapted, not just intensified. If your central nervous system feels fried, the last thing you need is full RPE sets taken to failure. That kind of volume can crash your endocrine function and push you deeper into stress induced muscle loss. You’re better off pivoting toward moderate intensity, higher volume work more sets, fewer grinders. This keeps blood flow up, maintains muscle glycogen, and stimulates recovery hormones like IGF 1 without digging a recovery hole.
Low intensity cardio also becomes a tool here, not for fat loss, but for stress management. One or two long walks per week at a steady pace not sprints, not intervals helps stimulate parasympathetic tone, improves insulin sensitivity, and reinforces cardiovascular resilience. If you’re using any performance enhancers, this approach will also protect your heart and nervous system long term.
Sources-
pmc.ncbi.nlm.nih.gov
pmc.ncbi.nlm.nih.gov
Step 6, Improve Dopamine and Testosterone Without Gimmicks-
When stress is chronic, dopamine crashes. You lose the drive to train, the will to improve, and the self respect that holds your baseline together. Testosterone follows the same curve chronic cortisol leads to elevated prolactin, lower LH, and a general state of male burnout. That’s how you go from sharp and driven to soft, emotionally numb, indecisive, and reactive.
You don’t fix this with herbs or soft stacks. To rebuild dopamine properly, use drugs that promote dopaminergic tone without depleting you. Tianeptine sulfate, taken at 12.5 mg once or twice per day, is ideal. It rebuilds limbic function through glutamate modulation and improves motivation without flattening your affect. Bromantane, at 25 to 50 mg in the morning, is another excellent choice. It increases dopamine transport and supports long-term mental energy without overstimulation. In more advanced cases, low-dose amisulpride or pramipexole can be used to directly stimulate D2 receptors and lower prolactin but this requires careful titration and understanding of risk.
On the testosterone side, if your labs are suppressed, address the source elevated cortisol and prolactin. Cabergoline at 0.25 mg twice a week lowers prolactin and indirectly increases testosterone and dopamine signaling. For true hypogonadism, low dose TRT or enclomiphene might be necessary, depending on your levels, but the first step is always removing the cortisol induced suppression. Get your sleep locked, your stress load under control, and your diet consistent before you start chasing test boosters.
Even your brain chemistry wants you to win but only once you stop signaling that you’re under threat. Once you do, drive comes back, testosterone climbs, dopamine returns, and your looks start improving automatically jawline sharper, eyes brighter, skin less inflamed, hair denser, and your ability to commit to hard routines becomes effortless again.
Sources-
lms.mrc.ac.uk
pubmed.ncbi.nlm.nih.gov
Let’s go through what works backed by real biology ( I’ve researched on it for a week now so at least two or bump me), and not “go meditate in nature” nonsense.
Step 1 fix sleep, non negotiable-
Sleep is your weapon against stress, period. Your body does 90% of its hormonal rebalancing, detoxing, and tissue repair while you’re asleep. But stress messes up your sleep quality, have you ever slept for 8 +hours and still woke up wrecked? . That’s because cortisol and melatonin are on opposite cycles. If cortisol is high at night, melatonin can’t kick in. You don’t reach deep sleep, and GH doesn’t get released. This means you age faster, lose muscle, retain more fat, and your face looks worse (looksmaxers WORST nightmare).
What to do? Fixing your circadian rhythm is priority. Wake up and get sunlight in your eyes within the first 20 minutes. No sunglasses. Just 10 minutes of natural light resets your clock. At night, kill blue light 1 hour before bed that means screen filters or glasses and try to read a book for half an hour before sleep.
This isn’t some placebo tier wellness crap. If your nervous system is cooked, your cortisol is spiking randomly, you’re flat despite training, and your sleep is trash you need to hit stress from the inside out. This stack uses pharmacological compounds with real impact on neuroendocrine balance, sleep, and aesthetics. Timing and dosing matter.
Start the morning with low dose propranolol, around 10 to 20 mg if you’re expecting high stress or social interaction. It doesn’t sedate you, but it kills the physical symptoms of stress racing heart, shaky voice, shallow breathing all of which destroy your presence and aura. You can take this as needed, not daily, to avoid adaptation. Pair that with L tyrosine at 500 to 1000 mg, preferably on an empty stomach. It supports dopamine synthesis when you’re under pressure, helping you stay focused, driven, and avoid the “crash” feeling that often follows poor sleep or overtraining.
If your system is running hot during the day, with random surges of cortisol or emotional volatility, clonidine or guanfacine can help. These are alpha 2 adrenergic agonists that literally calm your sympathetic nervous system. Guanfacine extended-release at 1 mg once daily is enough for most, and it smooths you out without zombifying you. If anxiety is hitting harder or you can’t sleep at night, a microdose of clonidine (0.1 mg) before bed drops cortisol and makes sleep hit harder.
Speaking of sleep, that’s where most of your recovery happens , hormonal reset, skin healing, muscle growth, all of it. If you’re struggling to fall asleep or your sleep feels shallow, mirtazapine at a low dose, around 7.5 to 15 mg, is elite. It knocks you into deep sleep, boosts growth hormone, and even improves appetite if you’re in a deficit. If you want something non-habit forming and milder, hydroxyzine at 25 mg can do the job too, great for those sleepless nights you got after rotting here all day (talking from experience)
If stress has left you completely fried, emotionally numb, unmotivated, flat despite perfect routine, that’s a dopamine issue, nothing else. You could consider tianeptine sulfate, dosed at 12.5 mg one to two times daily. It doesn’t dull your brain like SSRIs. It rewires glutamate signaling and enhances neuroplasticity, which actually restores your ability to feel motivation and pleasure. For an even more advanced approach, low dose ketamine or esketamine can reset your glutamate system and reverse stress-related damage in days, not weeks.
And if you’re using this stack over time, keep your basics in check: magnesium glycinate before bed (300–400 mg), vitamin D daily (2000–4000 IU), and plenty of quality salt and electrolytes. Those aren’t optional stress depletes them rapidly and makes everything else hit weaker.
This isn’t about sedating yourself or numbing out like a retard it’s about shifting your body out of something like a “breakdown mode” and back into an anabolic, sharp, calm, and focused state where aesthetics actually improve better sleep, lower puffiness, clearer skin, stronger lifts, deeper eye contact, and a real recovery of baseline masculinity.
Sources-
Sleep and Circadian Regulation of Cortisol: A Short Review - PMC
The central circadian pacemaker (CCP) located in the suprachiasmatic nucleus (SCN) of the hypothalamus drives the 24-hour pattern in cortisol, which functions as the main central synchronizing signal that coordinates peripheral clocks in organs that ...


Improving Sleep to Improve Stress Resilience - Current Sleep Medicine Reports
Purpose of Review The neuroendocrine stress response is a natural process of our body which, however, might become toxic if not properly turned on and off. Resilience is the ability to adapt to adverse situations and, particularly, to cope with uncontrolled stress. Resilience and stress are two...

Step2 Suppress cortisol-
Cortisol isn’t the enemy it’s when it stays elevated that it wrecks you. Think of it like this: your body should spike cortisol briefly when needed (e.g., morning, gym), but then it needs to shut it down.
To truly suppress cortisol in a way that actually translates to better recovery, appearance, and performance, you have to hit it from multiple angles, not One. The first place to start is by dialing back sympathetic nervous system activity. Guanfacine extended release, taken once daily at one milligram in the morning, works well for this. It doesn’t sedate you like old school meds, but it calms your system at the root by reducing the brain’s output of norepinephrine. Over time, this lowers baseline cortisol and flattens out the unpredictable surges that wreck mood, digestion, sleep, and skin.
If the stress you’re dealing with is more acute or you find yourself hyper alert at night with racing thoughts, then low dose clonidine is a sharper tool. At point one milligram before bed, it triggers deep parasympathetic rebound. Your blood pressure drops, your mind stops spinning, and you actually give your adrenals a break for the first time in weeks. If cortisol is keeping you awake, clonidine breaks that cycle immediately.
For deeper repair, mirtazapine at low doses becomes a recovery staple. At seven point five to fifteen milligrams before bed, it improves sleep onset, increases growth hormone, and blocks central adrenergic signaling, which suppresses cortisol indirectly through enhanced feedback inhibition. Unlike typical antidepressants, mirtazapine doesn’t flatten emotions or kill libido. It actually boosts appetite and deep sleep, two things that stress destroys.
Hydroxyzine, though technically an antihistamine, helps here too. Taken at twenty-five milligrams before sleep, it knocks down mental overactivity and prevents nighttime cortisol spikes. It’s clean, non-habit forming, and pairs well with either clonidine or mirtazapine if your nervous system is shot from chronic anxiety or overwork.
In extreme cases, where stress is pushing into burnout territory, a short burst of low-dose dexamethasone can completely reset the HPA axis. At a quarter to half a milligram, used cautiously and only in brief intervals, it creates a negative feedback loop on the pituitary to shut down overproduction of ACTH. That stops the cortisol cascade at the hormonal root. This isn’t a long-term solution, but it works when nothing else is bringing cortisol down fast enough.
When stress has fully wrecked dopamine tone making you flat, unmotivated, emotionally numb, and unresponsive to normal stimulation then rebuilding dopaminergic signaling becomes essential. Tianeptine sulfate is ideal here. At twelve point five milligrams once or twice a day, it resets glutamate and normalizes limbic system function without blunting your mind like SSRIs. It gives you your reward system back and helps indirectly bring cortisol under control by removing the chronic low level threat signaling from the brain.
This kind of pharmacological stack goes far beyond just managing stress. It changes the way your brain and body interpret pressure. You’re not just numbing the symptoms you’re flipping the switch out of chronic catabolism and into recovery mode. Cortisol stops eating your face, your muscle, your drive, your mood. Sleep becomes restorative instead of chaotic. Skin stops breaking out. Eyes become less puffy. You start to look and feel like you’re building again, not breaking down.
Sources-

Adrenal Stress Support by NOW Foods is a dietary supplement intended to support adrenal health and normal cortisol levels with Relora, Vit. C, Chromium & more.
Super Cortisol Support by NOW Foods is a dietary supplement intended to support adrenal health and normal cortisol levels with Relora, Vit. C, Chromium & more.


The effects of physical activity on cortisol and sleep: A systematic review and meta-analysis - PubMed
Cortisol regulation and sleep quality are intertwined, and physical activity programmes could improve both in several ways. Further, physical activity may benefit adults with long term conditions or current poor (mental) health states the most, although more research is needed to support this...

Step3, Stop feeding the cortisol loop-
When you’re under stress, your blood sugar regulation becomes dysfunctional. You get hypoglycemic dips even after small stressors. Your body interprets that as a threat, spikes cortisol to raise glucose, and now you’re locked in a physiological loop low energy, cravings, binge, insulin spike, crash, repeat. This isn’t just about energy levels, it directly suppresses testosterone, worsens insulin sensitivity, and drives visceral fat storage. If you start your day with high glycemic carbs or caffeine on an empty stomach, you’re telling your body to panic from the jump. Instead, anchor your mornings with protein and fat to blunt the insulin spike and stabilize blood sugar. Eggs, meat, or even a small amount of low carb dairy work better than oatmeal or fruit when your nervous system is fragile.
Caffeine is a drug, not a casual beverage, and if you’re using it while stressed, it becomes a cortisol amplifier. If you still need it, take it after food and consider switching to modafinil at 50 to 100 mg for clean, non jittery stimulation without the same cortisol load. For something softer, you can rotate in armodafinil at 75 mg or even low dose bromantane for longer-term dopamine enhancement with less strain on your adrenals. But do not fast aggressively during stress periods fasted states paired with high cortisol lead straight to catabolism. If you’re feeling wired and weak in a fasted state, break it early with lean protein and low glycemic carbs to protect muscle and lower internal threat signaling.
sources -
Experimental hypoglycemia is a human model of stress-induced hyperalgesia - PMC


Metabolic and hormonal effects of caffeine: randomized, double-blind, placebo-controlled crossover trial - PubMed
In short-term studies, caffeine has been shown to increase insulin levels, reduce insulin sensitivity, and increase cortisol levels. However, epidemiological studies have indicated that long-term consumption of beverages containing caffeine such as coffee and green tea is associated with a...

Step 4, Heal the Nervous System
Chronic stress is not just a psychological state. It literally rewires your autonomic nervous system into a constant low level fight or fight pattern. That’s why you feel tense in silence, emotionally dead when you should feel excited, or get brain fog even when you’re doing nothing. The key is shifting dominance back to the parasympathetic side. You can initiate this with pharmacology guanfacine or clonidine both suppress sympathetic outflow through alpha-2 agonism. Guanfacine extended release at 1 mg daily creates a baseline calm and cognitive control. Clonidine at 0.1 mg before sleep drops you deep into parasympathetic mode and stabilizes blood pressure and heart rate variability overnight.
These drugs pair well with nervous system rituals cold exposure to the vagus nerve (neck and upper back), controlled breathing exercises like a 4:8 inhale to exhale ratio, and slow, intentional walks outdoors to reinforce circadian rhythm entrainment. You’re not doing these things for vibes. You’re physically retraining your nervous system to exit high alert mode and get back to a state where recovery, testosterone, and dopamine can actually rise again.
Sources-
Alpha-2 receptor agonists for the treatment of posttraumatic stress disorder - PMC
Clonidine and guanfacine are alpha-2 receptor agonists that decrease sympathetic outflow from the central nervous system. Posttraumatic stress disorder (PTSD) is an anxiety disorder that is theorized to be related to a hyperactive sympathetic ...

Effects of Cold Stimulation on Cardiac-Vagal Activation in Healthy Participants: Randomized Controlled Trial - PMC
The experience of psychological stress has not yet been adequately tackled with digital technology by catering to healthy individuals who wish to reduce their acute stress levels. For the design of digitally mediated solutions, physiological ...

Breathing Practices for Stress and Anxiety Reduction: Conceptual Framework of Implementation Guidelines Based on a Systematic Review of the Published Literature - PMC
Anxiety and stress plague populations worldwide. Voluntary regulated breathing practices offer a tool to address this epidemic. We examined peer-reviewed published literature to understand effective approaches to and implementation of these ...


How the 4-7-8 Breathing Technique Can Help Reduce Stress
People with eczema can practice breathwork to relieve stress. The 4-7-8 breathing exercise can help calm your mind and anxiety levels.

Step 5, Train Smart Don’t Use the Gym to Punish Yourself (for low iq gymcels)
The gym isn’t therapy if you’re already inflamed and sleep deprived. Stress lowers your capacity for recovery, so training needs to be adapted, not just intensified. If your central nervous system feels fried, the last thing you need is full RPE sets taken to failure. That kind of volume can crash your endocrine function and push you deeper into stress induced muscle loss. You’re better off pivoting toward moderate intensity, higher volume work more sets, fewer grinders. This keeps blood flow up, maintains muscle glycogen, and stimulates recovery hormones like IGF 1 without digging a recovery hole.
Low intensity cardio also becomes a tool here, not for fat loss, but for stress management. One or two long walks per week at a steady pace not sprints, not intervals helps stimulate parasympathetic tone, improves insulin sensitivity, and reinforces cardiovascular resilience. If you’re using any performance enhancers, this approach will also protect your heart and nervous system long term.
Sources-
Effects of Exercise Training on the Autonomic Nervous System with a Focus on Anti-Inflammatory and Antioxidants Effects - PMC
Studies show that the autonomic nervous system (ANS) has an important impact on health in general. In response to environmental demands, homeostatic processes are often compromised, therefore determining an increase in the sympathetic nervous system ...

The Impact on Autonomic Nervous System Activity during and Following Exercise in Adults: A Meta-Regression Study and Trial Sequential Analysis - PMC
Background and Objectives: Exercise enhances cardiovascular health through various mechanisms, including the modulation of autonomic nervous system activity. This study aimed to systematically examine the impact of exercise on heart rate variability ...

Step 6, Improve Dopamine and Testosterone Without Gimmicks-
When stress is chronic, dopamine crashes. You lose the drive to train, the will to improve, and the self respect that holds your baseline together. Testosterone follows the same curve chronic cortisol leads to elevated prolactin, lower LH, and a general state of male burnout. That’s how you go from sharp and driven to soft, emotionally numb, indecisive, and reactive.
You don’t fix this with herbs or soft stacks. To rebuild dopamine properly, use drugs that promote dopaminergic tone without depleting you. Tianeptine sulfate, taken at 12.5 mg once or twice per day, is ideal. It rebuilds limbic function through glutamate modulation and improves motivation without flattening your affect. Bromantane, at 25 to 50 mg in the morning, is another excellent choice. It increases dopamine transport and supports long-term mental energy without overstimulation. In more advanced cases, low-dose amisulpride or pramipexole can be used to directly stimulate D2 receptors and lower prolactin but this requires careful titration and understanding of risk.
On the testosterone side, if your labs are suppressed, address the source elevated cortisol and prolactin. Cabergoline at 0.25 mg twice a week lowers prolactin and indirectly increases testosterone and dopamine signaling. For true hypogonadism, low dose TRT or enclomiphene might be necessary, depending on your levels, but the first step is always removing the cortisol induced suppression. Get your sleep locked, your stress load under control, and your diet consistent before you start chasing test boosters.
Even your brain chemistry wants you to win but only once you stop signaling that you’re under threat. Once you do, drive comes back, testosterone climbs, dopamine returns, and your looks start improving automatically jawline sharper, eyes brighter, skin less inflamed, hair denser, and your ability to commit to hard routines becomes effortless again.
Sources-

Chronic stress dampens dopamine production
People exposed to a lifetime of psychosocial adversity may have an impaired ability to produce the dopamine levels needed for coping with acutely


Tianeptine increases the extracellular concentrations of dopamine in the nucleus accumbens by a serotonin-independent mechanism - PubMed
The effect of various doses of tianeptine on the extracellular concentrations of dopamine was studied in the striatum and nucleus accumbens of the rat. At 5 (but not 2.5) mg/kg intraperitoneally, tianeptine increased the extracellular dopamine only in the nucleus accumbens. At 10 mg/kg, the...

The gut brain axis is one of the most overlooked things when it comes to how stress affects your aesthetics. When you’re stressed, your cortisol levels spike, and this starts a chain reaction that messes with your gut, your brain, and ultimately your face and body. Stress literally makes your gut weak, which can lead to leaky gut. This is when toxins, like LPS (lipopolysaccharides), leak from your gut into your bloodstream. Once that happens, those toxins travel straight to your brain and cause neuroinflammation. This doesn’t just mess with your head it also messes with your looks.
This gut brain chaos shows up on your face and body in a number of ways. First, stress and a messed up gut lead to bloating and water retention. That puffiness makes you look less sharp, and your jawline softens. You might also notice your body gets puffier overall. If that wasn’t bad enough, stress and gut problems screw with your skin too. Your skin will get more inflamed, which leads to breakouts and acne. If your gut’s inflamed, your skin’s inflamed it’s that simple. And don’t even get started on dark circles. The gut messes with your liver, which means it can’t clear toxins properly. This causes fluid retention around your eyes, which results in that tired, haggard look, no matter how much sleep you get. You might also notice that your skin starts to look dull. Without a healthy gut, your serotonin levels drop, and that means your skin can’t stay fresh and glowy. It all ties back to stress and gut health.
The worse part is that when your gut’s out of whack, you don’t absorb nutrients like you’re supposed to. Things like zinc, magnesium, vitamin D, and B vitamins all play a huge role in how you look (eat your food dumbass) . These nutrients are critical for collagen production, clear skin, and muscle maintenance. If you’re not absorbing them properly, you’re going to see a noticeable decline in your looks and performance. It’s like trying to build a house without the right materials it’s just not going to work.
The good news is you can fix this. First things first, you need to calm down your nervous system. If you’re stuck in constant fight or flight mode, your body’s never going to heal. That’s the root of the whole problem. You need to activate your parasympathetic nervous system the “rest and digest” mode. You can do this through simple practices like deep breathing or even gargling water. That’s a direct way to trigger your vagus nerve, which calms everything down and stops the inflammation. Once you got your stress under YOUR control you can start taking stuff to keep it that way.
If you’re serious about fixing that gut-brain axis and cleaning up the mess stress has made, you need to start using some real tools. Food’s cool, but we’re going straight for the pharmaceuticals, peptides, and no BS supplements that can seriously transform things. Let’s break it down.
L Glutamine is your first line of defense, and not in the “food” form, we’re talking high dose L glutamine powder. This is a powerful amino acid that works like a repairman for your gut lining. If you want the hardcore version, you’re looking at 5-10 grams of L glutamine a day. You’re basically rebuilding your gut from the ground up. It’s going to heal that leaky gut, stop the toxins from leaking into your bloodstream, and start preventing that gut-brain inflammation.
Then, you’ve got Zinc Carnosine the underdog. This is zinc, but supercharged for gut repair. It stabilizes your gut lining and reduces oxidative stress. You should be taking around 75-100 mg per day. It’s cheap and effective, and it’ll work wonders when combined with L glutamine.
Butyrate is a game changer. It’s one of the best things you can do for your gut and your brain, and I’m not talking about eating cold potatoes. You’re going for butyrate supplements. You can go with sodium butyrate or butyrate esters. These are short-chain fatty acids that will kick-start gut healing and reduce inflammation. Take 500 mg a day for gut health, but if you’re really looking to go hard, 1-2 grams a day can do the job, but that’s advanced territory.
Now, let’s talk about Colostrum. This is the real deal for gut repair and immune system support. Bovine colostrum in supplement form contains immunoglobulins, growth factors, and cytokines that repair your gut lining, modulate immune response, and fight off inflammation. Look for colostrum in powder or capsule form, and take 1-2 grams a day. It’ll tighten up your gut and bring down systemic inflammation, fast.
Probiotics are essential, but not all probiotics are equal. You want high potency, multi-strain probiotics. Look for brands that have at least 30 billion CFU per dose and a mix of strains like Lactobacillus rhamnosus GG, Bifidobacterium longum, and Saccharomyces boulardii. These probiotics will start to correct the dysbiosis in your gut, help balance your gut flora, and fight off any pathogenic bacteria that are contributing to the stress to gut to brain cycle. You should take them with meals to ensure they survive the stomach acid.
But don’t just stop there. You’ve got to be smart about the gut inflammation too. Curcumin, the active compound in turmeric, is incredibly powerful when it comes to controlling inflammation. But regular curcumin doesn’t cut it. You need the liposomal version or curcumin with bioperine (black pepper). This ensures better absorption. A solid 500-1,000 mg of liposomal curcumin every day will work wonders for your gut and your skin by reducing systemic inflammation.
Magnesium – if you’re not already on magnesium, you need to be. Stress drains magnesium levels fast, and it’s critical for calming down your nervous system and reducing overall inflammation. Magnesium threonate is ideal for brain function and calming anxiety, while magnesium glycinate is perfect for general relaxation and better sleep. Aim for 300-600 mg daily.
If you want to level up, look into BPC 157, the body protection peptide. This peptide is a repair powerhouse. It helps regenerate tissue, repair leaky gut, and reduces inflammation. BPC 157 can accelerate healing, not just in the gut but in your joints, muscles, and skin. You can get BPC 157 as a peptide, and it can be administered subcutaneously. Dosage wise, it’s usually around 200-500 mcg per day, injected. But remember, peptides are for the hardcore be sure to research dosing and proper use before starting.
Another peptide to consider is TB 500. It’s often used for joint healing, but its effects on gut repair and reducing systemic inflammation make it a hidden gem. It promotes tissue repair and reduces inflammation at a cellular level. Similar to BPC 157, you’d dose around 2-5 mg per week. This will boost your recovery and repair process, especially if your gut health is a major issue from all that stress.
For stress management on a hormonal level, you’ve got Adrenal Cortex Extract. This is a supplement derived from adrenal glands of animals and is designed to support your adrenal health, especially if your stress is pushing your cortisol levels through the roof. It’s loaded with natural hormones that help stabilize your body’s cortisol production. Take around 500 mg per day to help balance cortisol and prevent adrenal burnout.
5 HTP is another trick for dealing with stress and gut brain issues. If you’ve got serotonin issues because your gut’s not producing it properly, 5 HTP supplements are your ticket. It boosts serotonin production in the brain and can help with anxiety, mood, and even appetite control. Take 50-100 mg per day before bed. This will help with calming down your brain and improving sleep quality.
Lastly, for a complete reset, look into N Acetyl Glucosamine (NAG). It’s another supplement that works wonders for gut healing by repairing the mucosal lining and decreasing inflammation. NAG is often used in cases of inflammatory bowel diseases (IBD), but it can help with general gut repair too. Around 500-1,000 mg per day should do the trick.
When it comes to stress, gut health, and looksmaxxing, you’ve got to hit the problem from multiple angles. The combination of peptides, high dose supplements, and targeted anti inflammatory agents is your best bet to reset your system. Start hitting your gut and brain hard, and you’ll start seeing changes in your body, skin, mood, and overall aesthetics. No excuses, just results.
Fixing your gut is the key to better aesthetics. The healthier your gut, the better your skin, mood, energy, and overall vibe will be. If you’re dealing with stress, acne, bloating, and low energy, it’s all connected to your gut. Start there, fix the foundation, and everything else will fall into place.
Sources-
pmc.ncbi.nlm.nih.gov
www.glamour.com
pmc.ncbi.nlm.nih.gov

This gut brain chaos shows up on your face and body in a number of ways. First, stress and a messed up gut lead to bloating and water retention. That puffiness makes you look less sharp, and your jawline softens. You might also notice your body gets puffier overall. If that wasn’t bad enough, stress and gut problems screw with your skin too. Your skin will get more inflamed, which leads to breakouts and acne. If your gut’s inflamed, your skin’s inflamed it’s that simple. And don’t even get started on dark circles. The gut messes with your liver, which means it can’t clear toxins properly. This causes fluid retention around your eyes, which results in that tired, haggard look, no matter how much sleep you get. You might also notice that your skin starts to look dull. Without a healthy gut, your serotonin levels drop, and that means your skin can’t stay fresh and glowy. It all ties back to stress and gut health.
The worse part is that when your gut’s out of whack, you don’t absorb nutrients like you’re supposed to. Things like zinc, magnesium, vitamin D, and B vitamins all play a huge role in how you look (eat your food dumbass) . These nutrients are critical for collagen production, clear skin, and muscle maintenance. If you’re not absorbing them properly, you’re going to see a noticeable decline in your looks and performance. It’s like trying to build a house without the right materials it’s just not going to work.
The good news is you can fix this. First things first, you need to calm down your nervous system. If you’re stuck in constant fight or flight mode, your body’s never going to heal. That’s the root of the whole problem. You need to activate your parasympathetic nervous system the “rest and digest” mode. You can do this through simple practices like deep breathing or even gargling water. That’s a direct way to trigger your vagus nerve, which calms everything down and stops the inflammation. Once you got your stress under YOUR control you can start taking stuff to keep it that way.
If you’re serious about fixing that gut-brain axis and cleaning up the mess stress has made, you need to start using some real tools. Food’s cool, but we’re going straight for the pharmaceuticals, peptides, and no BS supplements that can seriously transform things. Let’s break it down.
L Glutamine is your first line of defense, and not in the “food” form, we’re talking high dose L glutamine powder. This is a powerful amino acid that works like a repairman for your gut lining. If you want the hardcore version, you’re looking at 5-10 grams of L glutamine a day. You’re basically rebuilding your gut from the ground up. It’s going to heal that leaky gut, stop the toxins from leaking into your bloodstream, and start preventing that gut-brain inflammation.

Then, you’ve got Zinc Carnosine the underdog. This is zinc, but supercharged for gut repair. It stabilizes your gut lining and reduces oxidative stress. You should be taking around 75-100 mg per day. It’s cheap and effective, and it’ll work wonders when combined with L glutamine.

Butyrate is a game changer. It’s one of the best things you can do for your gut and your brain, and I’m not talking about eating cold potatoes. You’re going for butyrate supplements. You can go with sodium butyrate or butyrate esters. These are short-chain fatty acids that will kick-start gut healing and reduce inflammation. Take 500 mg a day for gut health, but if you’re really looking to go hard, 1-2 grams a day can do the job, but that’s advanced territory.

Now, let’s talk about Colostrum. This is the real deal for gut repair and immune system support. Bovine colostrum in supplement form contains immunoglobulins, growth factors, and cytokines that repair your gut lining, modulate immune response, and fight off inflammation. Look for colostrum in powder or capsule form, and take 1-2 grams a day. It’ll tighten up your gut and bring down systemic inflammation, fast.

Probiotics are essential, but not all probiotics are equal. You want high potency, multi-strain probiotics. Look for brands that have at least 30 billion CFU per dose and a mix of strains like Lactobacillus rhamnosus GG, Bifidobacterium longum, and Saccharomyces boulardii. These probiotics will start to correct the dysbiosis in your gut, help balance your gut flora, and fight off any pathogenic bacteria that are contributing to the stress to gut to brain cycle. You should take them with meals to ensure they survive the stomach acid.

But don’t just stop there. You’ve got to be smart about the gut inflammation too. Curcumin, the active compound in turmeric, is incredibly powerful when it comes to controlling inflammation. But regular curcumin doesn’t cut it. You need the liposomal version or curcumin with bioperine (black pepper). This ensures better absorption. A solid 500-1,000 mg of liposomal curcumin every day will work wonders for your gut and your skin by reducing systemic inflammation.

Magnesium – if you’re not already on magnesium, you need to be. Stress drains magnesium levels fast, and it’s critical for calming down your nervous system and reducing overall inflammation. Magnesium threonate is ideal for brain function and calming anxiety, while magnesium glycinate is perfect for general relaxation and better sleep. Aim for 300-600 mg daily.

If you want to level up, look into BPC 157, the body protection peptide. This peptide is a repair powerhouse. It helps regenerate tissue, repair leaky gut, and reduces inflammation. BPC 157 can accelerate healing, not just in the gut but in your joints, muscles, and skin. You can get BPC 157 as a peptide, and it can be administered subcutaneously. Dosage wise, it’s usually around 200-500 mcg per day, injected. But remember, peptides are for the hardcore be sure to research dosing and proper use before starting.

Another peptide to consider is TB 500. It’s often used for joint healing, but its effects on gut repair and reducing systemic inflammation make it a hidden gem. It promotes tissue repair and reduces inflammation at a cellular level. Similar to BPC 157, you’d dose around 2-5 mg per week. This will boost your recovery and repair process, especially if your gut health is a major issue from all that stress.

For stress management on a hormonal level, you’ve got Adrenal Cortex Extract. This is a supplement derived from adrenal glands of animals and is designed to support your adrenal health, especially if your stress is pushing your cortisol levels through the roof. It’s loaded with natural hormones that help stabilize your body’s cortisol production. Take around 500 mg per day to help balance cortisol and prevent adrenal burnout.

5 HTP is another trick for dealing with stress and gut brain issues. If you’ve got serotonin issues because your gut’s not producing it properly, 5 HTP supplements are your ticket. It boosts serotonin production in the brain and can help with anxiety, mood, and even appetite control. Take 50-100 mg per day before bed. This will help with calming down your brain and improving sleep quality.

Lastly, for a complete reset, look into N Acetyl Glucosamine (NAG). It’s another supplement that works wonders for gut healing by repairing the mucosal lining and decreasing inflammation. NAG is often used in cases of inflammatory bowel diseases (IBD), but it can help with general gut repair too. Around 500-1,000 mg per day should do the trick.

When it comes to stress, gut health, and looksmaxxing, you’ve got to hit the problem from multiple angles. The combination of peptides, high dose supplements, and targeted anti inflammatory agents is your best bet to reset your system. Start hitting your gut and brain hard, and you’ll start seeing changes in your body, skin, mood, and overall aesthetics. No excuses, just results.
Fixing your gut is the key to better aesthetics. The healthier your gut, the better your skin, mood, energy, and overall vibe will be. If you’re dealing with stress, acne, bloating, and low energy, it’s all connected to your gut. Start there, fix the foundation, and everything else will fall into place.
Sources-
Acne vulgaris, probiotics and the gut-brain-skin axis - back to the future? - PMC
Over 70 years have passed since dermatologists John H. Stokes and Donald M. Pillsbury first proposed a gastrointestinal mechanism for the overlap between depression, anxiety and skin conditions such as acne. Stokes and Pillsbury hypothesized that ...

Try This 20-Second Trick to Instantly Lower Your Stress Levels
Have you heard of the “voo” method?
Role of Glutamine in Protection of Intestinal Epithelial Tight Junctions - PMC

Think of them asAdvanced biohacks are all about going next level with your aesthetics and performance, pushing your body beyond its natural limits using both scientific methods and cutting edge techniques. They’re not for the faint of heart these are the tools that real high-level maxxers use to really tweak their body and mind. Here’s how to hack your way into better aesthetics, more energy, and a sharper mind:
1. HRV Tracking (Heart Rate Variability):
If you’re serious about mastering stress, HRV is your number one tool. HRV measures how well your autonomic nervous system is working. A high HRV = high resilience to stress. You can track it with wearables like WHOOP, Oura Ring, or Elite HRV. Low HRV means you’re fried time to chill, sleep, and recover. If you can’t recover, you won’t look good, and you won’t perform.
2. Red Light Therapy:
This one’s a secret weapon for reducing inflammation and promoting skin regeneration. Red light therapy stimulates mitochondria (the powerhouses of your cells), improving cellular function. It’s a serious anti-aging hack that enhances collagen production, reduces wrinkles, and speeds up recovery. Focus on areas like your face, neck, and forearms for maximum facial rejuvenation. Look like a glowing beast, even when you’re tired.
3. Cold Exposure:
Cold showers, ice baths, cryotherapy these are all about resetting your nervous system. Cold exposure has been shown to reduce cortisol, boost dopamine, and even increase brown fat, which is more metabolically active than regular fat. You’re not just looking leaner; you’re optimizing for a more resilient and healthier body. Don’t just do this for recovery cold thermogenesis also keeps you more awake, sharp, and active.
4. Sensory Deprivation Tanks (Float Tanks):
Think of these as meditation on steroids. In total darkness and weightlessness, your body relaxes completely, and your mind enters deep meditative states, lowering cortisol, improving sleep, and enhancing creativity. A 60-90 minute float can reset your nervous system, making you feel like a new person. You walk out of the tank with a level of clarity and calm that’s hard to replicate.
5. Microdosing Psychedelics:
This is for the true nootropic warriors. Microdosing with substances like psilocybin (magic mushrooms) or LSD on a regular basis (sub perceptual doses) can improve cognitive function, enhance mood, and unlock creativity. It can also help regulate your stress levels by resetting your serotonin pathways. Don’t expect mind bending experiences, but expect a more optimized, balanced version of yourself over time.
6. Vagal Nerve Stimulation (VNS):
The vagus nerve is one of the main pathways to reset your nervous system. By stimulating it, you can shift your body from sympathetic (fight or flight) dominance to parasympathetic (rest and digest), which is key for recovery. This can be done through deep breathing exercises, singing, or using an electrical VNS device (like the GammaCore). It’s a hack to calm the body, lower stress, and feel relaxed while still sharp.
7. Low Dose Naltrexone (LDN):
This one is for people who want to hack their immune system and restore their endocannabinoid balance. Low doses of Naltrexone (usually 1.5–4.5mg at night) help modulate your immune response, reduce inflammation, and even improve mood. This can be a game changer for guys dealing with chronic stress and inflammation. Plus, it helps with fat loss, so it’s aesthetic friendly too.
8. Selegiline:
Selegiline is a MAO B inhibitor, meaning it blocks the enzyme that breaks down dopamine. It’s typically used in the treatment of Parkinson’s, but for the maxxer, it’s a dopamine booster. Increased dopamine levels = better mood, more motivation, improved focus, and reduced stress. It helps counteract the effects of chronic stress and can improve mental clarity, which is a big win for both productivity and aesthetics.
9. Hyperbaric Oxygen Therapy (HBOT):
HBOT is like giving your body a supercharged oxygen boost. It helps regenerate tissues, reduce inflammation, and promote healing. When you’re exposed to higher-than-normal oxygen levels, your cells start repairing faster, and your skin benefits massively. It’s a pro move for recovery, anti-aging, and reducing stress damage on your body.
10. PEMF (Pulsed Electromagnetic Field Therapy):
PEMF is a low-frequency electromagnetic field used to heal tissues, increase blood flow, and promote recovery. It’s next gen recovery and can help reset your body’s natural rhythms, improving everything from skin texture to workout recovery. Plus, it stimulates the production of ATP, which is the energy currency your cells use for optimal function.
These biohacks work because they don’t just target one system; they optimize your whole biology for stress resistance, recovery, and performance. If you want to get aesthetic in a new, cutting edge way, these are the tools the real high-level maxxers are using. It’s not just about lifting weights it’s about hacking your body and mind to peak at all times.
1. HRV Tracking (Heart Rate Variability):
If you’re serious about mastering stress, HRV is your number one tool. HRV measures how well your autonomic nervous system is working. A high HRV = high resilience to stress. You can track it with wearables like WHOOP, Oura Ring, or Elite HRV. Low HRV means you’re fried time to chill, sleep, and recover. If you can’t recover, you won’t look good, and you won’t perform.
2. Red Light Therapy:
This one’s a secret weapon for reducing inflammation and promoting skin regeneration. Red light therapy stimulates mitochondria (the powerhouses of your cells), improving cellular function. It’s a serious anti-aging hack that enhances collagen production, reduces wrinkles, and speeds up recovery. Focus on areas like your face, neck, and forearms for maximum facial rejuvenation. Look like a glowing beast, even when you’re tired.
3. Cold Exposure:
Cold showers, ice baths, cryotherapy these are all about resetting your nervous system. Cold exposure has been shown to reduce cortisol, boost dopamine, and even increase brown fat, which is more metabolically active than regular fat. You’re not just looking leaner; you’re optimizing for a more resilient and healthier body. Don’t just do this for recovery cold thermogenesis also keeps you more awake, sharp, and active.
4. Sensory Deprivation Tanks (Float Tanks):
Think of these as meditation on steroids. In total darkness and weightlessness, your body relaxes completely, and your mind enters deep meditative states, lowering cortisol, improving sleep, and enhancing creativity. A 60-90 minute float can reset your nervous system, making you feel like a new person. You walk out of the tank with a level of clarity and calm that’s hard to replicate.
5. Microdosing Psychedelics:
This is for the true nootropic warriors. Microdosing with substances like psilocybin (magic mushrooms) or LSD on a regular basis (sub perceptual doses) can improve cognitive function, enhance mood, and unlock creativity. It can also help regulate your stress levels by resetting your serotonin pathways. Don’t expect mind bending experiences, but expect a more optimized, balanced version of yourself over time.
6. Vagal Nerve Stimulation (VNS):
The vagus nerve is one of the main pathways to reset your nervous system. By stimulating it, you can shift your body from sympathetic (fight or flight) dominance to parasympathetic (rest and digest), which is key for recovery. This can be done through deep breathing exercises, singing, or using an electrical VNS device (like the GammaCore). It’s a hack to calm the body, lower stress, and feel relaxed while still sharp.
7. Low Dose Naltrexone (LDN):
This one is for people who want to hack their immune system and restore their endocannabinoid balance. Low doses of Naltrexone (usually 1.5–4.5mg at night) help modulate your immune response, reduce inflammation, and even improve mood. This can be a game changer for guys dealing with chronic stress and inflammation. Plus, it helps with fat loss, so it’s aesthetic friendly too.
8. Selegiline:
Selegiline is a MAO B inhibitor, meaning it blocks the enzyme that breaks down dopamine. It’s typically used in the treatment of Parkinson’s, but for the maxxer, it’s a dopamine booster. Increased dopamine levels = better mood, more motivation, improved focus, and reduced stress. It helps counteract the effects of chronic stress and can improve mental clarity, which is a big win for both productivity and aesthetics.
9. Hyperbaric Oxygen Therapy (HBOT):
HBOT is like giving your body a supercharged oxygen boost. It helps regenerate tissues, reduce inflammation, and promote healing. When you’re exposed to higher-than-normal oxygen levels, your cells start repairing faster, and your skin benefits massively. It’s a pro move for recovery, anti-aging, and reducing stress damage on your body.
10. PEMF (Pulsed Electromagnetic Field Therapy):
PEMF is a low-frequency electromagnetic field used to heal tissues, increase blood flow, and promote recovery. It’s next gen recovery and can help reset your body’s natural rhythms, improving everything from skin texture to workout recovery. Plus, it stimulates the production of ATP, which is the energy currency your cells use for optimal function.
These biohacks work because they don’t just target one system; they optimize your whole biology for stress resistance, recovery, and performance. If you want to get aesthetic in a new, cutting edge way, these are the tools the real high-level maxxers are using. It’s not just about lifting weights it’s about hacking your body and mind to peak at all times.
TL;DR: Chronic stress wrecks your hormones, aesthetics, mood, and gains by elevating cortisol and suppressing dopamine/testosterone.
Caused by poor sleep, overstimulation, inflammation, etc.
Fix it with sleep, circadian rhythm, adaptogens, anti-cortisol supplements, and reduced training volume.
Use pharma carefully (e.g., propranolol, phenibut, SSRIs) only if needed.
Stress kills looks — manage it like your life depends on it.
Stress → High Cortisol → [Low T] + [More Fat] + [Worse Skin] → You Look Worse.
Caused by poor sleep, overstimulation, inflammation, etc.
Fix it with sleep, circadian rhythm, adaptogens, anti-cortisol supplements, and reduced training volume.
Use pharma carefully (e.g., propranolol, phenibut, SSRIs) only if needed.
Stress kills looks — manage it like your life depends on it.
Stress → High Cortisol → [Low T] + [More Fat] + [Worse Skin] → You Look Worse.
Ts took me so long. I wouldn’t mind you repping me
@menas @Zagro @Orc @Gengar @Jonas2k7
Attachments
Last edited: