chadisbeingmade
Moderator
Staff
- Joined
- Dec 16, 2023
- Posts
- 9,072
- Reputation
- 27,203
- OP
- #101
@Bitchwhipper2 @albanianblackguy ´´´´´´´´ @imontheloose @loyolaxavvierretard
Follow along with the video below to see how to install our site as a web app on your home screen.
Note: this_feature_currently_requires_accessing_site_using_safari
Why did u turn into tiktok grifterWas waiting for a thread on BAM15 to drop, I was gatekeeping this god tier drug
Mirin Effort OP
If you haven’t hopped on yet then I would recommend getting 6 pack shredded before you consider hopping on because otherwise you will have high(er) estrogen conversion and e2 sensitivity.How about cutting while on test
Maybe, but I don’t decide. Still a good thread.@edodalic29 @Snicket @gangiewangie @NorwoodAscender
You should be on at the very least Finasteride IMO if not natural. I would full send Dut though.Should I inhibit 5ar? not natural 17
read every single molecule. mirin opView attachment 3707010
The Ultimate Fat Loss Guide - Everything From BAM15 To "Just Don't Eat Bro" - The Truth About Leanmaxxing
Part 3
Introduction
We all know leanmaxxing is the #1 looksmax. It is the only looksmax that can give a surgery tier ascension. I'm shocked when I receive a PM from someone who has been here for years and has not even completed step one. They look like they've been bulking for the past 2 years instead. It obviously isn't as east as "just put the fork down bro" for most people, otherwise you would all be dick skin shredded with veins running up your abdomen. So, we will look at all the methods here to actually achieve a shredded body, which is the foundation of all looksmax endeavours.
How much difference does fat loss really make?
A fucking tonne. Everyone greatly underestimate how much difference a few KGs of fat can make to your facial appearance. Many get demotivated quickly. Many of you are 20%+ bodyfat (although you think your 15%). The weight drop until about 15-18% really will not effect your facial aesthetics in any drastic way. For example, say you are 25% body fat. Dropping from that 25% to 18% will make a negligible difference.
"I've lost 8kg but it made almost no difference, leanmax is cope". Well yes, you've only now entered the territory of being lean(ish). You were fat, now you are less fat, but still relatively fat. Thankfully, although it may be demotivating to get to 15-18% with almost no ascension, from here on out, you will start to see changes, the more you edge closer to 15%, then 14% etc, all the way down to 10%.
Real life examples
This is the guy that appears on google when you search "hollow cheeks", I think.
Exhibit A:
A few KGs later:
Exhibit B
Boneless looking white guy no one would look twice at:
Literally 5-7kg later:
My point here is that, no you aren't necessarily going to ascend to Chad from MTN though leanmaxing, but the very vast majority of you will ascend to a large degree. There are countless more insane leanmax transformation, I just don't want to flood the whole thread with them. Not to mention, in the before pics, they are not fat by any stretch of the imagination, they just aren't shredded.
There are a very small minority that no matter what you do your face will remain a bloated mess. This means your boneless. Unless you are 10%, don't think it's over like this guy.
Not a single bone visible in his face. Not one.
View attachment 3706410
What compounds and methods exist to get shredded?
This thread contains all the information you could need about the following methods of leanmaxing:
GLP-1 Agonists - The foundation of everything.
DNP - Become a human furnace.
Clenbuterol and Salbutamol - Blow up your heart theory.
BAM15 - DNP dethroned
Protein Sparing Modified Fasting (PSMF)
Trenbolone - Godly recomp
Cardarine - You mean cancerine?
Triiodothyronine (T3)
Water Fasting
500 calorie deficit bro
I will outline every method you can use to get shredded as fuck that goes beyond the normie advice of "500 calorie deficit bro" or "just move more g". I will go through everything, if its not here it doesn't exist. I do not necessarily recommend some of these methods, I will outline which I do or do not recommend. I will go through everything from pharmaceuticals to natural methods. Some of these categories will overlap since they can be used in conjunction with each other.
GLP-1 Agonists - The foundation of everything
When talking about fat loss, we are looking at calories in vs calories out. It is that simple. If anyone tells you otherwise they are clinically retarded and should immediately be put on ignore . GLP-1 Agonists for the most part (I will explain), focus on the calories in portion of weight loss.
So, the 3 main GLP-1 Agonists are Semaglutide. Tirzepatid, and Retatrutide. There's also Bioglutide, but reseach and development is still being done.
I will go onto the following topics about each GLP-1 Agonist:
Semaglutide
What is it?
To put it as simply as possible, it's just an apatite suppressant. It is a GLP-1 receptor agonist medication used to treat type 2 diabetes and obesity. It works by mimicking the natural hormone GLP-1. Semaglutide is a single agonist. It only effects GLP-1R (GLP-1 receptors). It has the highest affinity for its target site. Semaglutide is about 94% identical to human produced GLP-1. GLP-1 has multiple effects. To mention a few it decreased hunger and food noise, delayed gastric emptying, increased satiety, decreased glucagon secretion, increased pancreatic beta cell function.
Effects on muscle mass
Out of the 3 main GLP-1 Agonists, Semaglutide has the worst muscle wastage to fat loss ratio compared to the other agonists. This is because it doesn't have the other methods of action that will help to relieve side effects and improve nutrient partitioning (amongst other things) to preserve lean mass. The muscle mass loss can be mitigated to a large degree by making sure you continue to have a high protein diet (which may be hard if you want to puke every time you eat), and continue weight training. The drug itself is not muscle wasting like some people seem to believe. The muscle loss is a direct cause of the aggressive deficit.
The side effects of Semaglutide
The most common would be Nausea which is experienced by around 43.9% of users on this highest dosage of Semaglutide (2.4mg). Vomiting, Diarrhoea, Abdominal pain and constipation are amongst the most common side effects. You may feel sick every time you think about eating, which is a large reason why it works, but obviously this is not ideal. Semaglutide has the harshest side effects out of the 3. If you are a jester you can read this seemingly never ending list of side effects you 100% are not going to get, but I respect normies for the fearmongering:
![]()
Semaglutide (subcutaneous route) - Side effects & dosage
www.mayoclinic.org
Misconceptions
You may see the words "Ozempic face" or "Ozempic butt" or "Ozempic anything" thrown about by the media, people on Reddit and forum retards like @JohnDoe . It is pure fearmongering and there is absolutely nothing that makes Semaglutide (Ozempic) or any other GLP-1 agonist prematurely age your face. The drug simply helps you lose weight. You will end up looking the exactly the same weather you drop the weight via willpower or GLP-1 agonists. This applies for the 3 GLP-1 agonists that I will be talking about, so I won't bother repeating this.
Who should use Semaglutide?
If your sole goal is just straight up weight loss, Semaglutide is the way you should go since it is the strongest at stimulating GLP-1. You are guaranteed to lose wight if the thought of eating makes you want to puke.
Semaglutide dosage protocol
View attachment 3706212
My experience with Semaglutide
I full sent 1mg off the rip I'll be real because normies are jesters. The only side effects I experienced was literally not wanting to eat at all. I could not get 3 eggs down me and had to force feed myself my protein intake throughout the day. Basically it fucking works if your goal is to crush your apatite at all costs and drop weight at all costs. Going from someone who can eat an entire cow in one sitting to not being able to eat a fucking egg was pretty extraordinary to be honest.
Tirzepatide
What is it?
Tirzepatide isn’t actually GLP-1. It’s actually a 39 amino acid modified GIP molecule that has GLP-1 activity added to the molecule. That is why we call it a dual agonist. It’s having an effect on two incretin receptors. That means Tirzepatide is binding to the native GIP-R (GIP receptor) with essentially equal affinity as our body’s own GIP molecule. However, the GLP-1 binding is about 5 times weaker than what our body creates. It is an imbalanced dual agonist with preferential activity at GIP over GLP-1. This means that mg for mg, compared to Semaglutide, it will reduce apatite to a much greater degree than Tirzepatide since the drug is a full agonist of GIP-R, and only a partial agonist of GLP-1R. That partial agonist effect means you’re not fully saturating the receptor site, which means you don’t get the full effect.
The benefits of being a GIP Agonist
There are multiple benefits to GIP (glucose-dependent insulinotropic polypeptide) Agonism that Semaglutide don't produce. GIP is another hormone involved in glucose metabolism. It has an anti-emetic/anti-nausea effect which explain why some people experience less side effects. Like GLP-1, it promotes insulin secretion in response to high blood glucose levels. However, GIP has also been shown to have effects on fat metabolism and energy balance. It also has other effects, it is neuroprotective, increases bone formation, decreases stomach acid secretion, increases insulin release.
Effects on muscle mass and bodyweight
In a study comparing the weight loss effects of Semaglutide and Tirzepatide, it was found that a larger proportion of patients on Tirzepatide achieved significant weight loss.
In terms of lean mass preservation Tirzepatide does seem to preserve more than Semaglutide users.Within one year of treatment, 81.8% of Tirzepatide patients lost at least 5% of their body weight, compared to 64.6% for Semaglutide. On top of this, 62.1% of tirzepatide patients lost 10% or more of their body weight, and 42.3% lost 15% or more, significantly higher than the 38.0% and 19.3%, respectively, for semaglutide.
The side effect of Tirzepatide
The side effect profile is very much the same as Semaglutide. The side effects are typically less severe than Semaglutide allowing it to be a much more sustainable to run long term. The main side effects still are Nausea, Vomiting, Diarrhoea, Abdominal pain and constipation.
Who should run Tirzepatide?
Well, in my opinion no one, due to the existence of Retatutide (which I will explain next) which makes Tirzepatide redundant. There is a reason I do not say that Semaglutide is redundant which I will get into later on in this thread, since it can be utilised well in specific scenarios. The only reason one could consider retatrutide is due to cost issues and it being less costly than Retatrutide. But with proper sourcing you can a year supply of the superior drug for very cheap. If your are going to a run a GLP-1 year round and you cannot get your hands on retatrutide for whatever reason, Tirzepatide is your best bet.
Tirzepatide dosage protocol
View attachment 3706277
My experience with Tirzepatide
Great apatite suppression, to me on par with Semaglutide, with less side effects and not feeling nausea at the sight of food as much. As I said, it's a much more sustainable compound to run.
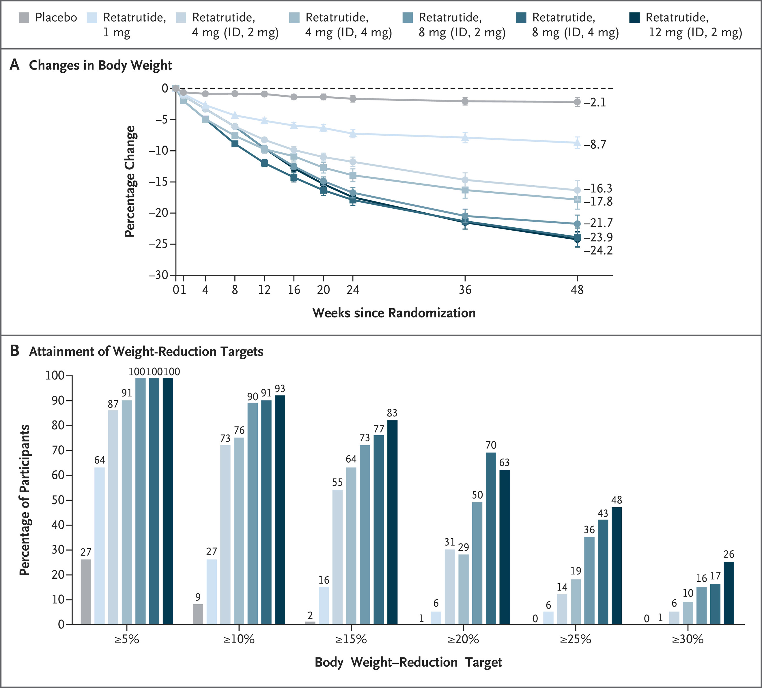
Retatrutide
What is it?
Retatrutide's a triple agonist, acting on GLP-1R, GIP-R and glucagon receptors (GCGR). Structurally, it is nearly identical to Tirzepatide. It is also a 39 amino acid modified GIP molecule but with changes to the amino acid structure to allow for activity at the GCGR site as well. It is also an imbalanced agonist. It is 8.9 fold more potent at GIP-R than human GIP. So this drug is way more potent than Tirzepatide at GIP-R agonism which means it further enhances any of the GIP-R effects and the GLP-1 effects in a synergistic manner.
The benefits of being a Glucagon Agonist
Glucagon increases heart rate and cardiac output/contractility, and lowers pulmonary vascular resistance. Glucagon has a multitude of effects on the liver and brown and white adipose tissue(AKA fat). In the liver it increases liver cell survival, increases lipolysis which creates free fatty acids which our body then turns into ketones for energy. In fat cells it increases thermogenesis and lipolysis which further drives that free fatty acids to ketone bodies cycle. It’s literally forcing your body to burn excess fat. This probably results in ~200 calories burnt doing nothing
Effects on muscle mass and bodyweight
Retatrutide is king out of the 3 GLP-1 Agonists when it comes to preserving lean body mass. When compared to potent GLP-1 RAs, such as tirzepatide and Semaglutide, they are associated with a significant reduction in lean mass in comparison to Retatrutide.
The side effects of Retatrutide
For the most part, the side effect profile is again the same as the other two. Nausea, Vomiting, Diarrhoea, Abdominal pain and constipation, again are the main ones. I will note in phase II clinical trials Subcutaneous hyperesthesia and skin sensitivity adverse events were reported in 7% of the participants who received Retatrutide. None of these events were severe or serious or were associated with overt skin findings, and none led to discontinuation of Retatrutide or placebo
![]()
Triple–Hormone-Receptor Agonist Retatrutide for Obesity — A Phase 2 Trial | NEJM
Retatrutide (LY3437943) is an agonist of the glucose-dependent insulinotropic polypeptide, glucagon-like peptide 1, and glucagon receptors. Its dose–response relationships with respect to side effe...www.nejm.org
Who should use Retatrutide?
Everyone. Everyone should use it. Even if you have already reached your goal body fat I would (and am currently) run Retatrutide year round to improve lipids and all your healthy blood markers and allow you to effortlessly maintain your current level of leanness.
Retatrutide dosage protocol
I would recommend starting at 1mg and titrating your way up as necessary. High dose Retatrutide can have it's benefits such as burning a few extra hundred calories through other mechanisms of lipolysis. If you want to use high dose Retatrutide, I would recommend between 5-10mg every week. I started with 5mg but will see how 10mg goes.
Sources
Sema
https://www.ncbi.nlm.nih.gov/pmc/articles/PMC8736331/#:~:text=Semaglutide
https://pubs.acs.org/doi/10.1021/acs.jmedchem.5b00726
Tirz
https://www.ncbi.nlm.nih.gov/pmc/articles/PMC7526454/#:~:text=For GLP-1R, tirzepatide was,nM (1.86, 3)
https://www.ncbi.nlm.nih.gov/pmc/articles/PMC6308032/#appsec2
https://www.ncbi.nlm.nih.gov/pmc/articles/PMC4020673/
Reta
https://www.sciencedirect.com/science/article/pii/S1550413122003126?via=ihub#sec1
https://www.nejm.org/doi/pdf/10.1056/NEJMoa2301972
https://dom-pubs.onlinelibrary.wiley.com/doi/full/10.1111/dom.15167
https://academic.oup.com/jcem/article/103/5/1804/4931669
DNP - Become a human furnace
This is a heavily fearmongered drug due to the fact that if you overdose, you are absolutely finished, nothing can be done, you are done for. Assuming you are not clinically retarded, this will not happen to you. I would actually say it is very safe if you have a good source that accurately doses the DNP, but there aren't many about.
How DNP works
DNP works by increasing metabolism through inhibiting the mitochondria from making adenosine triphosphate (ATP), which results in heat being produced instead of ATP. So put that simply in the most basic way possible, it prevents energy from being stored as fat burning it as heat instead.
DNP side effect profile
You will be sweating.
You will experience facial bloating on cycle that will resolve 1 week after your cycle ends.
You may experience a slight rash on cycle. Sometimes you'll get it, sometimes you won't. It is harmless. Use anti-histamine if you want.
Your thyroid will be tanked for 1-2 weeks after your cycle, so keep calories low for those 2 weeks to not regain fat is a good idea. (T3 replacement can also be run with the cycle).
Your apatite will go crazy, and you will mainly crave carbohydrates (solution below)
DNP effects on muscle mass
DNP is protein sparing. It only uses fats and carbs for energy. Your strength will decrease on cycle, that is because you are completely glycogen depleted and your cells are essential in overdrive. Once you carb up and DNP leaves your system you will regain your strength.
How much does DNP increase your TDEE?
DNP increases your TDEE, not your BMR. This means it acts as a multiplicator for any activity that you do. DNP powder will increase your TDEE by ~15% and crystal will increase your TDEE by ~11% for every 100mg consumed after the DNP has built up in your system which is after about 5-6 days unless you front load it, which I would not recommend due to the fact that dealers may miss dose the DNP and you could be consuming more than you think, which can be fatal if you are at high dosages.
DNP dosage protocol
Always start low and titrate DNP up for the reason I just mentioned. 200mg will give help you out, but 400mg mogs everything to oblivion. Do not exceed 600mg, ESPECIALLY after you have reached peak DNP concentration of a certain dose at around day 5. If you are looking for good steady weight loss 200mg is a perfect dosage that will give you all the benefits with minimal heat and side effects.
The best way to run DNP
DNP solo is great, it does what it says. The only problem is that DNP will ramp up your apatite to another level. You will feel orgasmic whilst eating an apple. This can lead to you uncountably eating. To combat this using a GLP-1 Agonist is ideal. The GLP-1 Agonist as discussed above will nuke your apatite and the DNP will ramp up your metabolism. I would recommend using either Semaglutide or Tirzepatide due to the fact they are just more potent apatite suppressors than Retatutide. We do not really care for the increased metabolic effects that Retatutude would give, since we have given that job to DNP, we just need the apatite to be gone.
Benefits of running DNP
At the end of the cycle, with DNP and GLP-1 Agonists you will be left disgustingly insulin sensitive since DNP sensitizes insulin
Obviously you will become dick skin shredded
DNP releases releases a tonne of PUFA
DNP is neurogenic
DNP is anti-catabolic
DNP removes visceral fat first
Some DNP studies show that is may have protective effects on mitochondria
My experience with DNP
I have ran 3 DNP cycles now. One was complete shambles I'll be real since DNP at 500mg ramped up my apatite so much that the whole kitchen got consumed within minutes. After that shit show, I paired DNP with Tirzepatide and it was a prefect cycle. My apatite was under control and DNP worked as it should. I lost 12lbs in 14 days (excluding any water weight). I have seen countless great fat loss experiences though the use of DNP here also. Pretty use Clavicular has lost 14lbs in 15 or so days, or something along those lines.
Clenbuterol and Sambutemol - Blow up your heart theory.
These are not drugs I would personally recommend, but despite the fact I am not a fan of the side effect profile and the fat burning capabilities aren't near the level of other compounds here, it is still a method to burn a few extra hundred calories, so I will go into it anyway.
How many calories will Clenbuterol burn
It will only burn roughly an extra 200 calories per day. Sure, those calories will add up in time. Over an entire month that's another 6000 calories burnt. So yes, it's some additional fat loss, but given the side effect profile, and that you haven't even lost a whole kilo of fat after a whole month, it's not worth it, especially when drugs like DNP which can close to double your normal TDEE, with a much more favourable side effect profile in my opinion (assuming you skip the death part).
How Clenbuterol works
For the most part, it really just makes you jittery and shaky as shit and will increase heart rate, which all will result is greater caloric expenditure throughout the day.
Clenbuterol side effect profile
Shaky hands/jittery
Anxiety
Feeling warmer
Increased heart rate
Muscle cramps
Apatite suppression
The main reason not to run clenbuterol is due to its effects on your heart. Clenbuterol is shown to cause cardiac hypertrophy (disease in which the heart muscle becomes thickened). This is reason enough not to touch this shit.
Clenbuterol dosage protocol
I'll start by saying that the "2 weeks on 2 weeks off" is a gymbro meme. It is a theory where people think that Clenbuterol has to be cycled off completely to allow beta2 receptors to upregulate and recover sensitivity. Clenbuterol still works after 2 weeks, it simply just is not as effective. After 2 to 3 week is about the time the dosage should be bumped by another 20mcg. By bumping it up in this gradual manor, the increased metabolic rate can be taken advantage of for the entire duration of the cutting phase, instead of having heightened fat bring potential for only 2 weeks, then taking 2 weeks off before you can reap those benefits again. So, when dosing Clenbuterol, use the pyramid scheme and increase the dosage every 2-3 weeks.
My experience with Clenbuterol
I ran it ages ago, shit decision. Don't make the same mistake. Yeah, it works, but I will not run again, it isn't worth the slight increase in fat loss. I could have achieved the same effect by walking for 30 minutes outside and not have any sides, so I can't see why anyone would run this compound. When on it I felt slightly warm, slightly harder to fall asleep, resting heart rate increased and my hands were a bit shaky.
BAM15 - DNP dethroned
This shit would be fucking insane. I do not have personal experience with this one, and I don't think anyone does here either. I've read about some users using it on Reddit.
BAM15 mechanism of action
It works in the same way that DNP does. It's a mitochondrial uncoupler. That means it disrupts the link between electron transport and ATP synthesis in mitochondria, as I explained with DNP above.
Benefits of BAM15
Fat loss - increasing metabolism
Reduced oxidative stress - Unlike other uncouplers, BAM-15 is thought to generate less oxidative stress, making it potentially safer.
Improved insulin sensitivity - By reducing the body’s reliance on ATP for energy production, BAM-15 may improve metabolic functions, including insulin sensitivity.
Why is it better/different than DNP?
As I said above, DNP is perfectly safe at regular dosages. This just happens to be safer since it reduces oxidative stress. The biggest benefit of BAM15 is it's selectivity.
BAM15 administration led to increased energy expenditure, improved insulin sensitivity, and reduced body fat without affecting food intake or lean mass. These effects were attributed to enhanced mitochondrial respiration and sustained activation of AMP-activated protein kinase.
![]()
BAM15-mediated mitochondrial uncoupling protects against obesity and improves glycemic control - PubMed
Obesity is a leading cause of preventable death worldwide. Despite this, current strategies for the treatment of obesity remain ineffective at achieving long-term weight control. This is due, in part, to difficulties in identifying tolerable and efficacious small molecules or biologics capable...pubmed.ncbi.nlm.nih.gov
Going beyond fat loss
BAM15 demonstrated protective effects in models of acute kidney injury and sepsis by reducing mitochondrial reactive oxygen species (ROS) production and mitigating kidney damage. It also decreased the release of mitochondrial DNA into circulation, a marker of tissue injury, and improved survival rates in septic mice .
![]()
BAM15 treats mouse sepsis and kidney injury, linking mortality, mitochondrial DNA, tubule damage, and neutrophils - PubMed
Sepsis pathogenesis is complex and heterogeneous; hence, a precision-medicine strategy is needed. Acute kidney injury (AKI) following sepsis portends higher mortality. Overproduction of mitochondrial ROS (mtROS) is a potential mediator of sepsis and sepsis-induced AKI. BAM15, a chemical...pubmed.ncbi.nlm.nih.gov
In vitro studies indicated that BAM15 inhibited proliferation and induced apoptosis in acute myeloid leukemia (AML) cells. The mechanism involved a disturbance in ROS production balance, and BAM15 enhanced the efficacy of the chemotherapeutic agent cytarabine in vivo.
![]()
The new mitochondrial uncoupler BAM15 induces ROS production for treatment of acute myeloid leukemia - PubMed
Acute myeloid leukemia (AML) is a malignant proliferative disease of myeloid hematopoietic origin and cannot be treated appropriately at present. This is due to the fact that leukemia cells are not sensitive to some of the traditional chemotherapy drugs. Or some chemotherapeutic drugs are too...pubmed.ncbi.nlm.nih.gov
BAM15 exhibited activity against Toxoplasma gondii by inhibiting mitochondrial oxidative phosphorylation in the parasite, leading to decreased ATP levels and increased ROS production. These effects were observed both in vitro and in vivo, suggesting BAM15's potential as an antiparasitic agent.
![]()
Effect of the mitochondrial uncoupling agent BAM15 against the Toxoplasma gondii RH strain and Prugniaud strain - PubMed
BAM15 had excellent anti-T. gondii activity in vitro and in vivo with an EC50 value of 1.25 μM, while the IC50 of BAM15 in Vero cells was 27.07 μM. Notably, BAM15 significantly inhibited proliferation activity of T. gondii RH strain and Prugniaud strain (PRU), caused T. gondii death...pubmed.ncbi.nlm.nih.gov
Unlike uncouplers like DNP, BAM15 does not depolarize the plasma membrane, thereby reducing off-target effects and cytotoxicity.
![]()
Identification of a novel mitochondrial uncoupler that does not depolarize the plasma membrane - PubMed
Dysregulation of oxidative phosphorylation is associated with increased mitochondrial reactive oxygen species production and some of the most prevalent human diseases including obesity, cancer, diabetes, neurodegeneration, and heart disease. Chemical 'mitochondrial uncouplers' are lipophilic...pubmed.ncbi.nlm.nih.gov
BAM15 side effect profile
There are actually minimal side effects being reported, with the worst side effect being simply more sweat during cardio. Side effects would be more apparent at high dosages. Some people have reported hiccups (JFL), as well as some slight heartburn at times.
BAM15 dosage protocol
From what I have read, users have dosed anywhere from 100mg a day to 300mg a day, split into sperate dosages.
Personal experience with BAM15
Nothing.
Protein Sparing Modified Fasting (PSFM)
What is PSMF?
PSMF is a diet that will allow you to lose weight quickly while preserving your lean tissue and muscle mass. It involves eating mostly protein-rich foods and minimizing the intake of carbohydrates and fat.
How PSMF works
The greater the deficit you create, the greater the weight loss. The quickest way to lose wight would be to eat nothing (well, maybe water fast on DNP but do not do that since you probably won't be able to move). The problem with just eating nothing is after around 24-36 hours your body will begin to break down muscle and lean tissue to convert this protein into glucose to fuel your brain, heart, and other vital organs. This is not good and not what we want. This breakdown of muscle and lean tissue can decrease your metabolic rate, or the number of calories your body burns at rest each day, making it difficult to sustain your rate of weight loss. Fortunately, animal and human studies have shown that supplementing a fast with protein can reduce or even eliminate the risk of muscle loss and metabolic slowdown.
During periods of extreme low calorie intake, your body creates glucose through a process in the liver called gluconeogenesis (GNG). In this process, protein is broken down into amino acids, which are then converted into glucose. To obtain the amino acids needed for GNG, your body must break down lean tissue and muscle. Research has shown, however, that eating protein increases the concentration of amino acids in your blood for up to 6-8 hours. Eating a protein-rich meal provides your body with a source of amino acids, preventing it from needing to cannibalize muscle tissue to fuel GNG. Continued protein intake throughout the day provides a dietary source of amino acids to fuel GNG, even at a significantly reduced calorie intake. This is the best of both worlds: rapid weight loss without sacrificing muscle tissue.
How to do PSMF
Your goal should be 1 gram of protein per lbs of lean bodyweight. So if you weigh 180lbs and have 15% body fat that would mean you have 153lbs of lean body mass. (180x0.85). This means you should be consuming 153grams of protein per day. Your goal should be to stay below 20g of fats and 20g of carbs per day. If you do the math (protein and carbs have 4 calories per g, and fats have 9 calories per gram) you will likely not be exceeding 1000 calories per day, which will put you in a massive deficit.
The problem with PSMF
This diet will be very hard for the average person to stick to. It will require immense willpower as you will feel immense hunger on such low calories. This will lead to you MAYBE sticking to the diet for a few days, but it is 99.99% inevitable you end up binging and eating in a major surplus, undoing all the work you have done till than point rather quickly.
The solution
This is where GLP-1 Agonists help. GLP-1 Agonists are ideal here as it will allow you to stick to such low calories with ease, allowing for rapid weight loss.
This is the protocol I would use if I needed to drop fat as quick as possible and only had access to GLP-1 Agonists. It's quick and requires no willpower.
Trenbolone - Godly recomp.
I would not hop on Tren just so you can recomp. That’s stupid as shit. If you are already roiding and have already done your first cycle, then this is an option, otherwise use one of the other options mentioned in this thread.
Why Tren is great for super recomp
Tren is extremely anti-catabolic. It is the most anti-catabolic steroid in existence. It has an extremely high AR potency. At the androgen receptor, Trenbolone is approximately 4.5x more potent than Testosterone.
Why is it so anti-catabolic?
It has this effect since there are multiple pathways that is decreases glucocorticoids.
Tyrosine aminotransferase plays a role in gluconeogenesis, the metabolic pathway that converts amino acids into glucose or energy. Tren has been shown to lower Tyrosine Aminotransferase levels in the liver, thereby slowing the degradation of tyrosine and reducing overall protein breakdown.
Tren amplifies the responsiveness of muscle satellite cells to IGF-1, increasing their proliferation even at standard hormone levels. This heightened sensitivity supports more efficient muscle growth and complements its anti-catabolic actions, also contributing to better insulin signaling.
How to run Tren for recomp
I wouldn’t run it long. Maybe a month to a month and a half. No more. You want to be in a very aggressive deficit during this time and make sure you stick to it every day to make the most of the cycle. You can achieve this through the use of GLP-1 Agonists. Due to the fact that Semaglutide and Tirzepatide provide the greatest apatite suppression I would recommend using one of those two. You are doing to be able to drop an incredible amount of fat whilst also putting on lean tissue.
Precautions
As you know, hair is life. If your are already on steroids and not using at very minimum a 5ARi inhibitor, ideally Dutasteride, your fucking clueless. Get on one ASAP. What’s also necessary when running highly androgenic substances is RU58841. I have a thread going through all of that here. Make sure you use it, especially when running such compounds, or you will greatly regret it, and will by flying to Turkey shortly.
Tren side effect profile
Obviously side effect are dose dependent. Everyone also reasons differently, some can use Tren without issues, and some claim they became gay.
I will leave this part empty, so you do your own research on the compound to decide is the risk to reward ratio is worth it.
Cardarine (GW501516) - You mean cancerine?
What is Cancerine?
Cardarine is a PPAR-delta receptor agonist. It activates the PPAR-delta pathway which increases the body’s ability to burn fat and increase indurance.
How Cancerine aids in fat loss
Cardarine is an endurance enhancer rather than a fat burner. If you are not doing cardio, then this drug would provide absolutely zero benefits to you. It shits you to a fat metabolism, and when you exercise you will have greater endurance to be able to do more in less time, and for longer. Obviously this will result in more calories burnt via cardio to aid in your calorie deficit.
Cancerine side effect profile
Cancer first and for most (reason enough not to touch that shit)
Spike your apatite to another level (obviously not what you want when getting lean)
Make you thirsty
Headaches
And surprisingly makes people feel lethargic despite its increased endurance effects
My experience with Cancerine
I wasn’t stupid to try this shit. So I cannot comment. I also very much dislike cardio that’s not in the form of sports, so this drug would provide no purpose for me. Even if you were grinding out cardio, I would not recommend this due to the increased cancer risk.
Triiodothyronine (T3)
What is T3?
T3 is thyroid hormone produced primarily by the thyroid gland and is also converted from T4 in tissue through the body. It regulates multiple things such as your metabolism, body temperature, heart rate etc.
How much will T3 increase TDEE?
I can’t say. It depends on what your TDEE and thyroid function was like in the first place as well as how sensitive you are to the T3 (there's generally not an astronomical amount of difference in sensitivity between users, but certainly enough to make a difference).
T3 dosage protocol
I have seen good results of people running 12.5-37.5mcg every day. I personally would not recommend going below 25mcg, and I would not go above 50mcg.
T3 side effect profile
Nuked TSH levels, you would basically be hyperthyroid if overdosed
Increased heat
Anxiety
Headaches
Cramps
Trouble falling asleep
Increased hunger
Increased heart rate
My experience with T3
When I ran t3 solo, the only side effects I experienced was increased heart rate, and if the dosage was too high, mild anxiety. The fat loss was OK, but t3 only really becomes useful when combined with DNP which down regulates your thyroid, so using a replacement dose of t3 then would be the only real valid time to use.
Typically if people stall their weight loss on DNP, and they weren’t supplementing replacement dosage of t3, adding it in will allow them to continue to drop.
Water Fasting
What is water fasting?
Unless you are clinically retarded, you likely do not need an explanation for what water fasting is. Essentially it is not eating anything at all apart from water. That's it. The only thing that is allowed to be consumed on top of water is electrolytes (potassium chloride and salt).
Could water fasting mog DNP?
You are burning your entire resting metabolic rate each day plus any cardio on top. Matching this with DNP requires moderate or upper dosage levels with hellish side effects.
It's easier to fast than it is to resist DNP carb cravings and the ghrelin spikes (however this is not the case with GLP-1 Agonist + DNP)
It's actually easier for most people to not eat at all than it is eat at a deficit because hunger hormones will still be active but they are less active on fasts.
Its free where as DNP is not
You could be more functional running on ketones than you are dealing with DNP heat and lethargy
Fasting is excellent for your gut, liver, kidneys, and wipes out insulin & leptin resistance
Water fasting for more than 3 days
If you water fast for more than 3 days without a refeed, it is recommended to use electrolyte water. It's just water with salt and potassium chloride. You want to get the ratio of sodium to potassium chloride right as low sodium relative to potassium causes drop in blood pressure, dizziness and racing heart. Lack of potassium causes cramps and high bp.
Muscle preservation
I would not use this method if you have a good amount of muscle mass built up, I would only use it conservatively, like once a month. If you have muscle to preserve, opt for another option like PSMF.
How I would utilise water fasting
I would not personally use water fasting to get myself shredded, but there are definite benefits from water fasting like autophagy as well as fat loss. I would recommend using fasting once a month for 3 days or so to be able to drop a full kg whilst retaining 99,99% of your muscle mass, as well as improving your gut and giving your body a rest from digestion.
ECA stack
What is an ECA stack?
ECA stack contains Ephedrine (banned or restricted in many countries, for over-the-counter sale due to health concerns), Caffeine and Aspirin. I will break down what each compound in this stack does.
Breakdown of what each compound in the stack does
Ephedrine has potent thermogenic and fat-burning properties. Research has demonstrated that ephedrine effectively increases metabolic rate, promotes fat oxidation, and, when combined with caffeine and aspirin, enhances these effects further. Ephedrine functions as a beta-adrenergic agonist, stimulating beta receptors on fat cells. This activation increases the release of norepinephrine, a neurotransmitter that signals fat cells to release stored fat into the bloodstream for energy utilization (AKA lipolysis).
Caffeine is used because when Ephedrine is combined with caffeine, ephedrine's thermogenic effects are amplified. Caffeine inhibits the enzyme phosphodiesterase, which breaks down cyclic AMP (cAMP). Elevated cAMP levels prolong the action of norepinephrine, enhancing fat breakdown and energy expenditure.
Aspirin does not directly cause fat loss, but studies show when it is combined with Ephedrine aspirin significantly increased post-meal metabolic rate in obese women, compared to ephedrine alone.
![]()
Aspirin potentiates the effect of ephedrine on the thermogenic response to a meal in obese but not lean women - PubMed
The effect of ephedrine (30 mg) and aspirin (300 mg) on the acute thermogenic response to a liquid meal (250 kcal) was investigated in lean and obese women (n = 10 each group). Resting metabolic rate (RMR) was measured prior to each of the following treatments: meal only (M), meal plus ephedrine...pubmed.ncbi.nlm.nih.gov
How many calories will ECA stack burn
You will get an extra 100-200 calories burnt per day using an ECA stack. IMO for the same calories burnt, I would much rather use this than something like Clenbuterol.
![]()
Aspirin potentiates the effect of ephedrine on the thermogenic response to a meal in obese but not lean women - PubMed
The effect of ephedrine (30 mg) and aspirin (300 mg) on the acute thermogenic response to a liquid meal (250 kcal) was investigated in lean and obese women (n = 10 each group). Resting metabolic rate (RMR) was measured prior to each of the following treatments: meal only (M), meal plus ephedrine...pubmed.ncbi.nlm.nih.gov
![]()
The effect of ephedrine/caffeine mixture on energy expenditure and body composition in obese women - PubMed
Treatment with beta 2-agonists promotes fat loss and muscle growth in numerous species, but human studies are lacking. We studied the effect of a compound with beta 2-agonistic properties (ephedrine 20 mg/caffeine 200 mg [E + C]). Fourteen obese women were treated with a 4.2-MJ/d diet and either...pubmed.ncbi.nlm.nih.gov
ECA side effect profile
Increased heart rate
Increased blood pressure
Anxiety
Jitteriness
Insomnia
The normie method
How to determine your maintenance calories
Just find you maintenance calories by eating and tracking everything for a week, and weighing yourself every day. At the end of the week, see how much weight you gained/lost. Then add up your calories for the week and divide by 7 to find how many calories you ate on average per day. Multiply how much weight you gained/lost in that week by either 3500 if you are working in lbs or 7700 if you are working in KG. This will show you how many calories over or under you maintenance you ate over the week. You have now determined your maintenance calories.
500 deficit bro
Simply subtract 500 calories from whatever number you have calculated using the method above. You can use caffeine and nicotine to help supress your apatite to help you stick to the diet. This is the slowest method but it is side effect free.
Tags: @Jonas2k7 @Clavicular @MyDreamIsToBe183CM @Bitterschön
Curious about BAM %TDEE increase vs DNPView attachment 3707010
The Ultimate Fat Loss Guide - Everything From BAM15 To "Just Don't Eat Bro" - The Truth About Leanmaxxing
Part 3
Introduction
We all know leanmaxxing is the #1 looksmax. It is the only looksmax that can give a surgery tier ascension. I'm shocked when I receive a PM from someone who has been here for years and has not even completed step one. They look like they've been bulking for the past 2 years instead. It obviously isn't as east as "just put the fork down bro" for most people, otherwise you would all be dick skin shredded with veins running up your abdomen. So, we will look at all the methods here to actually achieve a shredded body, which is the foundation of all looksmax endeavours.
How much difference does fat loss really make?
A fucking tonne. Everyone greatly underestimate how much difference a few KGs of fat can make to your facial appearance. Many get demotivated quickly. Many of you are 20%+ bodyfat (although you think your 15%). The weight drop until about 15-18% really will not effect your facial aesthetics in any drastic way. For example, say you are 25% body fat. Dropping from that 25% to 18% will make a negligible difference.
"I've lost 8kg but it made almost no difference, leanmax is cope". Well yes, you've only now entered the territory of being lean(ish). You were fat, now you are less fat, but still relatively fat. Thankfully, although it may be demotivating to get to 15-18% with almost no ascension, from here on out, you will start to see changes, the more you edge closer to 15%, then 14% etc, all the way down to 10%.
Real life examples
This is the guy that appears on google when you search "hollow cheeks", I think.
Exhibit A:
A few KGs later:
Exhibit B
Boneless looking white guy no one would look twice at:
Literally 5-7kg later:
My point here is that, no you aren't necessarily going to ascend to Chad from MTN though leanmaxing, but the very vast majority of you will ascend to a large degree. There are countless more insane leanmax transformation, I just don't want to flood the whole thread with them. Not to mention, in the before pics, they are not fat by any stretch of the imagination, they just aren't shredded.
There are a very small minority that no matter what you do your face will remain a bloated mess. This means your boneless. Unless you are 10%, don't think it's over like this guy.
Not a single bone visible in his face. Not one.
View attachment 3706410
What compounds and methods exist to get shredded?
This thread contains all the information you could need about the following methods of leanmaxing:
GLP-1 Agonists - The foundation of everything.
DNP - Become a human furnace.
Clenbuterol and Salbutamol - Blow up your heart theory.
BAM15 - DNP dethroned
Protein Sparing Modified Fasting (PSMF)
Trenbolone - Godly recomp
Cardarine - You mean cancerine?
Triiodothyronine (T3)
Water Fasting
500 calorie deficit bro
I will outline every method you can use to get shredded as fuck that goes beyond the normie advice of "500 calorie deficit bro" or "just move more g". I will go through everything, if its not here it doesn't exist. I do not necessarily recommend some of these methods, I will outline which I do or do not recommend. I will go through everything from pharmaceuticals to natural methods. Some of these categories will overlap since they can be used in conjunction with each other.
GLP-1 Agonists - The foundation of everything
When talking about fat loss, we are looking at calories in vs calories out. It is that simple. If anyone tells you otherwise they are clinically retarded and should immediately be put on ignore . GLP-1 Agonists for the most part (I will explain), focus on the calories in portion of weight loss.
So, the 3 main GLP-1 Agonists are Semaglutide. Tirzepatid, and Retatrutide. There's also Bioglutide, but reseach and development is still being done.
I will go onto the following topics about each GLP-1 Agonist:
Semaglutide
What is it?
To put it as simply as possible, it's just an apatite suppressant. It is a GLP-1 receptor agonist medication used to treat type 2 diabetes and obesity. It works by mimicking the natural hormone GLP-1. Semaglutide is a single agonist. It only effects GLP-1R (GLP-1 receptors). It has the highest affinity for its target site. Semaglutide is about 94% identical to human produced GLP-1. GLP-1 has multiple effects. To mention a few it decreased hunger and food noise, delayed gastric emptying, increased satiety, decreased glucagon secretion, increased pancreatic beta cell function.
Effects on muscle mass
Out of the 3 main GLP-1 Agonists, Semaglutide has the worst muscle wastage to fat loss ratio compared to the other agonists. This is because it doesn't have the other methods of action that will help to relieve side effects and improve nutrient partitioning (amongst other things) to preserve lean mass. The muscle mass loss can be mitigated to a large degree by making sure you continue to have a high protein diet (which may be hard if you want to puke every time you eat), and continue weight training. The drug itself is not muscle wasting like some people seem to believe. The muscle loss is a direct cause of the aggressive deficit.
The side effects of Semaglutide
The most common would be Nausea which is experienced by around 43.9% of users on this highest dosage of Semaglutide (2.4mg). Vomiting, Diarrhoea, Abdominal pain and constipation are amongst the most common side effects. You may feel sick every time you think about eating, which is a large reason why it works, but obviously this is not ideal. Semaglutide has the harshest side effects out of the 3. If you are a jester you can read this seemingly never ending list of side effects you 100% are not going to get, but I respect normies for the fearmongering:
![]()
Semaglutide (subcutaneous route) - Side effects & dosage
www.mayoclinic.org
Misconceptions
You may see the words "Ozempic face" or "Ozempic butt" or "Ozempic anything" thrown about by the media, people on Reddit and forum retards like @JohnDoe . It is pure fearmongering and there is absolutely nothing that makes Semaglutide (Ozempic) or any other GLP-1 agonist prematurely age your face. The drug simply helps you lose weight. You will end up looking the exactly the same weather you drop the weight via willpower or GLP-1 agonists. This applies for the 3 GLP-1 agonists that I will be talking about, so I won't bother repeating this.
Who should use Semaglutide?
If your sole goal is just straight up weight loss, Semaglutide is the way you should go since it is the strongest at stimulating GLP-1. You are guaranteed to lose wight if the thought of eating makes you want to puke.
Semaglutide dosage protocol
View attachment 3706212
My experience with Semaglutide
I full sent 1mg off the rip I'll be real because normies are jesters. The only side effects I experienced was literally not wanting to eat at all. I could not get 3 eggs down me and had to force feed myself my protein intake throughout the day. Basically it fucking works if your goal is to crush your apatite at all costs and drop weight at all costs. Going from someone who can eat an entire cow in one sitting to not being able to eat a fucking egg was pretty extraordinary to be honest.
Tirzepatide
What is it?
Tirzepatide isn’t actually GLP-1. It’s actually a 39 amino acid modified GIP molecule that has GLP-1 activity added to the molecule. That is why we call it a dual agonist. It’s having an effect on two incretin receptors. That means Tirzepatide is binding to the native GIP-R (GIP receptor) with essentially equal affinity as our body’s own GIP molecule. However, the GLP-1 binding is about 5 times weaker than what our body creates. It is an imbalanced dual agonist with preferential activity at GIP over GLP-1. This means that mg for mg, compared to Semaglutide, it will reduce apatite to a much greater degree than Tirzepatide since the drug is a full agonist of GIP-R, and only a partial agonist of GLP-1R. That partial agonist effect means you’re not fully saturating the receptor site, which means you don’t get the full effect.
The benefits of being a GIP Agonist
There are multiple benefits to GIP (glucose-dependent insulinotropic polypeptide) Agonism that Semaglutide don't produce. GIP is another hormone involved in glucose metabolism. It has an anti-emetic/anti-nausea effect which explain why some people experience less side effects. Like GLP-1, it promotes insulin secretion in response to high blood glucose levels. However, GIP has also been shown to have effects on fat metabolism and energy balance. It also has other effects, it is neuroprotective, increases bone formation, decreases stomach acid secretion, increases insulin release.
Effects on muscle mass and bodyweight
In a study comparing the weight loss effects of Semaglutide and Tirzepatide, it was found that a larger proportion of patients on Tirzepatide achieved significant weight loss.
In terms of lean mass preservation Tirzepatide does seem to preserve more than Semaglutide users.Within one year of treatment, 81.8% of Tirzepatide patients lost at least 5% of their body weight, compared to 64.6% for Semaglutide. On top of this, 62.1% of tirzepatide patients lost 10% or more of their body weight, and 42.3% lost 15% or more, significantly higher than the 38.0% and 19.3%, respectively, for semaglutide.
The side effect of Tirzepatide
The side effect profile is very much the same as Semaglutide. The side effects are typically less severe than Semaglutide allowing it to be a much more sustainable to run long term. The main side effects still are Nausea, Vomiting, Diarrhoea, Abdominal pain and constipation.
Who should run Tirzepatide?
Well, in my opinion no one, due to the existence of Retatutide (which I will explain next) which makes Tirzepatide redundant. There is a reason I do not say that Semaglutide is redundant which I will get into later on in this thread, since it can be utilised well in specific scenarios. The only reason one could consider retatrutide is due to cost issues and it being less costly than Retatrutide. But with proper sourcing you can a year supply of the superior drug for very cheap. If your are going to a run a GLP-1 year round and you cannot get your hands on retatrutide for whatever reason, Tirzepatide is your best bet.
Tirzepatide dosage protocol
View attachment 3706277
My experience with Tirzepatide
Great apatite suppression, to me on par with Semaglutide, with less side effects and not feeling nausea at the sight of food as much. As I said, it's a much more sustainable compound to run.
Retatrutide
What is it?
Retatrutide's a triple agonist, acting on GLP-1R, GIP-R and glucagon receptors (GCGR). Structurally, it is nearly identical to Tirzepatide. It is also a 39 amino acid modified GIP molecule but with changes to the amino acid structure to allow for activity at the GCGR site as well. It is also an imbalanced agonist. It is 8.9 fold more potent at GIP-R than human GIP. So this drug is way more potent than Tirzepatide at GIP-R agonism which means it further enhances any of the GIP-R effects and the GLP-1 effects in a synergistic manner.
The benefits of being a Glucagon Agonist
Glucagon increases heart rate and cardiac output/contractility, and lowers pulmonary vascular resistance. Glucagon has a multitude of effects on the liver and brown and white adipose tissue(AKA fat). In the liver it increases liver cell survival, increases lipolysis which creates free fatty acids which our body then turns into ketones for energy. In fat cells it increases thermogenesis and lipolysis which further drives that free fatty acids to ketone bodies cycle. It’s literally forcing your body to burn excess fat. This probably results in ~200 calories burnt doing nothing
Effects on muscle mass and bodyweight
Retatrutide is king out of the 3 GLP-1 Agonists when it comes to preserving lean body mass. When compared to potent GLP-1 RAs, such as tirzepatide and Semaglutide, they are associated with a significant reduction in lean mass in comparison to Retatrutide.
The side effects of Retatrutide
For the most part, the side effect profile is again the same as the other two. Nausea, Vomiting, Diarrhoea, Abdominal pain and constipation, again are the main ones. I will note in phase II clinical trials Subcutaneous hyperesthesia and skin sensitivity adverse events were reported in 7% of the participants who received Retatrutide. None of these events were severe or serious or were associated with overt skin findings, and none led to discontinuation of Retatrutide or placebo
![]()
Triple–Hormone-Receptor Agonist Retatrutide for Obesity — A Phase 2 Trial | NEJM
Retatrutide (LY3437943) is an agonist of the glucose-dependent insulinotropic polypeptide, glucagon-like peptide 1, and glucagon receptors. Its dose–response relationships with respect to side effe...www.nejm.org
Who should use Retatrutide?
Everyone. Everyone should use it. Even if you have already reached your goal body fat I would (and am currently) run Retatrutide year round to improve lipids and all your healthy blood markers and allow you to effortlessly maintain your current level of leanness.
Retatrutide dosage protocol
I would recommend starting at 1mg and titrating your way up as necessary. High dose Retatrutide can have it's benefits such as burning a few extra hundred calories through other mechanisms of lipolysis. If you want to use high dose Retatrutide, I would recommend between 5-10mg every week. I started with 5mg but will see how 10mg goes.
Sources
Sema
https://www.ncbi.nlm.nih.gov/pmc/articles/PMC8736331/#:~:text=Semaglutide
https://pubs.acs.org/doi/10.1021/acs.jmedchem.5b00726
Tirz
https://www.ncbi.nlm.nih.gov/pmc/articles/PMC7526454/#:~:text=For GLP-1R, tirzepatide was,nM (1.86, 3)
https://www.ncbi.nlm.nih.gov/pmc/articles/PMC6308032/#appsec2
https://www.ncbi.nlm.nih.gov/pmc/articles/PMC4020673/
Reta
https://www.sciencedirect.com/science/article/pii/S1550413122003126?via=ihub#sec1
https://www.nejm.org/doi/pdf/10.1056/NEJMoa2301972
https://dom-pubs.onlinelibrary.wiley.com/doi/full/10.1111/dom.15167
https://academic.oup.com/jcem/article/103/5/1804/4931669
DNP - Become a human furnace
This is a heavily fearmongered drug due to the fact that if you overdose, you are absolutely finished, nothing can be done, you are done for. Assuming you are not clinically retarded, this will not happen to you. I would actually say it is very safe if you have a good source that accurately doses the DNP, but there aren't many about.
How DNP works
DNP works by increasing metabolism through inhibiting the mitochondria from making adenosine triphosphate (ATP), which results in heat being produced instead of ATP. So put that simply in the most basic way possible, it prevents energy from being stored as fat burning it as heat instead.
DNP side effect profile
You will be sweating.
You will experience facial bloating on cycle that will resolve 1 week after your cycle ends.
You may experience a slight rash on cycle. Sometimes you'll get it, sometimes you won't. It is harmless. Use anti-histamine if you want.
Your thyroid will be tanked for 1-2 weeks after your cycle, so keep calories low for those 2 weeks to not regain fat is a good idea. (T3 replacement can also be run with the cycle).
Your apatite will go crazy, and you will mainly crave carbohydrates (solution below)
DNP effects on muscle mass
DNP is protein sparing. It only uses fats and carbs for energy. Your strength will decrease on cycle, that is because you are completely glycogen depleted and your cells are essential in overdrive. Once you carb up and DNP leaves your system you will regain your strength.
How much does DNP increase your TDEE?
DNP increases your TDEE, not your BMR. This means it acts as a multiplicator for any activity that you do. DNP powder will increase your TDEE by ~15% and crystal will increase your TDEE by ~11% for every 100mg consumed after the DNP has built up in your system which is after about 5-6 days unless you front load it, which I would not recommend due to the fact that dealers may miss dose the DNP and you could be consuming more than you think, which can be fatal if you are at high dosages.
DNP dosage protocol
Always start low and titrate DNP up for the reason I just mentioned. 200mg will give help you out, but 400mg mogs everything to oblivion. Do not exceed 600mg, ESPECIALLY after you have reached peak DNP concentration of a certain dose at around day 5. If you are looking for good steady weight loss 200mg is a perfect dosage that will give you all the benefits with minimal heat and side effects.
The best way to run DNP
DNP solo is great, it does what it says. The only problem is that DNP will ramp up your apatite to another level. You will feel orgasmic whilst eating an apple. This can lead to you uncountably eating. To combat this using a GLP-1 Agonist is ideal. The GLP-1 Agonist as discussed above will nuke your apatite and the DNP will ramp up your metabolism. I would recommend using either Semaglutide or Tirzepatide due to the fact they are just more potent apatite suppressors than Retatutide. We do not really care for the increased metabolic effects that Retatutude would give, since we have given that job to DNP, we just need the apatite to be gone.
Benefits of running DNP
At the end of the cycle, with DNP and GLP-1 Agonists you will be left disgustingly insulin sensitive since DNP sensitizes insulin
Obviously you will become dick skin shredded
DNP releases releases a tonne of PUFA
DNP is neurogenic
DNP is anti-catabolic
DNP removes visceral fat first
Some DNP studies show that is may have protective effects on mitochondria
My experience with DNP
I have ran 3 DNP cycles now. One was complete shambles I'll be real since DNP at 500mg ramped up my apatite so much that the whole kitchen got consumed within minutes. After that shit show, I paired DNP with Tirzepatide and it was a prefect cycle. My apatite was under control and DNP worked as it should. I lost 12lbs in 14 days (excluding any water weight). I have seen countless great fat loss experiences though the use of DNP here also. Pretty use Clavicular has lost 14lbs in 15 or so days, or something along those lines.
Clenbuterol and Sambutemol - Blow up your heart theory.
These are not drugs I would personally recommend, but despite the fact I am not a fan of the side effect profile and the fat burning capabilities aren't near the level of other compounds here, it is still a method to burn a few extra hundred calories, so I will go into it anyway.
How many calories will Clenbuterol burn
It will only burn roughly an extra 200 calories per day. Sure, those calories will add up in time. Over an entire month that's another 6000 calories burnt. So yes, it's some additional fat loss, but given the side effect profile, and that you haven't even lost a whole kilo of fat after a whole month, it's not worth it, especially when drugs like DNP which can close to double your normal TDEE, with a much more favourable side effect profile in my opinion (assuming you skip the death part).
How Clenbuterol works
For the most part, it really just makes you jittery and shaky as shit and will increase heart rate, which all will result is greater caloric expenditure throughout the day.
Clenbuterol side effect profile
Shaky hands/jittery
Anxiety
Feeling warmer
Increased heart rate
Muscle cramps
Apatite suppression
The main reason not to run clenbuterol is due to its effects on your heart. Clenbuterol is shown to cause cardiac hypertrophy (disease in which the heart muscle becomes thickened). This is reason enough not to touch this shit.
Clenbuterol dosage protocol
I'll start by saying that the "2 weeks on 2 weeks off" is a gymbro meme. It is a theory where people think that Clenbuterol has to be cycled off completely to allow beta2 receptors to upregulate and recover sensitivity. Clenbuterol still works after 2 weeks, it simply just is not as effective. After 2 to 3 week is about the time the dosage should be bumped by another 20mcg. By bumping it up in this gradual manor, the increased metabolic rate can be taken advantage of for the entire duration of the cutting phase, instead of having heightened fat bring potential for only 2 weeks, then taking 2 weeks off before you can reap those benefits again. So, when dosing Clenbuterol, use the pyramid scheme and increase the dosage every 2-3 weeks.
My experience with Clenbuterol
I ran it ages ago, shit decision. Don't make the same mistake. Yeah, it works, but I will not run again, it isn't worth the slight increase in fat loss. I could have achieved the same effect by walking for 30 minutes outside and not have any sides, so I can't see why anyone would run this compound. When on it I felt slightly warm, slightly harder to fall asleep, resting heart rate increased and my hands were a bit shaky.
BAM15 - DNP dethroned
This shit would be fucking insane. I do not have personal experience with this one, and I don't think anyone does here either. I've read about some users using it on Reddit.
BAM15 mechanism of action
It works in the same way that DNP does. It's a mitochondrial uncoupler. That means it disrupts the link between electron transport and ATP synthesis in mitochondria, as I explained with DNP above.
Benefits of BAM15
Fat loss - increasing metabolism
Reduced oxidative stress - Unlike other uncouplers, BAM-15 is thought to generate less oxidative stress, making it potentially safer.
Improved insulin sensitivity - By reducing the body’s reliance on ATP for energy production, BAM-15 may improve metabolic functions, including insulin sensitivity.
Why is it better/different than DNP?
As I said above, DNP is perfectly safe at regular dosages. This just happens to be safer since it reduces oxidative stress. The biggest benefit of BAM15 is it's selectivity.
BAM15 administration led to increased energy expenditure, improved insulin sensitivity, and reduced body fat without affecting food intake or lean mass. These effects were attributed to enhanced mitochondrial respiration and sustained activation of AMP-activated protein kinase.
![]()
BAM15-mediated mitochondrial uncoupling protects against obesity and improves glycemic control - PubMed
Obesity is a leading cause of preventable death worldwide. Despite this, current strategies for the treatment of obesity remain ineffective at achieving long-term weight control. This is due, in part, to difficulties in identifying tolerable and efficacious small molecules or biologics capable...pubmed.ncbi.nlm.nih.gov
Going beyond fat loss
BAM15 demonstrated protective effects in models of acute kidney injury and sepsis by reducing mitochondrial reactive oxygen species (ROS) production and mitigating kidney damage. It also decreased the release of mitochondrial DNA into circulation, a marker of tissue injury, and improved survival rates in septic mice .
![]()
BAM15 treats mouse sepsis and kidney injury, linking mortality, mitochondrial DNA, tubule damage, and neutrophils - PubMed
Sepsis pathogenesis is complex and heterogeneous; hence, a precision-medicine strategy is needed. Acute kidney injury (AKI) following sepsis portends higher mortality. Overproduction of mitochondrial ROS (mtROS) is a potential mediator of sepsis and sepsis-induced AKI. BAM15, a chemical...pubmed.ncbi.nlm.nih.gov
In vitro studies indicated that BAM15 inhibited proliferation and induced apoptosis in acute myeloid leukemia (AML) cells. The mechanism involved a disturbance in ROS production balance, and BAM15 enhanced the efficacy of the chemotherapeutic agent cytarabine in vivo.
![]()
The new mitochondrial uncoupler BAM15 induces ROS production for treatment of acute myeloid leukemia - PubMed
Acute myeloid leukemia (AML) is a malignant proliferative disease of myeloid hematopoietic origin and cannot be treated appropriately at present. This is due to the fact that leukemia cells are not sensitive to some of the traditional chemotherapy drugs. Or some chemotherapeutic drugs are too...pubmed.ncbi.nlm.nih.gov
BAM15 exhibited activity against Toxoplasma gondii by inhibiting mitochondrial oxidative phosphorylation in the parasite, leading to decreased ATP levels and increased ROS production. These effects were observed both in vitro and in vivo, suggesting BAM15's potential as an antiparasitic agent.
![]()
Effect of the mitochondrial uncoupling agent BAM15 against the Toxoplasma gondii RH strain and Prugniaud strain - PubMed
BAM15 had excellent anti-T. gondii activity in vitro and in vivo with an EC50 value of 1.25 μM, while the IC50 of BAM15 in Vero cells was 27.07 μM. Notably, BAM15 significantly inhibited proliferation activity of T. gondii RH strain and Prugniaud strain (PRU), caused T. gondii death...pubmed.ncbi.nlm.nih.gov
Unlike uncouplers like DNP, BAM15 does not depolarize the plasma membrane, thereby reducing off-target effects and cytotoxicity.
![]()
Identification of a novel mitochondrial uncoupler that does not depolarize the plasma membrane - PubMed
Dysregulation of oxidative phosphorylation is associated with increased mitochondrial reactive oxygen species production and some of the most prevalent human diseases including obesity, cancer, diabetes, neurodegeneration, and heart disease. Chemical 'mitochondrial uncouplers' are lipophilic...pubmed.ncbi.nlm.nih.gov
BAM15 side effect profile
There are actually minimal side effects being reported, with the worst side effect being simply more sweat during cardio. Side effects would be more apparent at high dosages. Some people have reported hiccups (JFL), as well as some slight heartburn at times.
BAM15 dosage protocol
From what I have read, users have dosed anywhere from 100mg a day to 300mg a day, split into sperate dosages.
Personal experience with BAM15
Nothing.
Protein Sparing Modified Fasting (PSFM)
What is PSMF?
PSMF is a diet that will allow you to lose weight quickly while preserving your lean tissue and muscle mass. It involves eating mostly protein-rich foods and minimizing the intake of carbohydrates and fat.
How PSMF works
The greater the deficit you create, the greater the weight loss. The quickest way to lose wight would be to eat nothing (well, maybe water fast on DNP but do not do that since you probably won't be able to move). The problem with just eating nothing is after around 24-36 hours your body will begin to break down muscle and lean tissue to convert this protein into glucose to fuel your brain, heart, and other vital organs. This is not good and not what we want. This breakdown of muscle and lean tissue can decrease your metabolic rate, or the number of calories your body burns at rest each day, making it difficult to sustain your rate of weight loss. Fortunately, animal and human studies have shown that supplementing a fast with protein can reduce or even eliminate the risk of muscle loss and metabolic slowdown.
During periods of extreme low calorie intake, your body creates glucose through a process in the liver called gluconeogenesis (GNG). In this process, protein is broken down into amino acids, which are then converted into glucose. To obtain the amino acids needed for GNG, your body must break down lean tissue and muscle. Research has shown, however, that eating protein increases the concentration of amino acids in your blood for up to 6-8 hours. Eating a protein-rich meal provides your body with a source of amino acids, preventing it from needing to cannibalize muscle tissue to fuel GNG. Continued protein intake throughout the day provides a dietary source of amino acids to fuel GNG, even at a significantly reduced calorie intake. This is the best of both worlds: rapid weight loss without sacrificing muscle tissue.
How to do PSMF
Your goal should be 1 gram of protein per lbs of lean bodyweight. So if you weigh 180lbs and have 15% body fat that would mean you have 153lbs of lean body mass. (180x0.85). This means you should be consuming 153grams of protein per day. Your goal should be to stay below 20g of fats and 20g of carbs per day. If you do the math (protein and carbs have 4 calories per g, and fats have 9 calories per gram) you will likely not be exceeding 1000 calories per day, which will put you in a massive deficit.
The problem with PSMF
This diet will be very hard for the average person to stick to. It will require immense willpower as you will feel immense hunger on such low calories. This will lead to you MAYBE sticking to the diet for a few days, but it is 99.99% inevitable you end up binging and eating in a major surplus, undoing all the work you have done till than point rather quickly.
The solution
This is where GLP-1 Agonists help. GLP-1 Agonists are ideal here as it will allow you to stick to such low calories with ease, allowing for rapid weight loss.
This is the protocol I would use if I needed to drop fat as quick as possible and only had access to GLP-1 Agonists. It's quick and requires no willpower.
Trenbolone - Godly recomp.
I would not hop on Tren just so you can recomp. That’s stupid as shit. If you are already roiding and have already done your first cycle, then this is an option, otherwise use one of the other options mentioned in this thread.
Why Tren is great for super recomp
Tren is extremely anti-catabolic. It is the most anti-catabolic steroid in existence. It has an extremely high AR potency. At the androgen receptor, Trenbolone is approximately 4.5x more potent than Testosterone.
Why is it so anti-catabolic?
It has this effect since there are multiple pathways that is decreases glucocorticoids.
Tyrosine aminotransferase plays a role in gluconeogenesis, the metabolic pathway that converts amino acids into glucose or energy. Tren has been shown to lower Tyrosine Aminotransferase levels in the liver, thereby slowing the degradation of tyrosine and reducing overall protein breakdown.
Tren amplifies the responsiveness of muscle satellite cells to IGF-1, increasing their proliferation even at standard hormone levels. This heightened sensitivity supports more efficient muscle growth and complements its anti-catabolic actions, also contributing to better insulin signaling.
How to run Tren for recomp
I wouldn’t run it long. Maybe a month to a month and a half. No more. You want to be in a very aggressive deficit during this time and make sure you stick to it every day to make the most of the cycle. You can achieve this through the use of GLP-1 Agonists. Due to the fact that Semaglutide and Tirzepatide provide the greatest apatite suppression I would recommend using one of those two. You are doing to be able to drop an incredible amount of fat whilst also putting on lean tissue.
Precautions
As you know, hair is life. If your are already on steroids and not using at very minimum a 5ARi inhibitor, ideally Dutasteride, your fucking clueless. Get on one ASAP. What’s also necessary when running highly androgenic substances is RU58841. I have a thread going through all of that here. Make sure you use it, especially when running such compounds, or you will greatly regret it, and will by flying to Turkey shortly.
Tren side effect profile
Obviously side effect are dose dependent. Everyone also reasons differently, some can use Tren without issues, and some claim they became gay.
I will leave this part empty, so you do your own research on the compound to decide is the risk to reward ratio is worth it.
Cardarine (GW501516) - You mean cancerine?
What is Cancerine?
Cardarine is a PPAR-delta receptor agonist. It activates the PPAR-delta pathway which increases the body’s ability to burn fat and increase indurance.
How Cancerine aids in fat loss
Cardarine is an endurance enhancer rather than a fat burner. If you are not doing cardio, then this drug would provide absolutely zero benefits to you. It shits you to a fat metabolism, and when you exercise you will have greater endurance to be able to do more in less time, and for longer. Obviously this will result in more calories burnt via cardio to aid in your calorie deficit.
Cancerine side effect profile
Cancer first and for most (reason enough not to touch that shit)
Spike your apatite to another level (obviously not what you want when getting lean)
Make you thirsty
Headaches
And surprisingly makes people feel lethargic despite its increased endurance effects
My experience with Cancerine
I wasn’t stupid to try this shit. So I cannot comment. I also very much dislike cardio that’s not in the form of sports, so this drug would provide no purpose for me. Even if you were grinding out cardio, I would not recommend this due to the increased cancer risk.
Triiodothyronine (T3)
What is T3?
T3 is thyroid hormone produced primarily by the thyroid gland and is also converted from T4 in tissue through the body. It regulates multiple things such as your metabolism, body temperature, heart rate etc.
How much will T3 increase TDEE?
I can’t say. It depends on what your TDEE and thyroid function was like in the first place as well as how sensitive you are to the T3 (there's generally not an astronomical amount of difference in sensitivity between users, but certainly enough to make a difference).
T3 dosage protocol
I have seen good results of people running 12.5-37.5mcg every day. I personally would not recommend going below 25mcg, and I would not go above 50mcg.
T3 side effect profile
Nuked TSH levels, you would basically be hyperthyroid if overdosed
Increased heat
Anxiety
Headaches
Cramps
Trouble falling asleep
Increased hunger
Increased heart rate
My experience with T3
When I ran t3 solo, the only side effects I experienced was increased heart rate, and if the dosage was too high, mild anxiety. The fat loss was OK, but t3 only really becomes useful when combined with DNP which down regulates your thyroid, so using a replacement dose of t3 then would be the only real valid time to use.
Typically if people stall their weight loss on DNP, and they weren’t supplementing replacement dosage of t3, adding it in will allow them to continue to drop.
Water Fasting
What is water fasting?
Unless you are clinically retarded, you likely do not need an explanation for what water fasting is. Essentially it is not eating anything at all apart from water. That's it. The only thing that is allowed to be consumed on top of water is electrolytes (potassium chloride and salt).
Could water fasting mog DNP?
You are burning your entire resting metabolic rate each day plus any cardio on top. Matching this with DNP requires moderate or upper dosage levels with hellish side effects.
It's easier to fast than it is to resist DNP carb cravings and the ghrelin spikes (however this is not the case with GLP-1 Agonist + DNP)
It's actually easier for most people to not eat at all than it is eat at a deficit because hunger hormones will still be active but they are less active on fasts.
Its free where as DNP is not
You could be more functional running on ketones than you are dealing with DNP heat and lethargy
Fasting is excellent for your gut, liver, kidneys, and wipes out insulin & leptin resistance
Water fasting for more than 3 days
If you water fast for more than 3 days without a refeed, it is recommended to use electrolyte water. It's just water with salt and potassium chloride. You want to get the ratio of sodium to potassium chloride right as low sodium relative to potassium causes drop in blood pressure, dizziness and racing heart. Lack of potassium causes cramps and high bp.
Muscle preservation
I would not use this method if you have a good amount of muscle mass built up, I would only use it conservatively, like once a month. If you have muscle to preserve, opt for another option like PSMF.
How I would utilise water fasting
I would not personally use water fasting to get myself shredded, but there are definite benefits from water fasting like autophagy as well as fat loss. I would recommend using fasting once a month for 3 days or so to be able to drop a full kg whilst retaining 99,99% of your muscle mass, as well as improving your gut and giving your body a rest from digestion.
ECA stack
What is an ECA stack?
ECA stack contains Ephedrine (banned or restricted in many countries, for over-the-counter sale due to health concerns), Caffeine and Aspirin. I will break down what each compound in this stack does.
Breakdown of what each compound in the stack does
Ephedrine has potent thermogenic and fat-burning properties. Research has demonstrated that ephedrine effectively increases metabolic rate, promotes fat oxidation, and, when combined with caffeine and aspirin, enhances these effects further. Ephedrine functions as a beta-adrenergic agonist, stimulating beta receptors on fat cells. This activation increases the release of norepinephrine, a neurotransmitter that signals fat cells to release stored fat into the bloodstream for energy utilization (AKA lipolysis).
Caffeine is used because when Ephedrine is combined with caffeine, ephedrine's thermogenic effects are amplified. Caffeine inhibits the enzyme phosphodiesterase, which breaks down cyclic AMP (cAMP). Elevated cAMP levels prolong the action of norepinephrine, enhancing fat breakdown and energy expenditure.
Aspirin does not directly cause fat loss, but studies show when it is combined with Ephedrine aspirin significantly increased post-meal metabolic rate in obese women, compared to ephedrine alone.
![]()
Aspirin potentiates the effect of ephedrine on the thermogenic response to a meal in obese but not lean women - PubMed
The effect of ephedrine (30 mg) and aspirin (300 mg) on the acute thermogenic response to a liquid meal (250 kcal) was investigated in lean and obese women (n = 10 each group). Resting metabolic rate (RMR) was measured prior to each of the following treatments: meal only (M), meal plus ephedrine...pubmed.ncbi.nlm.nih.gov
How many calories will ECA stack burn
You will get an extra 100-200 calories burnt per day using an ECA stack. IMO for the same calories burnt, I would much rather use this than something like Clenbuterol.
![]()
Aspirin potentiates the effect of ephedrine on the thermogenic response to a meal in obese but not lean women - PubMed
The effect of ephedrine (30 mg) and aspirin (300 mg) on the acute thermogenic response to a liquid meal (250 kcal) was investigated in lean and obese women (n = 10 each group). Resting metabolic rate (RMR) was measured prior to each of the following treatments: meal only (M), meal plus ephedrine...pubmed.ncbi.nlm.nih.gov
![]()
The effect of ephedrine/caffeine mixture on energy expenditure and body composition in obese women - PubMed
Treatment with beta 2-agonists promotes fat loss and muscle growth in numerous species, but human studies are lacking. We studied the effect of a compound with beta 2-agonistic properties (ephedrine 20 mg/caffeine 200 mg [E + C]). Fourteen obese women were treated with a 4.2-MJ/d diet and either...pubmed.ncbi.nlm.nih.gov
ECA side effect profile
Increased heart rate
Increased blood pressure
Anxiety
Jitteriness
Insomnia
The normie method
How to determine your maintenance calories
Just find you maintenance calories by eating and tracking everything for a week, and weighing yourself every day. At the end of the week, see how much weight you gained/lost. Then add up your calories for the week and divide by 7 to find how many calories you ate on average per day. Multiply how much weight you gained/lost in that week by either 3500 if you are working in lbs or 7700 if you are working in KG. This will show you how many calories over or under you maintenance you ate over the week. You have now determined your maintenance calories.
500 deficit bro
Simply subtract 500 calories from whatever number you have calculated using the method above. You can use caffeine and nicotine to help supress your apatite to help you stick to the diet. This is the slowest method but it is side effect free.
Tags: @Jonas2k7 @Clavicular @MyDreamIsToBe183CM @Bitterschön
Thanks!There should be a way to download threads as an pdf or something
incase this forum gets down in the future with all this insane good information
Good thread nga![]()
Master crashes the server every day at the same time lol. Almost lost half the thread tbh when I was writing it.incase this forum gets down in the future with all this insane good information
Ah ok. I assumed that it would result in 0 additional energy expenditure. Thank you.Yes you are right, but it won't end up balancing. You will still burn more doing cardio than not, but it is just not as much as you think or the machines tell you.
View attachment 3707505
People assume its cumulative like the left graph where you can just add the calories burnt from cardio onto of your original maintenance. That is not the case. It's like the left graph where your body will compensate for the increase in exercise, but the net burnt will still be higher.
Imagine normies doing 45mins cardio just to burn 0 more calories than if they sat watching TV lol.Ah ok. I assumed that it would result in 0 additional energy expenditure. Thank you.
What I read said that the body would absolutely burn more calories prior to adaptation, but after that, it would even out. Still pretty lowiq when I think about it lol.Imagine normies doing 45mins cardio just to burn 0 more calories than if they sat watching TV lol.
Good threadsome can use Tren without issues, and some claim they became gay.
I maintain it perfectly fine. I agree that getting there is the hard part. I just went though some shit for a few months that caused me weight gain and had to re leanmax. That’s the only reason.Good thread
By the way, with all the experience you have getting lean, how have you not been able to maintain the low body fat percentage?
I have always found it way easier than getting there, so seems like you are torturing yourself (and your wallet) again and again.
Only reason I get out is to gain more muscle, but if you are that determined to being shredded you can def find other ways for this... (roids)
Yes fat distribution is genetic. Hormones also play a role in fat distribution though. But unless your 10% (meaning abs and veins running up abs) then you can’t blame fat distribution just yet.Sir what about facial lypoltiics, some people just store more fat and would never have hollow cheeks due to high facial bodyfat. Need some guides dropped frfr
Could do an aggressive mini cutWill take 35 centuries to get lean. Works tho.

skimmed thru for now, will read fully when im on a cut, but mirin effort & infoView attachment 3707010
The Ultimate Fat Loss Guide - Everything From BAM15 To "Just Don't Eat Bro" - The Truth About Leanmaxxing
Part 3
Introduction
We all know leanmaxxing is the #1 looksmax. It is the only looksmax that can give a surgery tier ascension. I'm shocked when I receive a PM from someone who has been here for years and has not even completed step one. They look like they've been bulking for the past 2 years instead. It obviously isn't as east as "just put the fork down bro" for most people, otherwise you would all be dick skin shredded with veins running up your abdomen. So, we will look at all the methods here to actually achieve a shredded body, which is the foundation of all looksmax endeavours.
How much difference does fat loss really make?
A fucking tonne. Everyone greatly underestimate how much difference a few KGs of fat can make to your facial appearance. Many get demotivated quickly. Many of you are 20%+ bodyfat (although you think your 15%). The weight drop until about 15-18% really will not effect your facial aesthetics in any drastic way. For example, say you are 25% body fat. Dropping from that 25% to 18% will make a negligible difference.
"I've lost 8kg but it made almost no difference, leanmax is cope". Well yes, you've only now entered the territory of being lean(ish). You were fat, now you are less fat, but still relatively fat. Thankfully, although it may be demotivating to get to 15-18% with almost no ascension, from here on out, you will start to see changes, the more you edge closer to 15%, then 14% etc, all the way down to 10%.
Real life examples
This is the guy that appears on google when you search "hollow cheeks", I think.
Exhibit A:
A few KGs later:
Exhibit B
Boneless looking white guy no one would look twice at:
Literally 5-7kg later:
My point here is that, no you aren't necessarily going to ascend to Chad from MTN though leanmaxing, but the very vast majority of you will ascend to a large degree. There are countless more insane leanmax transformation, I just don't want to flood the whole thread with them. Not to mention, in the before pics, they are not fat by any stretch of the imagination, they just aren't shredded.
There are a very small minority that no matter what you do your face will remain a bloated mess. This means your boneless. Unless you are 10%, don't think it's over like this guy.
Not a single bone visible in his face. Not one.
View attachment 3706410
What compounds and methods exist to get shredded?
This thread contains all the information you could need about the following methods of leanmaxing:
GLP-1 Agonists - The foundation of everything.
DNP - Become a human furnace.
Clenbuterol and Salbutamol - Blow up your heart theory.
BAM15 - DNP dethroned
Protein Sparing Modified Fasting (PSMF)
Trenbolone - Godly recomp
Cardarine - You mean cancerine?
Triiodothyronine (T3)
Water Fasting
500 calorie deficit bro
I will outline every method you can use to get shredded as fuck that goes beyond the normie advice of "500 calorie deficit bro" or "just move more g". I will go through everything, if its not here it doesn't exist. I do not necessarily recommend some of these methods, I will outline which I do or do not recommend. I will go through everything from pharmaceuticals to natural methods. Some of these categories will overlap since they can be used in conjunction with each other.
GLP-1 Agonists - The foundation of everything
When talking about fat loss, we are looking at calories in vs calories out. It is that simple. If anyone tells you otherwise they are clinically retarded and should immediately be put on ignore . GLP-1 Agonists for the most part (I will explain), focus on the calories in portion of weight loss.
So, the 3 main GLP-1 Agonists are Semaglutide. Tirzepatid, and Retatrutide. There's also Bioglutide, but reseach and development is still being done.
I will go onto the following topics about each GLP-1 Agonist:
Semaglutide
What is it?
To put it as simply as possible, it's just an apatite suppressant. It is a GLP-1 receptor agonist medication used to treat type 2 diabetes and obesity. It works by mimicking the natural hormone GLP-1. Semaglutide is a single agonist. It only effects GLP-1R (GLP-1 receptors). It has the highest affinity for its target site. Semaglutide is about 94% identical to human produced GLP-1. GLP-1 has multiple effects. To mention a few it decreased hunger and food noise, delayed gastric emptying, increased satiety, decreased glucagon secretion, increased pancreatic beta cell function.
Effects on muscle mass
Out of the 3 main GLP-1 Agonists, Semaglutide has the worst muscle wastage to fat loss ratio compared to the other agonists. This is because it doesn't have the other methods of action that will help to relieve side effects and improve nutrient partitioning (amongst other things) to preserve lean mass. The muscle mass loss can be mitigated to a large degree by making sure you continue to have a high protein diet (which may be hard if you want to puke every time you eat), and continue weight training. The drug itself is not muscle wasting like some people seem to believe. The muscle loss is a direct cause of the aggressive deficit.
The side effects of Semaglutide
The most common would be Nausea which is experienced by around 43.9% of users on this highest dosage of Semaglutide (2.4mg). Vomiting, Diarrhoea, Abdominal pain and constipation are amongst the most common side effects. You may feel sick every time you think about eating, which is a large reason why it works, but obviously this is not ideal. Semaglutide has the harshest side effects out of the 3. If you are a jester you can read this seemingly never ending list of side effects you 100% are not going to get, but I respect normies for the fearmongering:
![]()
Semaglutide (subcutaneous route) - Side effects & dosage
www.mayoclinic.org
Misconceptions
You may see the words "Ozempic face" or "Ozempic butt" or "Ozempic anything" thrown about by the media, people on Reddit and forum retards like @JohnDoe . It is pure fearmongering and there is absolutely nothing that makes Semaglutide (Ozempic) or any other GLP-1 agonist prematurely age your face. The drug simply helps you lose weight. You will end up looking the exactly the same weather you drop the weight via willpower or GLP-1 agonists. This applies for the 3 GLP-1 agonists that I will be talking about, so I won't bother repeating this.
Who should use Semaglutide?
If your sole goal is just straight up weight loss, Semaglutide is the way you should go since it is the strongest at stimulating GLP-1. You are guaranteed to lose wight if the thought of eating makes you want to puke.
Semaglutide dosage protocol
View attachment 3706212
My experience with Semaglutide
I full sent 1mg off the rip I'll be real because normies are jesters. The only side effects I experienced was literally not wanting to eat at all. I could not get 3 eggs down me and had to force feed myself my protein intake throughout the day. Basically it fucking works if your goal is to crush your apatite at all costs and drop weight at all costs. Going from someone who can eat an entire cow in one sitting to not being able to eat a fucking egg was pretty extraordinary to be honest.
Tirzepatide
What is it?
Tirzepatide isn’t actually GLP-1. It’s actually a 39 amino acid modified GIP molecule that has GLP-1 activity added to the molecule. That is why we call it a dual agonist. It’s having an effect on two incretin receptors. That means Tirzepatide is binding to the native GIP-R (GIP receptor) with essentially equal affinity as our body’s own GIP molecule. However, the GLP-1 binding is about 5 times weaker than what our body creates. It is an imbalanced dual agonist with preferential activity at GIP over GLP-1. This means that mg for mg, compared to Semaglutide, it will reduce apatite to a much greater degree than Tirzepatide since the drug is a full agonist of GIP-R, and only a partial agonist of GLP-1R. That partial agonist effect means you’re not fully saturating the receptor site, which means you don’t get the full effect.
The benefits of being a GIP Agonist
There are multiple benefits to GIP (glucose-dependent insulinotropic polypeptide) Agonism that Semaglutide don't produce. GIP is another hormone involved in glucose metabolism. It has an anti-emetic/anti-nausea effect which explain why some people experience less side effects. Like GLP-1, it promotes insulin secretion in response to high blood glucose levels. However, GIP has also been shown to have effects on fat metabolism and energy balance. It also has other effects, it is neuroprotective, increases bone formation, decreases stomach acid secretion, increases insulin release.
Effects on muscle mass and bodyweight
In a study comparing the weight loss effects of Semaglutide and Tirzepatide, it was found that a larger proportion of patients on Tirzepatide achieved significant weight loss.
In terms of lean mass preservation Tirzepatide does seem to preserve more than Semaglutide users.Within one year of treatment, 81.8% of Tirzepatide patients lost at least 5% of their body weight, compared to 64.6% for Semaglutide. On top of this, 62.1% of tirzepatide patients lost 10% or more of their body weight, and 42.3% lost 15% or more, significantly higher than the 38.0% and 19.3%, respectively, for semaglutide.
The side effect of Tirzepatide
The side effect profile is very much the same as Semaglutide. The side effects are typically less severe than Semaglutide allowing it to be a much more sustainable to run long term. The main side effects still are Nausea, Vomiting, Diarrhoea, Abdominal pain and constipation.
Who should run Tirzepatide?
Well, in my opinion no one, due to the existence of Retatutide (which I will explain next) which makes Tirzepatide redundant. There is a reason I do not say that Semaglutide is redundant which I will get into later on in this thread, since it can be utilised well in specific scenarios. The only reason one could consider retatrutide is due to cost issues and it being less costly than Retatrutide. But with proper sourcing you can a year supply of the superior drug for very cheap. If your are going to a run a GLP-1 year round and you cannot get your hands on retatrutide for whatever reason, Tirzepatide is your best bet.
Tirzepatide dosage protocol
View attachment 3706277
My experience with Tirzepatide
Great apatite suppression, to me on par with Semaglutide, with less side effects and not feeling nausea at the sight of food as much. As I said, it's a much more sustainable compound to run.
Retatrutide
What is it?
Retatrutide's a triple agonist, acting on GLP-1R, GIP-R and glucagon receptors (GCGR). Structurally, it is nearly identical to Tirzepatide. It is also a 39 amino acid modified GIP molecule but with changes to the amino acid structure to allow for activity at the GCGR site as well. It is also an imbalanced agonist. It is 8.9 fold more potent at GIP-R than human GIP. So this drug is way more potent than Tirzepatide at GIP-R agonism which means it further enhances any of the GIP-R effects and the GLP-1 effects in a synergistic manner.
The benefits of being a Glucagon Agonist
Glucagon increases heart rate and cardiac output/contractility, and lowers pulmonary vascular resistance. Glucagon has a multitude of effects on the liver and brown and white adipose tissue(AKA fat). In the liver it increases liver cell survival, increases lipolysis which creates free fatty acids which our body then turns into ketones for energy. In fat cells it increases thermogenesis and lipolysis which further drives that free fatty acids to ketone bodies cycle. It’s literally forcing your body to burn excess fat. This probably results in ~200 calories burnt doing nothing
Effects on muscle mass and bodyweight
Retatrutide is king out of the 3 GLP-1 Agonists when it comes to preserving lean body mass. When compared to potent GLP-1 RAs, such as tirzepatide and Semaglutide, they are associated with a significant reduction in lean mass in comparison to Retatrutide.
The side effects of Retatrutide
For the most part, the side effect profile is again the same as the other two. Nausea, Vomiting, Diarrhoea, Abdominal pain and constipation, again are the main ones. I will note in phase II clinical trials Subcutaneous hyperesthesia and skin sensitivity adverse events were reported in 7% of the participants who received Retatrutide. None of these events were severe or serious or were associated with overt skin findings, and none led to discontinuation of Retatrutide or placebo
![]()
Triple–Hormone-Receptor Agonist Retatrutide for Obesity — A Phase 2 Trial | NEJM
Retatrutide (LY3437943) is an agonist of the glucose-dependent insulinotropic polypeptide, glucagon-like peptide 1, and glucagon receptors. Its dose–response relationships with respect to side effe...www.nejm.org
Who should use Retatrutide?
Everyone. Everyone should use it. Even if you have already reached your goal body fat I would (and am currently) run Retatrutide year round to improve lipids and all your healthy blood markers and allow you to effortlessly maintain your current level of leanness.
Retatrutide dosage protocol
I would recommend starting at 1mg and titrating your way up as necessary. High dose Retatrutide can have it's benefits such as burning a few extra hundred calories through other mechanisms of lipolysis. If you want to use high dose Retatrutide, I would recommend between 5-10mg every week. I started with 5mg but will see how 10mg goes.
Sources
Sema
https://www.ncbi.nlm.nih.gov/pmc/articles/PMC8736331/#:~:text=Semaglutide
https://pubs.acs.org/doi/10.1021/acs.jmedchem.5b00726
Tirz
https://www.ncbi.nlm.nih.gov/pmc/articles/PMC7526454/#:~:text=For GLP-1R, tirzepatide was,nM (1.86, 3)
https://www.ncbi.nlm.nih.gov/pmc/articles/PMC6308032/#appsec2
https://www.ncbi.nlm.nih.gov/pmc/articles/PMC4020673/
Reta
https://www.sciencedirect.com/science/article/pii/S1550413122003126?via=ihub#sec1
https://www.nejm.org/doi/pdf/10.1056/NEJMoa2301972
https://dom-pubs.onlinelibrary.wiley.com/doi/full/10.1111/dom.15167
https://academic.oup.com/jcem/article/103/5/1804/4931669
DNP - Become a human furnace
This is a heavily fearmongered drug due to the fact that if you overdose, you are absolutely finished, nothing can be done, you are done for. Assuming you are not clinically retarded, this will not happen to you. I would actually say it is very safe if you have a good source that accurately doses the DNP, but there aren't many about.
How DNP works
DNP works by increasing metabolism through inhibiting the mitochondria from making adenosine triphosphate (ATP), which results in heat being produced instead of ATP. So put that simply in the most basic way possible, it prevents energy from being stored as fat burning it as heat instead.
DNP side effect profile
You will be sweating.
You will experience facial bloating on cycle that will resolve 1 week after your cycle ends.
You may experience a slight rash on cycle. Sometimes you'll get it, sometimes you won't. It is harmless. Use anti-histamine if you want.
Your thyroid will be tanked for 1-2 weeks after your cycle, so keep calories low for those 2 weeks to not regain fat is a good idea. (T3 replacement can also be run with the cycle).
Your apatite will go crazy, and you will mainly crave carbohydrates (solution below)
DNP effects on muscle mass
DNP is protein sparing. It only uses fats and carbs for energy. Your strength will decrease on cycle, that is because you are completely glycogen depleted and your cells are essential in overdrive. Once you carb up and DNP leaves your system you will regain your strength.
How much does DNP increase your TDEE?
DNP increases your TDEE, not your BMR. This means it acts as a multiplicator for any activity that you do. DNP powder will increase your TDEE by ~15% and crystal will increase your TDEE by ~11% for every 100mg consumed after the DNP has built up in your system which is after about 5-6 days unless you front load it, which I would not recommend due to the fact that dealers may miss dose the DNP and you could be consuming more than you think, which can be fatal if you are at high dosages.
DNP dosage protocol
Always start low and titrate DNP up for the reason I just mentioned. 200mg will give help you out, but 400mg mogs everything to oblivion. Do not exceed 600mg, ESPECIALLY after you have reached peak DNP concentration of a certain dose at around day 5. If you are looking for good steady weight loss 200mg is a perfect dosage that will give you all the benefits with minimal heat and side effects.
The best way to run DNP
DNP solo is great, it does what it says. The only problem is that DNP will ramp up your apatite to another level. You will feel orgasmic whilst eating an apple. This can lead to you uncountably eating. To combat this using a GLP-1 Agonist is ideal. The GLP-1 Agonist as discussed above will nuke your apatite and the DNP will ramp up your metabolism. I would recommend using either Semaglutide or Tirzepatide due to the fact they are just more potent apatite suppressors than Retatutide. We do not really care for the increased metabolic effects that Retatutude would give, since we have given that job to DNP, we just need the apatite to be gone.
Benefits of running DNP
At the end of the cycle, with DNP and GLP-1 Agonists you will be left disgustingly insulin sensitive since DNP sensitizes insulin
Obviously you will become dick skin shredded
DNP releases releases a tonne of PUFA
DNP is neurogenic
DNP is anti-catabolic
DNP removes visceral fat first
Some DNP studies show that is may have protective effects on mitochondria
My experience with DNP
I have ran 3 DNP cycles now. One was complete shambles I'll be real since DNP at 500mg ramped up my apatite so much that the whole kitchen got consumed within minutes. After that shit show, I paired DNP with Tirzepatide and it was a prefect cycle. My apatite was under control and DNP worked as it should. I lost 12lbs in 14 days (excluding any water weight). I have seen countless great fat loss experiences though the use of DNP here also. Pretty use Clavicular has lost 14lbs in 15 or so days, or something along those lines.
Clenbuterol and Sambutemol - Blow up your heart theory.
These are not drugs I would personally recommend, but despite the fact I am not a fan of the side effect profile and the fat burning capabilities aren't near the level of other compounds here, it is still a method to burn a few extra hundred calories, so I will go into it anyway.
How many calories will Clenbuterol burn
It will only burn roughly an extra 200 calories per day. Sure, those calories will add up in time. Over an entire month that's another 6000 calories burnt. So yes, it's some additional fat loss, but given the side effect profile, and that you haven't even lost a whole kilo of fat after a whole month, it's not worth it, especially when drugs like DNP which can close to double your normal TDEE, with a much more favourable side effect profile in my opinion (assuming you skip the death part).
How Clenbuterol works
For the most part, it really just makes you jittery and shaky as shit and will increase heart rate, which all will result is greater caloric expenditure throughout the day.
Clenbuterol side effect profile
Shaky hands/jittery
Anxiety
Feeling warmer
Increased heart rate
Muscle cramps
Apatite suppression
The main reason not to run clenbuterol is due to its effects on your heart. Clenbuterol is shown to cause cardiac hypertrophy (disease in which the heart muscle becomes thickened). This is reason enough not to touch this shit.
Clenbuterol dosage protocol
I'll start by saying that the "2 weeks on 2 weeks off" is a gymbro meme. It is a theory where people think that Clenbuterol has to be cycled off completely to allow beta2 receptors to upregulate and recover sensitivity. Clenbuterol still works after 2 weeks, it simply just is not as effective. After 2 to 3 week is about the time the dosage should be bumped by another 20mcg. By bumping it up in this gradual manor, the increased metabolic rate can be taken advantage of for the entire duration of the cutting phase, instead of having heightened fat bring potential for only 2 weeks, then taking 2 weeks off before you can reap those benefits again. So, when dosing Clenbuterol, use the pyramid scheme and increase the dosage every 2-3 weeks.
My experience with Clenbuterol
I ran it ages ago, shit decision. Don't make the same mistake. Yeah, it works, but I will not run again, it isn't worth the slight increase in fat loss. I could have achieved the same effect by walking for 30 minutes outside and not have any sides, so I can't see why anyone would run this compound. When on it I felt slightly warm, slightly harder to fall asleep, resting heart rate increased and my hands were a bit shaky.
BAM15 - DNP dethroned
This shit would be fucking insane. I do not have personal experience with this one, and I don't think anyone does here either. I've read about some users using it on Reddit.
BAM15 mechanism of action
It works in the same way that DNP does. It's a mitochondrial uncoupler. That means it disrupts the link between electron transport and ATP synthesis in mitochondria, as I explained with DNP above.
Benefits of BAM15
Fat loss - increasing metabolism
Reduced oxidative stress - Unlike other uncouplers, BAM-15 is thought to generate less oxidative stress, making it potentially safer.
Improved insulin sensitivity - By reducing the body’s reliance on ATP for energy production, BAM-15 may improve metabolic functions, including insulin sensitivity.
Why is it better/different than DNP?
As I said above, DNP is perfectly safe at regular dosages. This just happens to be safer since it reduces oxidative stress. The biggest benefit of BAM15 is it's selectivity.
BAM15 administration led to increased energy expenditure, improved insulin sensitivity, and reduced body fat without affecting food intake or lean mass. These effects were attributed to enhanced mitochondrial respiration and sustained activation of AMP-activated protein kinase.
![]()
BAM15-mediated mitochondrial uncoupling protects against obesity and improves glycemic control - PubMed
Obesity is a leading cause of preventable death worldwide. Despite this, current strategies for the treatment of obesity remain ineffective at achieving long-term weight control. This is due, in part, to difficulties in identifying tolerable and efficacious small molecules or biologics capable...pubmed.ncbi.nlm.nih.gov
Going beyond fat loss
BAM15 demonstrated protective effects in models of acute kidney injury and sepsis by reducing mitochondrial reactive oxygen species (ROS) production and mitigating kidney damage. It also decreased the release of mitochondrial DNA into circulation, a marker of tissue injury, and improved survival rates in septic mice .
![]()
BAM15 treats mouse sepsis and kidney injury, linking mortality, mitochondrial DNA, tubule damage, and neutrophils - PubMed
Sepsis pathogenesis is complex and heterogeneous; hence, a precision-medicine strategy is needed. Acute kidney injury (AKI) following sepsis portends higher mortality. Overproduction of mitochondrial ROS (mtROS) is a potential mediator of sepsis and sepsis-induced AKI. BAM15, a chemical...pubmed.ncbi.nlm.nih.gov
In vitro studies indicated that BAM15 inhibited proliferation and induced apoptosis in acute myeloid leukemia (AML) cells. The mechanism involved a disturbance in ROS production balance, and BAM15 enhanced the efficacy of the chemotherapeutic agent cytarabine in vivo.
![]()
The new mitochondrial uncoupler BAM15 induces ROS production for treatment of acute myeloid leukemia - PubMed
Acute myeloid leukemia (AML) is a malignant proliferative disease of myeloid hematopoietic origin and cannot be treated appropriately at present. This is due to the fact that leukemia cells are not sensitive to some of the traditional chemotherapy drugs. Or some chemotherapeutic drugs are too...pubmed.ncbi.nlm.nih.gov
BAM15 exhibited activity against Toxoplasma gondii by inhibiting mitochondrial oxidative phosphorylation in the parasite, leading to decreased ATP levels and increased ROS production. These effects were observed both in vitro and in vivo, suggesting BAM15's potential as an antiparasitic agent.
![]()
Effect of the mitochondrial uncoupling agent BAM15 against the Toxoplasma gondii RH strain and Prugniaud strain - PubMed
BAM15 had excellent anti-T. gondii activity in vitro and in vivo with an EC50 value of 1.25 μM, while the IC50 of BAM15 in Vero cells was 27.07 μM. Notably, BAM15 significantly inhibited proliferation activity of T. gondii RH strain and Prugniaud strain (PRU), caused T. gondii death...pubmed.ncbi.nlm.nih.gov
Unlike uncouplers like DNP, BAM15 does not depolarize the plasma membrane, thereby reducing off-target effects and cytotoxicity.
![]()
Identification of a novel mitochondrial uncoupler that does not depolarize the plasma membrane - PubMed
Dysregulation of oxidative phosphorylation is associated with increased mitochondrial reactive oxygen species production and some of the most prevalent human diseases including obesity, cancer, diabetes, neurodegeneration, and heart disease. Chemical 'mitochondrial uncouplers' are lipophilic...pubmed.ncbi.nlm.nih.gov
BAM15 side effect profile
There are actually minimal side effects being reported, with the worst side effect being simply more sweat during cardio. Side effects would be more apparent at high dosages. Some people have reported hiccups (JFL), as well as some slight heartburn at times.
BAM15 dosage protocol
From what I have read, users have dosed anywhere from 100mg a day to 300mg a day, split into sperate dosages.
Personal experience with BAM15
Nothing.
Protein Sparing Modified Fasting (PSFM)
What is PSMF?
PSMF is a diet that will allow you to lose weight quickly while preserving your lean tissue and muscle mass. It involves eating mostly protein-rich foods and minimizing the intake of carbohydrates and fat.
How PSMF works
The greater the deficit you create, the greater the weight loss. The quickest way to lose wight would be to eat nothing (well, maybe water fast on DNP but do not do that since you probably won't be able to move). The problem with just eating nothing is after around 24-36 hours your body will begin to break down muscle and lean tissue to convert this protein into glucose to fuel your brain, heart, and other vital organs. This is not good and not what we want. This breakdown of muscle and lean tissue can decrease your metabolic rate, or the number of calories your body burns at rest each day, making it difficult to sustain your rate of weight loss. Fortunately, animal and human studies have shown that supplementing a fast with protein can reduce or even eliminate the risk of muscle loss and metabolic slowdown.
During periods of extreme low calorie intake, your body creates glucose through a process in the liver called gluconeogenesis (GNG). In this process, protein is broken down into amino acids, which are then converted into glucose. To obtain the amino acids needed for GNG, your body must break down lean tissue and muscle. Research has shown, however, that eating protein increases the concentration of amino acids in your blood for up to 6-8 hours. Eating a protein-rich meal provides your body with a source of amino acids, preventing it from needing to cannibalize muscle tissue to fuel GNG. Continued protein intake throughout the day provides a dietary source of amino acids to fuel GNG, even at a significantly reduced calorie intake. This is the best of both worlds: rapid weight loss without sacrificing muscle tissue.
How to do PSMF
Your goal should be 1 gram of protein per lbs of lean bodyweight. So if you weigh 180lbs and have 15% body fat that would mean you have 153lbs of lean body mass. (180x0.85). This means you should be consuming 153grams of protein per day. Your goal should be to stay below 20g of fats and 20g of carbs per day. If you do the math (protein and carbs have 4 calories per g, and fats have 9 calories per gram) you will likely not be exceeding 1000 calories per day, which will put you in a massive deficit.
The problem with PSMF
This diet will be very hard for the average person to stick to. It will require immense willpower as you will feel immense hunger on such low calories. This will lead to you MAYBE sticking to the diet for a few days, but it is 99.99% inevitable you end up binging and eating in a major surplus, undoing all the work you have done till than point rather quickly.
The solution
This is where GLP-1 Agonists help. GLP-1 Agonists are ideal here as it will allow you to stick to such low calories with ease, allowing for rapid weight loss.
This is the protocol I would use if I needed to drop fat as quick as possible and only had access to GLP-1 Agonists. It's quick and requires no willpower.
Trenbolone - Godly recomp.
I would not hop on Tren just so you can recomp. That’s stupid as shit. If you are already roiding and have already done your first cycle, then this is an option, otherwise use one of the other options mentioned in this thread.
Why Tren is great for super recomp
Tren is extremely anti-catabolic. It is the most anti-catabolic steroid in existence. It has an extremely high AR potency. At the androgen receptor, Trenbolone is approximately 4.5x more potent than Testosterone.
Why is it so anti-catabolic?
It has this effect since there are multiple pathways that is decreases glucocorticoids.
Tyrosine aminotransferase plays a role in gluconeogenesis, the metabolic pathway that converts amino acids into glucose or energy. Tren has been shown to lower Tyrosine Aminotransferase levels in the liver, thereby slowing the degradation of tyrosine and reducing overall protein breakdown.
Tren amplifies the responsiveness of muscle satellite cells to IGF-1, increasing their proliferation even at standard hormone levels. This heightened sensitivity supports more efficient muscle growth and complements its anti-catabolic actions, also contributing to better insulin signaling.
How to run Tren for recomp
I wouldn’t run it long. Maybe a month to a month and a half. No more. You want to be in a very aggressive deficit during this time and make sure you stick to it every day to make the most of the cycle. You can achieve this through the use of GLP-1 Agonists. Due to the fact that Semaglutide and Tirzepatide provide the greatest apatite suppression I would recommend using one of those two. You are doing to be able to drop an incredible amount of fat whilst also putting on lean tissue.
Precautions
As you know, hair is life. If your are already on steroids and not using at very minimum a 5ARi inhibitor, ideally Dutasteride, your fucking clueless. Get on one ASAP. What’s also necessary when running highly androgenic substances is RU58841. I have a thread going through all of that here. Make sure you use it, especially when running such compounds, or you will greatly regret it, and will by flying to Turkey shortly.
Tren side effect profile
Obviously side effect are dose dependent. Everyone also reasons differently, some can use Tren without issues, and some claim they became gay.
I will leave this part empty, so you do your own research on the compound to decide is the risk to reward ratio is worth it.
Cardarine (GW501516) - You mean cancerine?
What is Cancerine?
Cardarine is a PPAR-delta receptor agonist. It activates the PPAR-delta pathway which increases the body’s ability to burn fat and increase indurance.
How Cancerine aids in fat loss
Cardarine is an endurance enhancer rather than a fat burner. If you are not doing cardio, then this drug would provide absolutely zero benefits to you. It shits you to a fat metabolism, and when you exercise you will have greater endurance to be able to do more in less time, and for longer. Obviously this will result in more calories burnt via cardio to aid in your calorie deficit.
Cancerine side effect profile
Cancer first and for most (reason enough not to touch that shit)
Spike your apatite to another level (obviously not what you want when getting lean)
Make you thirsty
Headaches
And surprisingly makes people feel lethargic despite its increased endurance effects
My experience with Cancerine
I wasn’t stupid to try this shit. So I cannot comment. I also very much dislike cardio that’s not in the form of sports, so this drug would provide no purpose for me. Even if you were grinding out cardio, I would not recommend this due to the increased cancer risk.
Triiodothyronine (T3)
What is T3?
T3 is thyroid hormone produced primarily by the thyroid gland and is also converted from T4 in tissue through the body. It regulates multiple things such as your metabolism, body temperature, heart rate etc.
How much will T3 increase TDEE?
I can’t say. It depends on what your TDEE and thyroid function was like in the first place as well as how sensitive you are to the T3 (there's generally not an astronomical amount of difference in sensitivity between users, but certainly enough to make a difference).
T3 dosage protocol
I have seen good results of people running 12.5-37.5mcg every day. I personally would not recommend going below 25mcg, and I would not go above 50mcg.
T3 side effect profile
Nuked TSH levels, you would basically be hyperthyroid if overdosed
Increased heat
Anxiety
Headaches
Cramps
Trouble falling asleep
Increased hunger
Increased heart rate
My experience with T3
When I ran t3 solo, the only side effects I experienced was increased heart rate, and if the dosage was too high, mild anxiety. The fat loss was OK, but t3 only really becomes useful when combined with DNP which down regulates your thyroid, so using a replacement dose of t3 then would be the only real valid time to use.
Typically if people stall their weight loss on DNP, and they weren’t supplementing replacement dosage of t3, adding it in will allow them to continue to drop.
Water Fasting
What is water fasting?
Unless you are clinically retarded, you likely do not need an explanation for what water fasting is. Essentially it is not eating anything at all apart from water. That's it. The only thing that is allowed to be consumed on top of water is electrolytes (potassium chloride and salt).
Could water fasting mog DNP?
You are burning your entire resting metabolic rate each day plus any cardio on top. Matching this with DNP requires moderate or upper dosage levels with hellish side effects.
It's easier to fast than it is to resist DNP carb cravings and the ghrelin spikes (however this is not the case with GLP-1 Agonist + DNP)
It's actually easier for most people to not eat at all than it is eat at a deficit because hunger hormones will still be active but they are less active on fasts.
Its free where as DNP is not
You could be more functional running on ketones than you are dealing with DNP heat and lethargy
Fasting is excellent for your gut, liver, kidneys, and wipes out insulin & leptin resistance
Water fasting for more than 3 days
If you water fast for more than 3 days without a refeed, it is recommended to use electrolyte water. It's just water with salt and potassium chloride. You want to get the ratio of sodium to potassium chloride right as low sodium relative to potassium causes drop in blood pressure, dizziness and racing heart. Lack of potassium causes cramps and high bp.
Muscle preservation
I would not use this method if you have a good amount of muscle mass built up, I would only use it conservatively, like once a month. If you have muscle to preserve, opt for another option like PSMF.
How I would utilise water fasting
I would not personally use water fasting to get myself shredded, but there are definite benefits from water fasting like autophagy as well as fat loss. I would recommend using fasting once a month for 3 days or so to be able to drop a full kg whilst retaining 99,99% of your muscle mass, as well as improving your gut and giving your body a rest from digestion.
ECA stack
What is an ECA stack?
ECA stack contains Ephedrine (banned or restricted in many countries, for over-the-counter sale due to health concerns), Caffeine and Aspirin. I will break down what each compound in this stack does.
Breakdown of what each compound in the stack does
Ephedrine has potent thermogenic and fat-burning properties. Research has demonstrated that ephedrine effectively increases metabolic rate, promotes fat oxidation, and, when combined with caffeine and aspirin, enhances these effects further. Ephedrine functions as a beta-adrenergic agonist, stimulating beta receptors on fat cells. This activation increases the release of norepinephrine, a neurotransmitter that signals fat cells to release stored fat into the bloodstream for energy utilization (AKA lipolysis).
Caffeine is used because when Ephedrine is combined with caffeine, ephedrine's thermogenic effects are amplified. Caffeine inhibits the enzyme phosphodiesterase, which breaks down cyclic AMP (cAMP). Elevated cAMP levels prolong the action of norepinephrine, enhancing fat breakdown and energy expenditure.
Aspirin does not directly cause fat loss, but studies show when it is combined with Ephedrine aspirin significantly increased post-meal metabolic rate in obese women, compared to ephedrine alone.
![]()
Aspirin potentiates the effect of ephedrine on the thermogenic response to a meal in obese but not lean women - PubMed
The effect of ephedrine (30 mg) and aspirin (300 mg) on the acute thermogenic response to a liquid meal (250 kcal) was investigated in lean and obese women (n = 10 each group). Resting metabolic rate (RMR) was measured prior to each of the following treatments: meal only (M), meal plus ephedrine...pubmed.ncbi.nlm.nih.gov
How many calories will ECA stack burn
You will get an extra 100-200 calories burnt per day using an ECA stack. IMO for the same calories burnt, I would much rather use this than something like Clenbuterol.
![]()
Aspirin potentiates the effect of ephedrine on the thermogenic response to a meal in obese but not lean women - PubMed
The effect of ephedrine (30 mg) and aspirin (300 mg) on the acute thermogenic response to a liquid meal (250 kcal) was investigated in lean and obese women (n = 10 each group). Resting metabolic rate (RMR) was measured prior to each of the following treatments: meal only (M), meal plus ephedrine...pubmed.ncbi.nlm.nih.gov
![]()
The effect of ephedrine/caffeine mixture on energy expenditure and body composition in obese women - PubMed
Treatment with beta 2-agonists promotes fat loss and muscle growth in numerous species, but human studies are lacking. We studied the effect of a compound with beta 2-agonistic properties (ephedrine 20 mg/caffeine 200 mg [E + C]). Fourteen obese women were treated with a 4.2-MJ/d diet and either...pubmed.ncbi.nlm.nih.gov
ECA side effect profile
Increased heart rate
Increased blood pressure
Anxiety
Jitteriness
Insomnia
The normie method
How to determine your maintenance calories
Just find you maintenance calories by eating and tracking everything for a week, and weighing yourself every day. At the end of the week, see how much weight you gained/lost. Then add up your calories for the week and divide by 7 to find how many calories you ate on average per day. Multiply how much weight you gained/lost in that week by either 3500 if you are working in lbs or 7700 if you are working in KG. This will show you how many calories over or under you maintenance you ate over the week. You have now determined your maintenance calories.
500 deficit bro
Simply subtract 500 calories from whatever number you have calculated using the method above. You can use caffeine and nicotine to help supress your apatite to help you stick to the diet. This is the slowest method but it is side effect free.
Tags: @Jonas2k7 @Clavicular @MyDreamIsToBe183CM @Bitterschön
Funny you mention DNP. I just got some more in the mail hehe.skimmed thru for now, will read fully when im on a cut, but mirin effort & info
what i never understood about dnp is, does the dosage depend on your bf%, and therefore has to ideally be dosed at mg/kg rather than a constant value, or is it just that - constant, for everyone regardless? and how to spot an od before its too late?
Here is the DNP accumulation chart.How does dnp front loading work? Do you just double the first dose or?
You have to have a trust worthy supplier. If they over doses the pill with say 300mg instead of 200mg, and you take 2 for a supposed 400mg, you have actually consumed 600mg. And imagine you took 3 for a supposed 600mg (max i would go and have been), you just consumed 900mg and then it's looking ropey.
Should dosages be split? 200mg every 12h?On your first day you can dose 800mg, and then just continue with 400mg
If one can afford DNP they can also afford a milligram scaleOnly do it if you have a replicable supplier for this reason:
sick brah, appreciate the effortFunny you mention DNP. I just got some more in the mail hehe.
View attachment 3711390
200-400mg is pretty much a universally safe dosage. It will ramp up your TDEE by 15% for every 100mg of powder. Unless you are severely under weight, in which case you have no reason to be running such compounds, this is a perfectly safe dosage and is what most people run, including myself, without issues. I’ve been up to 600mg before.
You spot over dose by not being stupid. This is how people fuck up, by trying to push the limits. Just make sure you aren’t playing with fire. Once you overdose, there isn’t anything anyone can do. 200-400mg is more than enough. I can’t personally say what an overdose feels like, i’ve never done it, but you’d be hot as shit that’s for sure.
Here is the DNP accumulation chart.
View attachment 3711416
Let’s say you want to run 400mg. When 400mg fully builds up, since it’s half life is 36hours, you will have roughly 1080mg of DNP in your system. On your first day you can dose 800mg, and then just continue with 400mg from then onwards, you will reach full concentration in far less time. Only do it if you have a replicable supplier for this reason:
Yes split as far apart ideally.Should dosages be split? 200mg every 12h?
If you buy capsules (with powder in them) milligram scale is useless since there will be filler in them alsoIf one can afford DNP they can also afford a milligram scale![]()
all these synthetic drugs aren't really necessary. Many will eat less, but will eat the wrong food, food with no nutrients. It's not so much about the quantity of food you eat that makes you feel full, its about the nutrients. Many people are obese because they eat soy slop which has not nutrients, they become malnourished then keep eating because they were never satisfied. Just eat raw meat and you wont feel the need to overeat, and you won't have any cravings.View attachment 3707010
The Ultimate Fat Loss Guide - Everything From BAM15 To "Just Don't Eat Bro" - The Truth About Leanmaxxing
Part 3
Introduction
We all know leanmaxxing is the #1 looksmax. It is the only looksmax that can give a surgery tier ascension. I'm shocked when I receive a PM from someone who has been here for years and has not even completed step one. They look like they've been bulking for the past 2 years instead. It obviously isn't as east as "just put the fork down bro" for most people, otherwise you would all be dick skin shredded with veins running up your abdomen. So, we will look at all the methods here to actually achieve a shredded body, which is the foundation of all looksmax endeavours.
How much difference does fat loss really make?
A fucking tonne. Everyone greatly underestimate how much difference a few KGs of fat can make to your facial appearance. Many get demotivated quickly. Many of you are 20%+ bodyfat (although you think your 15%). The weight drop until about 15-18% really will not effect your facial aesthetics in any drastic way. For example, say you are 25% body fat. Dropping from that 25% to 18% will make a negligible difference.
"I've lost 8kg but it made almost no difference, leanmax is cope". Well yes, you've only now entered the territory of being lean(ish). You were fat, now you are less fat, but still relatively fat. Thankfully, although it may be demotivating to get to 15-18% with almost no ascension, from here on out, you will start to see changes, the more you edge closer to 15%, then 14% etc, all the way down to 10%.
Real life examples
This is the guy that appears on google when you search "hollow cheeks", I think.
Exhibit A:
A few KGs later:
Exhibit B
Boneless looking white guy no one would look twice at:
Literally 5-7kg later:
My point here is that, no you aren't necessarily going to ascend to Chad from MTN though leanmaxing, but the very vast majority of you will ascend to a large degree. There are countless more insane leanmax transformation, I just don't want to flood the whole thread with them. Not to mention, in the before pics, they are not fat by any stretch of the imagination, they just aren't shredded.
There are a very small minority that no matter what you do your face will remain a bloated mess. This means your boneless. Unless you are 10%, don't think it's over like this guy.
Not a single bone visible in his face. Not one.
View attachment 3706410
What compounds and methods exist to get shredded?
This thread contains all the information you could need about the following methods of leanmaxing:
GLP-1 Agonists - The foundation of everything.
DNP - Become a human furnace.
Clenbuterol and Salbutamol - Blow up your heart theory.
BAM15 - DNP dethroned
Protein Sparing Modified Fasting (PSMF)
Trenbolone - Godly recomp
Cardarine - You mean cancerine?
Triiodothyronine (T3)
Water Fasting
500 calorie deficit bro
I will outline every method you can use to get shredded as fuck that goes beyond the normie advice of "500 calorie deficit bro" or "just move more g". I will go through everything, if its not here it doesn't exist. I do not necessarily recommend some of these methods, I will outline which I do or do not recommend. I will go through everything from pharmaceuticals to natural methods. Some of these categories will overlap since they can be used in conjunction with each other.
GLP-1 Agonists - The foundation of everything
When talking about fat loss, we are looking at calories in vs calories out. It is that simple. If anyone tells you otherwise they are clinically retarded and should immediately be put on ignore . GLP-1 Agonists for the most part (I will explain), focus on the calories in portion of weight loss.
So, the 3 main GLP-1 Agonists are Semaglutide. Tirzepatid, and Retatrutide. There's also Bioglutide, but reseach and development is still being done.
I will go onto the following topics about each GLP-1 Agonist:
Semaglutide
What is it?
To put it as simply as possible, it's just an apatite suppressant. It is a GLP-1 receptor agonist medication used to treat type 2 diabetes and obesity. It works by mimicking the natural hormone GLP-1. Semaglutide is a single agonist. It only effects GLP-1R (GLP-1 receptors). It has the highest affinity for its target site. Semaglutide is about 94% identical to human produced GLP-1. GLP-1 has multiple effects. To mention a few it decreased hunger and food noise, delayed gastric emptying, increased satiety, decreased glucagon secretion, increased pancreatic beta cell function.
Effects on muscle mass
Out of the 3 main GLP-1 Agonists, Semaglutide has the worst muscle wastage to fat loss ratio compared to the other agonists. This is because it doesn't have the other methods of action that will help to relieve side effects and improve nutrient partitioning (amongst other things) to preserve lean mass. The muscle mass loss can be mitigated to a large degree by making sure you continue to have a high protein diet (which may be hard if you want to puke every time you eat), and continue weight training. The drug itself is not muscle wasting like some people seem to believe. The muscle loss is a direct cause of the aggressive deficit.
The side effects of Semaglutide
The most common would be Nausea which is experienced by around 43.9% of users on this highest dosage of Semaglutide (2.4mg). Vomiting, Diarrhoea, Abdominal pain and constipation are amongst the most common side effects. You may feel sick every time you think about eating, which is a large reason why it works, but obviously this is not ideal. Semaglutide has the harshest side effects out of the 3. If you are a jester you can read this seemingly never ending list of side effects you 100% are not going to get, but I respect normies for the fearmongering:
![]()
Semaglutide (subcutaneous route) - Side effects & dosage
www.mayoclinic.org
Misconceptions
You may see the words "Ozempic face" or "Ozempic butt" or "Ozempic anything" thrown about by the media, people on Reddit and forum retards like @JohnDoe . It is pure fearmongering and there is absolutely nothing that makes Semaglutide (Ozempic) or any other GLP-1 agonist prematurely age your face. The drug simply helps you lose weight. You will end up looking the exactly the same weather you drop the weight via willpower or GLP-1 agonists. This applies for the 3 GLP-1 agonists that I will be talking about, so I won't bother repeating this.
Who should use Semaglutide?
If your sole goal is just straight up weight loss, Semaglutide is the way you should go since it is the strongest at stimulating GLP-1. You are guaranteed to lose wight if the thought of eating makes you want to puke.
Semaglutide dosage protocol
View attachment 3706212
My experience with Semaglutide
I full sent 1mg off the rip I'll be real because normies are jesters. The only side effects I experienced was literally not wanting to eat at all. I could not get 3 eggs down me and had to force feed myself my protein intake throughout the day. Basically it fucking works if your goal is to crush your apatite at all costs and drop weight at all costs. Going from someone who can eat an entire cow in one sitting to not being able to eat a fucking egg was pretty extraordinary to be honest.
Tirzepatide
What is it?
Tirzepatide isn’t actually GLP-1. It’s actually a 39 amino acid modified GIP molecule that has GLP-1 activity added to the molecule. That is why we call it a dual agonist. It’s having an effect on two incretin receptors. That means Tirzepatide is binding to the native GIP-R (GIP receptor) with essentially equal affinity as our body’s own GIP molecule. However, the GLP-1 binding is about 5 times weaker than what our body creates. It is an imbalanced dual agonist with preferential activity at GIP over GLP-1. This means that mg for mg, compared to Semaglutide, it will reduce apatite to a much greater degree than Tirzepatide since the drug is a full agonist of GIP-R, and only a partial agonist of GLP-1R. That partial agonist effect means you’re not fully saturating the receptor site, which means you don’t get the full effect.
The benefits of being a GIP Agonist
There are multiple benefits to GIP (glucose-dependent insulinotropic polypeptide) Agonism that Semaglutide don't produce. GIP is another hormone involved in glucose metabolism. It has an anti-emetic/anti-nausea effect which explain why some people experience less side effects. Like GLP-1, it promotes insulin secretion in response to high blood glucose levels. However, GIP has also been shown to have effects on fat metabolism and energy balance. It also has other effects, it is neuroprotective, increases bone formation, decreases stomach acid secretion, increases insulin release.
Effects on muscle mass and bodyweight
In a study comparing the weight loss effects of Semaglutide and Tirzepatide, it was found that a larger proportion of patients on Tirzepatide achieved significant weight loss.
In terms of lean mass preservation Tirzepatide does seem to preserve more than Semaglutide users.Within one year of treatment, 81.8% of Tirzepatide patients lost at least 5% of their body weight, compared to 64.6% for Semaglutide. On top of this, 62.1% of tirzepatide patients lost 10% or more of their body weight, and 42.3% lost 15% or more, significantly higher than the 38.0% and 19.3%, respectively, for semaglutide.
The side effect of Tirzepatide
The side effect profile is very much the same as Semaglutide. The side effects are typically less severe than Semaglutide allowing it to be a much more sustainable to run long term. The main side effects still are Nausea, Vomiting, Diarrhoea, Abdominal pain and constipation.
Who should run Tirzepatide?
Well, in my opinion no one, due to the existence of Retatutide (which I will explain next) which makes Tirzepatide redundant. There is a reason I do not say that Semaglutide is redundant which I will get into later on in this thread, since it can be utilised well in specific scenarios. The only reason one could consider retatrutide is due to cost issues and it being less costly than Retatrutide. But with proper sourcing you can a year supply of the superior drug for very cheap. If your are going to a run a GLP-1 year round and you cannot get your hands on retatrutide for whatever reason, Tirzepatide is your best bet.
Tirzepatide dosage protocol
View attachment 3706277
My experience with Tirzepatide
Great apatite suppression, to me on par with Semaglutide, with less side effects and not feeling nausea at the sight of food as much. As I said, it's a much more sustainable compound to run.
Retatrutide
What is it?
Retatrutide's a triple agonist, acting on GLP-1R, GIP-R and glucagon receptors (GCGR). Structurally, it is nearly identical to Tirzepatide. It is also a 39 amino acid modified GIP molecule but with changes to the amino acid structure to allow for activity at the GCGR site as well. It is also an imbalanced agonist. It is 8.9 fold more potent at GIP-R than human GIP. So this drug is way more potent than Tirzepatide at GIP-R agonism which means it further enhances any of the GIP-R effects and the GLP-1 effects in a synergistic manner.
The benefits of being a Glucagon Agonist
Glucagon increases heart rate and cardiac output/contractility, and lowers pulmonary vascular resistance. Glucagon has a multitude of effects on the liver and brown and white adipose tissue(AKA fat). In the liver it increases liver cell survival, increases lipolysis which creates free fatty acids which our body then turns into ketones for energy. In fat cells it increases thermogenesis and lipolysis which further drives that free fatty acids to ketone bodies cycle. It’s literally forcing your body to burn excess fat. This probably results in ~200 calories burnt doing nothing
Effects on muscle mass and bodyweight
Retatrutide is king out of the 3 GLP-1 Agonists when it comes to preserving lean body mass. When compared to potent GLP-1 RAs, such as tirzepatide and Semaglutide, they are associated with a significant reduction in lean mass in comparison to Retatrutide.
The side effects of Retatrutide
For the most part, the side effect profile is again the same as the other two. Nausea, Vomiting, Diarrhoea, Abdominal pain and constipation, again are the main ones. I will note in phase II clinical trials Subcutaneous hyperesthesia and skin sensitivity adverse events were reported in 7% of the participants who received Retatrutide. None of these events were severe or serious or were associated with overt skin findings, and none led to discontinuation of Retatrutide or placebo
![]()
Triple–Hormone-Receptor Agonist Retatrutide for Obesity — A Phase 2 Trial | NEJM
Retatrutide (LY3437943) is an agonist of the glucose-dependent insulinotropic polypeptide, glucagon-like peptide 1, and glucagon receptors. Its dose–response relationships with respect to side effe...www.nejm.org
Who should use Retatrutide?
Everyone. Everyone should use it. Even if you have already reached your goal body fat I would (and am currently) run Retatrutide year round to improve lipids and all your healthy blood markers and allow you to effortlessly maintain your current level of leanness.
Retatrutide dosage protocol
I would recommend starting at 1mg and titrating your way up as necessary. High dose Retatrutide can have it's benefits such as burning a few extra hundred calories through other mechanisms of lipolysis. If you want to use high dose Retatrutide, I would recommend between 5-10mg every week. I started with 5mg but will see how 10mg goes.
Sources
Sema
https://www.ncbi.nlm.nih.gov/pmc/articles/PMC8736331/#:~:text=Semaglutide
https://pubs.acs.org/doi/10.1021/acs.jmedchem.5b00726
Tirz
https://www.ncbi.nlm.nih.gov/pmc/articles/PMC7526454/#:~:text=For GLP-1R, tirzepatide was,nM (1.86, 3)
https://www.ncbi.nlm.nih.gov/pmc/articles/PMC6308032/#appsec2
https://www.ncbi.nlm.nih.gov/pmc/articles/PMC4020673/
Reta
https://www.sciencedirect.com/science/article/pii/S1550413122003126?via=ihub#sec1
https://www.nejm.org/doi/pdf/10.1056/NEJMoa2301972
https://dom-pubs.onlinelibrary.wiley.com/doi/full/10.1111/dom.15167
https://academic.oup.com/jcem/article/103/5/1804/4931669
DNP - Become a human furnace
This is a heavily fearmongered drug due to the fact that if you overdose, you are absolutely finished, nothing can be done, you are done for. Assuming you are not clinically retarded, this will not happen to you. I would actually say it is very safe if you have a good source that accurately doses the DNP, but there aren't many about.
How DNP works
DNP works by increasing metabolism through inhibiting the mitochondria from making adenosine triphosphate (ATP), which results in heat being produced instead of ATP. So put that simply in the most basic way possible, it prevents energy from being stored as fat burning it as heat instead.
DNP side effect profile
You will be sweating.
You will experience facial bloating on cycle that will resolve 1 week after your cycle ends.
You may experience a slight rash on cycle. Sometimes you'll get it, sometimes you won't. It is harmless. Use anti-histamine if you want.
Your thyroid will be tanked for 1-2 weeks after your cycle, so keep calories low for those 2 weeks to not regain fat is a good idea. (T3 replacement can also be run with the cycle).
Your apatite will go crazy, and you will mainly crave carbohydrates (solution below)
DNP effects on muscle mass
DNP is protein sparing. It only uses fats and carbs for energy. Your strength will decrease on cycle, that is because you are completely glycogen depleted and your cells are essential in overdrive. Once you carb up and DNP leaves your system you will regain your strength.
How much does DNP increase your TDEE?
DNP increases your TDEE, not your BMR. This means it acts as a multiplicator for any activity that you do. DNP powder will increase your TDEE by ~15% and crystal will increase your TDEE by ~11% for every 100mg consumed after the DNP has built up in your system which is after about 5-6 days unless you front load it, which I would not recommend due to the fact that dealers may miss dose the DNP and you could be consuming more than you think, which can be fatal if you are at high dosages.
DNP dosage protocol
Always start low and titrate DNP up for the reason I just mentioned. 200mg will give help you out, but 400mg mogs everything to oblivion. Do not exceed 600mg, ESPECIALLY after you have reached peak DNP concentration of a certain dose at around day 5. If you are looking for good steady weight loss 200mg is a perfect dosage that will give you all the benefits with minimal heat and side effects.
The best way to run DNP
DNP solo is great, it does what it says. The only problem is that DNP will ramp up your apatite to another level. You will feel orgasmic whilst eating an apple. This can lead to you uncountably eating. To combat this using a GLP-1 Agonist is ideal. The GLP-1 Agonist as discussed above will nuke your apatite and the DNP will ramp up your metabolism. I would recommend using either Semaglutide or Tirzepatide due to the fact they are just more potent apatite suppressors than Retatutide. We do not really care for the increased metabolic effects that Retatutude would give, since we have given that job to DNP, we just need the apatite to be gone.
Benefits of running DNP
At the end of the cycle, with DNP and GLP-1 Agonists you will be left disgustingly insulin sensitive since DNP sensitizes insulin
Obviously you will become dick skin shredded
DNP releases releases a tonne of PUFA
DNP is neurogenic
DNP is anti-catabolic
DNP removes visceral fat first
Some DNP studies show that is may have protective effects on mitochondria
My experience with DNP
I have ran 3 DNP cycles now. One was complete shambles I'll be real since DNP at 500mg ramped up my apatite so much that the whole kitchen got consumed within minutes. After that shit show, I paired DNP with Tirzepatide and it was a prefect cycle. My apatite was under control and DNP worked as it should. I lost 12lbs in 14 days (excluding any water weight). I have seen countless great fat loss experiences though the use of DNP here also. Pretty use Clavicular has lost 14lbs in 15 or so days, or something along those lines.
Clenbuterol and Sambutemol - Blow up your heart theory.
These are not drugs I would personally recommend, but despite the fact I am not a fan of the side effect profile and the fat burning capabilities aren't near the level of other compounds here, it is still a method to burn a few extra hundred calories, so I will go into it anyway.
How many calories will Clenbuterol burn
It will only burn roughly an extra 200 calories per day. Sure, those calories will add up in time. Over an entire month that's another 6000 calories burnt. So yes, it's some additional fat loss, but given the side effect profile, and that you haven't even lost a whole kilo of fat after a whole month, it's not worth it, especially when drugs like DNP which can close to double your normal TDEE, with a much more favourable side effect profile in my opinion (assuming you skip the death part).
How Clenbuterol works
For the most part, it really just makes you jittery and shaky as shit and will increase heart rate, which all will result is greater caloric expenditure throughout the day.
Clenbuterol side effect profile
Shaky hands/jittery
Anxiety
Feeling warmer
Increased heart rate
Muscle cramps
Apatite suppression
The main reason not to run clenbuterol is due to its effects on your heart. Clenbuterol is shown to cause cardiac hypertrophy (disease in which the heart muscle becomes thickened). This is reason enough not to touch this shit.
Clenbuterol dosage protocol
I'll start by saying that the "2 weeks on 2 weeks off" is a gymbro meme. It is a theory where people think that Clenbuterol has to be cycled off completely to allow beta2 receptors to upregulate and recover sensitivity. Clenbuterol still works after 2 weeks, it simply just is not as effective. After 2 to 3 week is about the time the dosage should be bumped by another 20mcg. By bumping it up in this gradual manor, the increased metabolic rate can be taken advantage of for the entire duration of the cutting phase, instead of having heightened fat bring potential for only 2 weeks, then taking 2 weeks off before you can reap those benefits again. So, when dosing Clenbuterol, use the pyramid scheme and increase the dosage every 2-3 weeks.
My experience with Clenbuterol
I ran it ages ago, shit decision. Don't make the same mistake. Yeah, it works, but I will not run again, it isn't worth the slight increase in fat loss. I could have achieved the same effect by walking for 30 minutes outside and not have any sides, so I can't see why anyone would run this compound. When on it I felt slightly warm, slightly harder to fall asleep, resting heart rate increased and my hands were a bit shaky.
BAM15 - DNP dethroned
This shit would be fucking insane. I do not have personal experience with this one, and I don't think anyone does here either. I've read about some users using it on Reddit.
BAM15 mechanism of action
It works in the same way that DNP does. It's a mitochondrial uncoupler. That means it disrupts the link between electron transport and ATP synthesis in mitochondria, as I explained with DNP above.
Benefits of BAM15
Fat loss - increasing metabolism
Reduced oxidative stress - Unlike other uncouplers, BAM-15 is thought to generate less oxidative stress, making it potentially safer.
Improved insulin sensitivity - By reducing the body’s reliance on ATP for energy production, BAM-15 may improve metabolic functions, including insulin sensitivity.
Why is it better/different than DNP?
As I said above, DNP is perfectly safe at regular dosages. This just happens to be safer since it reduces oxidative stress. The biggest benefit of BAM15 is it's selectivity.
BAM15 administration led to increased energy expenditure, improved insulin sensitivity, and reduced body fat without affecting food intake or lean mass. These effects were attributed to enhanced mitochondrial respiration and sustained activation of AMP-activated protein kinase.
![]()
BAM15-mediated mitochondrial uncoupling protects against obesity and improves glycemic control - PubMed
Obesity is a leading cause of preventable death worldwide. Despite this, current strategies for the treatment of obesity remain ineffective at achieving long-term weight control. This is due, in part, to difficulties in identifying tolerable and efficacious small molecules or biologics capable...pubmed.ncbi.nlm.nih.gov
Going beyond fat loss
BAM15 demonstrated protective effects in models of acute kidney injury and sepsis by reducing mitochondrial reactive oxygen species (ROS) production and mitigating kidney damage. It also decreased the release of mitochondrial DNA into circulation, a marker of tissue injury, and improved survival rates in septic mice .
![]()
BAM15 treats mouse sepsis and kidney injury, linking mortality, mitochondrial DNA, tubule damage, and neutrophils - PubMed
Sepsis pathogenesis is complex and heterogeneous; hence, a precision-medicine strategy is needed. Acute kidney injury (AKI) following sepsis portends higher mortality. Overproduction of mitochondrial ROS (mtROS) is a potential mediator of sepsis and sepsis-induced AKI. BAM15, a chemical...pubmed.ncbi.nlm.nih.gov
In vitro studies indicated that BAM15 inhibited proliferation and induced apoptosis in acute myeloid leukemia (AML) cells. The mechanism involved a disturbance in ROS production balance, and BAM15 enhanced the efficacy of the chemotherapeutic agent cytarabine in vivo.
![]()
The new mitochondrial uncoupler BAM15 induces ROS production for treatment of acute myeloid leukemia - PubMed
Acute myeloid leukemia (AML) is a malignant proliferative disease of myeloid hematopoietic origin and cannot be treated appropriately at present. This is due to the fact that leukemia cells are not sensitive to some of the traditional chemotherapy drugs. Or some chemotherapeutic drugs are too...pubmed.ncbi.nlm.nih.gov
BAM15 exhibited activity against Toxoplasma gondii by inhibiting mitochondrial oxidative phosphorylation in the parasite, leading to decreased ATP levels and increased ROS production. These effects were observed both in vitro and in vivo, suggesting BAM15's potential as an antiparasitic agent.
![]()
Effect of the mitochondrial uncoupling agent BAM15 against the Toxoplasma gondii RH strain and Prugniaud strain - PubMed
BAM15 had excellent anti-T. gondii activity in vitro and in vivo with an EC50 value of 1.25 μM, while the IC50 of BAM15 in Vero cells was 27.07 μM. Notably, BAM15 significantly inhibited proliferation activity of T. gondii RH strain and Prugniaud strain (PRU), caused T. gondii death...pubmed.ncbi.nlm.nih.gov
Unlike uncouplers like DNP, BAM15 does not depolarize the plasma membrane, thereby reducing off-target effects and cytotoxicity.
![]()
Identification of a novel mitochondrial uncoupler that does not depolarize the plasma membrane - PubMed
Dysregulation of oxidative phosphorylation is associated with increased mitochondrial reactive oxygen species production and some of the most prevalent human diseases including obesity, cancer, diabetes, neurodegeneration, and heart disease. Chemical 'mitochondrial uncouplers' are lipophilic...pubmed.ncbi.nlm.nih.gov
BAM15 side effect profile
There are actually minimal side effects being reported, with the worst side effect being simply more sweat during cardio. Side effects would be more apparent at high dosages. Some people have reported hiccups (JFL), as well as some slight heartburn at times.
BAM15 dosage protocol
From what I have read, users have dosed anywhere from 100mg a day to 300mg a day, split into sperate dosages.
Personal experience with BAM15
Nothing.
Protein Sparing Modified Fasting (PSFM)
What is PSMF?
PSMF is a diet that will allow you to lose weight quickly while preserving your lean tissue and muscle mass. It involves eating mostly protein-rich foods and minimizing the intake of carbohydrates and fat.
How PSMF works
The greater the deficit you create, the greater the weight loss. The quickest way to lose wight would be to eat nothing (well, maybe water fast on DNP but do not do that since you probably won't be able to move). The problem with just eating nothing is after around 24-36 hours your body will begin to break down muscle and lean tissue to convert this protein into glucose to fuel your brain, heart, and other vital organs. This is not good and not what we want. This breakdown of muscle and lean tissue can decrease your metabolic rate, or the number of calories your body burns at rest each day, making it difficult to sustain your rate of weight loss. Fortunately, animal and human studies have shown that supplementing a fast with protein can reduce or even eliminate the risk of muscle loss and metabolic slowdown.
During periods of extreme low calorie intake, your body creates glucose through a process in the liver called gluconeogenesis (GNG). In this process, protein is broken down into amino acids, which are then converted into glucose. To obtain the amino acids needed for GNG, your body must break down lean tissue and muscle. Research has shown, however, that eating protein increases the concentration of amino acids in your blood for up to 6-8 hours. Eating a protein-rich meal provides your body with a source of amino acids, preventing it from needing to cannibalize muscle tissue to fuel GNG. Continued protein intake throughout the day provides a dietary source of amino acids to fuel GNG, even at a significantly reduced calorie intake. This is the best of both worlds: rapid weight loss without sacrificing muscle tissue.
How to do PSMF
Your goal should be 1 gram of protein per lbs of lean bodyweight. So if you weigh 180lbs and have 15% body fat that would mean you have 153lbs of lean body mass. (180x0.85). This means you should be consuming 153grams of protein per day. Your goal should be to stay below 20g of fats and 20g of carbs per day. If you do the math (protein and carbs have 4 calories per g, and fats have 9 calories per gram) you will likely not be exceeding 1000 calories per day, which will put you in a massive deficit.
The problem with PSMF
This diet will be very hard for the average person to stick to. It will require immense willpower as you will feel immense hunger on such low calories. This will lead to you MAYBE sticking to the diet for a few days, but it is 99.99% inevitable you end up binging and eating in a major surplus, undoing all the work you have done till than point rather quickly.
The solution
This is where GLP-1 Agonists help. GLP-1 Agonists are ideal here as it will allow you to stick to such low calories with ease, allowing for rapid weight loss.
This is the protocol I would use if I needed to drop fat as quick as possible and only had access to GLP-1 Agonists. It's quick and requires no willpower.
Trenbolone - Godly recomp.
I would not hop on Tren just so you can recomp. That’s stupid as shit. If you are already roiding and have already done your first cycle, then this is an option, otherwise use one of the other options mentioned in this thread.
Why Tren is great for super recomp
Tren is extremely anti-catabolic. It is the most anti-catabolic steroid in existence. It has an extremely high AR potency. At the androgen receptor, Trenbolone is approximately 4.5x more potent than Testosterone.
Why is it so anti-catabolic?
It has this effect since there are multiple pathways that is decreases glucocorticoids.
Tyrosine aminotransferase plays a role in gluconeogenesis, the metabolic pathway that converts amino acids into glucose or energy. Tren has been shown to lower Tyrosine Aminotransferase levels in the liver, thereby slowing the degradation of tyrosine and reducing overall protein breakdown.
Tren amplifies the responsiveness of muscle satellite cells to IGF-1, increasing their proliferation even at standard hormone levels. This heightened sensitivity supports more efficient muscle growth and complements its anti-catabolic actions, also contributing to better insulin signaling.
How to run Tren for recomp
I wouldn’t run it long. Maybe a month to a month and a half. No more. You want to be in a very aggressive deficit during this time and make sure you stick to it every day to make the most of the cycle. You can achieve this through the use of GLP-1 Agonists. Due to the fact that Semaglutide and Tirzepatide provide the greatest apatite suppression I would recommend using one of those two. You are doing to be able to drop an incredible amount of fat whilst also putting on lean tissue.
Precautions
As you know, hair is life. If your are already on steroids and not using at very minimum a 5ARi inhibitor, ideally Dutasteride, your fucking clueless. Get on one ASAP. What’s also necessary when running highly androgenic substances is RU58841. I have a thread going through all of that here. Make sure you use it, especially when running such compounds, or you will greatly regret it, and will by flying to Turkey shortly.
Tren side effect profile
Obviously side effect are dose dependent. Everyone also reasons differently, some can use Tren without issues, and some claim they became gay.
I will leave this part empty, so you do your own research on the compound to decide is the risk to reward ratio is worth it.
Cardarine (GW501516) - You mean cancerine?
What is Cancerine?
Cardarine is a PPAR-delta receptor agonist. It activates the PPAR-delta pathway which increases the body’s ability to burn fat and increase indurance.
How Cancerine aids in fat loss
Cardarine is an endurance enhancer rather than a fat burner. If you are not doing cardio, then this drug would provide absolutely zero benefits to you. It shits you to a fat metabolism, and when you exercise you will have greater endurance to be able to do more in less time, and for longer. Obviously this will result in more calories burnt via cardio to aid in your calorie deficit.
Cancerine side effect profile
Cancer first and for most (reason enough not to touch that shit)
Spike your apatite to another level (obviously not what you want when getting lean)
Make you thirsty
Headaches
And surprisingly makes people feel lethargic despite its increased endurance effects
My experience with Cancerine
I wasn’t stupid to try this shit. So I cannot comment. I also very much dislike cardio that’s not in the form of sports, so this drug would provide no purpose for me. Even if you were grinding out cardio, I would not recommend this due to the increased cancer risk.
Triiodothyronine (T3)
What is T3?
T3 is thyroid hormone produced primarily by the thyroid gland and is also converted from T4 in tissue through the body. It regulates multiple things such as your metabolism, body temperature, heart rate etc.
How much will T3 increase TDEE?
I can’t say. It depends on what your TDEE and thyroid function was like in the first place as well as how sensitive you are to the T3 (there's generally not an astronomical amount of difference in sensitivity between users, but certainly enough to make a difference).
T3 dosage protocol
I have seen good results of people running 12.5-37.5mcg every day. I personally would not recommend going below 25mcg, and I would not go above 50mcg.
T3 side effect profile
Nuked TSH levels, you would basically be hyperthyroid if overdosed
Increased heat
Anxiety
Headaches
Cramps
Trouble falling asleep
Increased hunger
Increased heart rate
My experience with T3
When I ran t3 solo, the only side effects I experienced was increased heart rate, and if the dosage was too high, mild anxiety. The fat loss was OK, but t3 only really becomes useful when combined with DNP which down regulates your thyroid, so using a replacement dose of t3 then would be the only real valid time to use.
Typically if people stall their weight loss on DNP, and they weren’t supplementing replacement dosage of t3, adding it in will allow them to continue to drop.
Water Fasting
What is water fasting?
Unless you are clinically retarded, you likely do not need an explanation for what water fasting is. Essentially it is not eating anything at all apart from water. That's it. The only thing that is allowed to be consumed on top of water is electrolytes (potassium chloride and salt).
Could water fasting mog DNP?
You are burning your entire resting metabolic rate each day plus any cardio on top. Matching this with DNP requires moderate or upper dosage levels with hellish side effects.
It's easier to fast than it is to resist DNP carb cravings and the ghrelin spikes (however this is not the case with GLP-1 Agonist + DNP)
It's actually easier for most people to not eat at all than it is eat at a deficit because hunger hormones will still be active but they are less active on fasts.
Its free where as DNP is not
You could be more functional running on ketones than you are dealing with DNP heat and lethargy
Fasting is excellent for your gut, liver, kidneys, and wipes out insulin & leptin resistance
Water fasting for more than 3 days
If you water fast for more than 3 days without a refeed, it is recommended to use electrolyte water. It's just water with salt and potassium chloride. You want to get the ratio of sodium to potassium chloride right as low sodium relative to potassium causes drop in blood pressure, dizziness and racing heart. Lack of potassium causes cramps and high bp.
Muscle preservation
I would not use this method if you have a good amount of muscle mass built up, I would only use it conservatively, like once a month. If you have muscle to preserve, opt for another option like PSMF.
How I would utilise water fasting
I would not personally use water fasting to get myself shredded, but there are definite benefits from water fasting like autophagy as well as fat loss. I would recommend using fasting once a month for 3 days or so to be able to drop a full kg whilst retaining 99,99% of your muscle mass, as well as improving your gut and giving your body a rest from digestion.
ECA stack
What is an ECA stack?
ECA stack contains Ephedrine (banned or restricted in many countries, for over-the-counter sale due to health concerns), Caffeine and Aspirin. I will break down what each compound in this stack does.
Breakdown of what each compound in the stack does
Ephedrine has potent thermogenic and fat-burning properties. Research has demonstrated that ephedrine effectively increases metabolic rate, promotes fat oxidation, and, when combined with caffeine and aspirin, enhances these effects further. Ephedrine functions as a beta-adrenergic agonist, stimulating beta receptors on fat cells. This activation increases the release of norepinephrine, a neurotransmitter that signals fat cells to release stored fat into the bloodstream for energy utilization (AKA lipolysis).
Caffeine is used because when Ephedrine is combined with caffeine, ephedrine's thermogenic effects are amplified. Caffeine inhibits the enzyme phosphodiesterase, which breaks down cyclic AMP (cAMP). Elevated cAMP levels prolong the action of norepinephrine, enhancing fat breakdown and energy expenditure.
Aspirin does not directly cause fat loss, but studies show when it is combined with Ephedrine aspirin significantly increased post-meal metabolic rate in obese women, compared to ephedrine alone.
![]()
Aspirin potentiates the effect of ephedrine on the thermogenic response to a meal in obese but not lean women - PubMed
The effect of ephedrine (30 mg) and aspirin (300 mg) on the acute thermogenic response to a liquid meal (250 kcal) was investigated in lean and obese women (n = 10 each group). Resting metabolic rate (RMR) was measured prior to each of the following treatments: meal only (M), meal plus ephedrine...pubmed.ncbi.nlm.nih.gov
How many calories will ECA stack burn
You will get an extra 100-200 calories burnt per day using an ECA stack. IMO for the same calories burnt, I would much rather use this than something like Clenbuterol.
![]()
Aspirin potentiates the effect of ephedrine on the thermogenic response to a meal in obese but not lean women - PubMed
The effect of ephedrine (30 mg) and aspirin (300 mg) on the acute thermogenic response to a liquid meal (250 kcal) was investigated in lean and obese women (n = 10 each group). Resting metabolic rate (RMR) was measured prior to each of the following treatments: meal only (M), meal plus ephedrine...pubmed.ncbi.nlm.nih.gov
![]()
The effect of ephedrine/caffeine mixture on energy expenditure and body composition in obese women - PubMed
Treatment with beta 2-agonists promotes fat loss and muscle growth in numerous species, but human studies are lacking. We studied the effect of a compound with beta 2-agonistic properties (ephedrine 20 mg/caffeine 200 mg [E + C]). Fourteen obese women were treated with a 4.2-MJ/d diet and either...pubmed.ncbi.nlm.nih.gov
ECA side effect profile
Increased heart rate
Increased blood pressure
Anxiety
Jitteriness
Insomnia
The normie method
How to determine your maintenance calories
Just find you maintenance calories by eating and tracking everything for a week, and weighing yourself every day. At the end of the week, see how much weight you gained/lost. Then add up your calories for the week and divide by 7 to find how many calories you ate on average per day. Multiply how much weight you gained/lost in that week by either 3500 if you are working in lbs or 7700 if you are working in KG. This will show you how many calories over or under you maintenance you ate over the week. You have now determined your maintenance calories.
500 deficit bro
Simply subtract 500 calories from whatever number you have calculated using the method above. You can use caffeine and nicotine to help supress your apatite to help you stick to the diet. This is the slowest method but it is side effect free.
Tags: @Jonas2k7 @Clavicular @MyDreamIsToBe183CM @Bitterschön
Im using aromasin with it, thoughts on lean bulking for 10-12 weeks and then cutting with dnp while still on test? That’s my planIf you haven’t hopped on yet then I would recommend getting 6 pack shredded before you consider hopping on because otherwise you will have high(er) estrogen conversion and e2 sensitivity.
I mean bulking is a meme, most anabolic pathways cap out before you reach your TDEE, but if you decide to do your plan that is fine yes. Blasting and crusing mogs, stay on test.Im using aromasin with it, thoughts on lean bulking for 10-12 weeks and then cutting with dnp while still on test? That’s my plan
So I’ll grow in even a deficit ? Why do all YouTube and science based niggrrs say the oppositeI mean bulking is a meme, most anabolic pathways cap out before you reach your TDEE,
You will also lose a huge amount of muscle, jfl at 20g carbs A DAYThe problem with PSMF
This diet will be very hard for the average person to stick to. It will require immense willpower as you will feel immense hunger on such low calories. This will lead to you MAYBE sticking to the diet for a few days, but it is 99.99% inevitable you end up binging and eating in a major surplus, undoing all the work you have done till than point rather quickly.
. You need to keep training while cutting so your muscles continue to stay in a state of hypertrophy, but on 20g carbs your workouts are gonna be utter shit and useless. Increase that to 1.0-1.5g carbs per kg of bodyweight and your cut will be slightly slower because of a smaller deficit, but you’ll come out looking a lot better because you spared your muscle mass.You might add muscle mass but not much but thats not what he said. Bulking is unnecessary because you can see optimal gains at maintenance calories, people just recommend a slight surplus because most retards can’t count calories and might overestimate how much they're eating. It’s a different story if you’re not natural though, you’ll have to eat more for optimal gains.So I’ll grow in even a deficit ? Why do all YouTube and science based niggrrs say the opposite
Shit like this alone, is why I fuck with your content brother, good shit. cheersI'll be real because normies are jesters.
Well what works best?Will take 35 centuries to get lean. Works tho.
I agree that getting your calories in by eating "right" is better. Raw meat doesn't fucking fall into this category. Just eat a balanced, non-processed diet, incel.all these synthetic drugs aren't really necessary. Many will eat less, but will eat the wrong food, food with no nutrients. It's not so much about the quantity of food you eat that makes you feel full, its about the nutrients. Many people are obese because they eat soy slop which has not nutrients, they become malnourished then keep eating because they were never satisfied. Just eat raw meat and you wont feel the need to overeat, and you won't have any cravings.
12lbs in 14 days may be too much in some cases, though I see no problem with that when dieting correctly (see reply above for reference) and supplementing with additional micronutrients and collagen peptides. You won't have loose skin, this itself only happens to morbidly obese humans that loose their weight in the described rate constantly over many months.DNP is categorically not "perfectly safe at regular doses".
"DNP releases releases a tonne of PUFA" - this is not good.
"I lost 12lbs in 14 days (excluding any water weight)." - this is not good or normal. weight loss is not meant to happen this quickly. think in terms of evolutionary biology.
"Some DNP studies show that is may have protective effects on mitochondria
https://doi.org/10.1002/ana.27140
https://doi.org/10.3390/biom15020189" - the doses used in these studies are equivalent to a human dose of between 4 and 81mg for a 100kg human. far below your recommendations, and actually somewhat in line with mine - I think a dose of around 20mg daily could be beneficial in the aggregate.
ketogenic diets and fasting (PSMF) are excellent if the goal is to lose weight quickly by spiking stress hormones massively and then put it all back on because you semi-permanently damaged your metabolism and thyroid function.
Why would you abuse stimulants and compounds that fuck with your heart? Dude, your heart is of equal importance at the very least. You don't fucking want any left ventricular hypertrophy, I fully regret running Clenbuterol.T3 is a good one, along with caffeine and asprin. asprin has uncoupling effects at high doses. wouldn't go with ephedrine for the same reason I wouldn't go with ketogenic diet or fasting.
If you are asking about efficacy it surely is DNP. Personally I'd combine DNP with a GLP-1 agonist, which I wouldn't drop and just use it long-term to permanently maintain my lower weight.Well what works best?
T3 and Clen most likely burn around the same amount of calories. 120mcg of Clen burns around 300 calories.T3 burns extra 300 calories if you got hypothyroid
clen isnt worth it u burn around 500-600 calories more and risk heartattack
water fasting is a meme
Just research the compounds you take when you are an IQcel or not theory.dnp is the only one that attacks fat on this list but is dangerous if you are low iq-cel, other than that everything else is for people that can't put the fork down.
PSMF is also good u lose a lot of weight and keep muscle
good thread![]()
View attachment 3707010
The Ultimate Fat Loss Guide - Everything From BAM15 To "Just Don't Eat Bro" - The Truth About Leanmaxxing
Part 3
Introduction
We all know leanmaxxing is the #1 looksmax. It is the only looksmax that can give a surgery tier ascension. I'm shocked when I receive a PM from someone who has been here for years and has not even completed step one. They look like they've been bulking for the past 2 years instead. It obviously isn't as east as "just put the fork down bro" for most people, otherwise you would all be dick skin shredded with veins running up your abdomen. So, we will look at all the methods here to actually achieve a shredded body, which is the foundation of all looksmax endeavours.
How much difference does fat loss really make?
A fucking tonne. Everyone greatly underestimate how much difference a few KGs of fat can make to your facial appearance. Many get demotivated quickly. Many of you are 20%+ bodyfat (although you think your 15%). The weight drop until about 15-18% really will not effect your facial aesthetics in any drastic way. For example, say you are 25% body fat. Dropping from that 25% to 18% will make a negligible difference.
"I've lost 8kg but it made almost no difference, leanmax is cope". Well yes, you've only now entered the territory of being lean(ish). You were fat, now you are less fat, but still relatively fat. Thankfully, although it may be demotivating to get to 15-18% with almost no ascension, from here on out, you will start to see changes, the more you edge closer to 15%, then 14% etc, all the way down to 10%.
Real life examples
This is the guy that appears on google when you search "hollow cheeks", I think.
Exhibit A:
A few KGs later:
Exhibit B
Boneless looking white guy no one would look twice at:
Literally 5-7kg later:
My point here is that, no you aren't necessarily going to ascend to Chad from MTN though leanmaxing, but the very vast majority of you will ascend to a large degree. There are countless more insane leanmax transformation, I just don't want to flood the whole thread with them. Not to mention, in the before pics, they are not fat by any stretch of the imagination, they just aren't shredded.
There are a very small minority that no matter what you do your face will remain a bloated mess. This means your boneless. Unless you are 10%, don't think it's over like this guy.
Not a single bone visible in his face. Not one.
View attachment 3706410
What compounds and methods exist to get shredded?
This thread contains all the information you could need about the following methods of leanmaxing:
GLP-1 Agonists - The foundation of everything.
DNP - Become a human furnace.
Clenbuterol and Salbutamol - Blow up your heart theory.
BAM15 - DNP dethroned
Protein Sparing Modified Fasting (PSMF)
Trenbolone - Godly recomp
Cardarine - You mean cancerine?
Triiodothyronine (T3)
Water Fasting
500 calorie deficit bro
I will outline every method you can use to get shredded as fuck that goes beyond the normie advice of "500 calorie deficit bro" or "just move more g". I will go through everything, if its not here it doesn't exist. I do not necessarily recommend some of these methods, I will outline which I do or do not recommend. I will go through everything from pharmaceuticals to natural methods. Some of these categories will overlap since they can be used in conjunction with each other.
GLP-1 Agonists - The foundation of everything
When talking about fat loss, we are looking at calories in vs calories out. It is that simple. If anyone tells you otherwise they are clinically retarded and should immediately be put on ignore . GLP-1 Agonists for the most part (I will explain), focus on the calories in portion of weight loss.
So, the 3 main GLP-1 Agonists are Semaglutide. Tirzepatid, and Retatrutide. There's also Bioglutide, but reseach and development is still being done.
I will go onto the following topics about each GLP-1 Agonist:
Semaglutide
What is it?
To put it as simply as possible, it's just an apatite suppressant. It is a GLP-1 receptor agonist medication used to treat type 2 diabetes and obesity. It works by mimicking the natural hormone GLP-1. Semaglutide is a single agonist. It only effects GLP-1R (GLP-1 receptors). It has the highest affinity for its target site. Semaglutide is about 94% identical to human produced GLP-1. GLP-1 has multiple effects. To mention a few it decreased hunger and food noise, delayed gastric emptying, increased satiety, decreased glucagon secretion, increased pancreatic beta cell function.
Effects on muscle mass
Out of the 3 main GLP-1 Agonists, Semaglutide has the worst muscle wastage to fat loss ratio compared to the other agonists. This is because it doesn't have the other methods of action that will help to relieve side effects and improve nutrient partitioning (amongst other things) to preserve lean mass. The muscle mass loss can be mitigated to a large degree by making sure you continue to have a high protein diet (which may be hard if you want to puke every time you eat), and continue weight training. The drug itself is not muscle wasting like some people seem to believe. The muscle loss is a direct cause of the aggressive deficit.
The side effects of Semaglutide
The most common would be Nausea which is experienced by around 43.9% of users on this highest dosage of Semaglutide (2.4mg). Vomiting, Diarrhoea, Abdominal pain and constipation are amongst the most common side effects. You may feel sick every time you think about eating, which is a large reason why it works, but obviously this is not ideal. Semaglutide has the harshest side effects out of the 3. If you are a jester you can read this seemingly never ending list of side effects you 100% are not going to get, but I respect normies for the fearmongering:
![]()
Semaglutide (subcutaneous route) - Side effects & dosage
www.mayoclinic.org
Misconceptions
You may see the words "Ozempic face" or "Ozempic butt" or "Ozempic anything" thrown about by the media, people on Reddit and forum retards like @JohnDoe . It is pure fearmongering and there is absolutely nothing that makes Semaglutide (Ozempic) or any other GLP-1 agonist prematurely age your face. The drug simply helps you lose weight. You will end up looking the exactly the same weather you drop the weight via willpower or GLP-1 agonists. This applies for the 3 GLP-1 agonists that I will be talking about, so I won't bother repeating this.
Who should use Semaglutide?
If your sole goal is just straight up weight loss, Semaglutide is the way you should go since it is the strongest at stimulating GLP-1. You are guaranteed to lose wight if the thought of eating makes you want to puke.
Semaglutide dosage protocol
View attachment 3706212
My experience with Semaglutide
I full sent 1mg off the rip I'll be real because normies are jesters. The only side effects I experienced was literally not wanting to eat at all. I could not get 3 eggs down me and had to force feed myself my protein intake throughout the day. Basically it fucking works if your goal is to crush your apatite at all costs and drop weight at all costs. Going from someone who can eat an entire cow in one sitting to not being able to eat a fucking egg was pretty extraordinary to be honest.
Tirzepatide
What is it?
Tirzepatide isn’t actually GLP-1. It’s actually a 39 amino acid modified GIP molecule that has GLP-1 activity added to the molecule. That is why we call it a dual agonist. It’s having an effect on two incretin receptors. That means Tirzepatide is binding to the native GIP-R (GIP receptor) with essentially equal affinity as our body’s own GIP molecule. However, the GLP-1 binding is about 5 times weaker than what our body creates. It is an imbalanced dual agonist with preferential activity at GIP over GLP-1. This means that mg for mg, compared to Semaglutide, it will reduce apatite to a much greater degree than Tirzepatide since the drug is a full agonist of GIP-R, and only a partial agonist of GLP-1R. That partial agonist effect means you’re not fully saturating the receptor site, which means you don’t get the full effect.
The benefits of being a GIP Agonist
There are multiple benefits to GIP (glucose-dependent insulinotropic polypeptide) Agonism that Semaglutide don't produce. GIP is another hormone involved in glucose metabolism. It has an anti-emetic/anti-nausea effect which explain why some people experience less side effects. Like GLP-1, it promotes insulin secretion in response to high blood glucose levels. However, GIP has also been shown to have effects on fat metabolism and energy balance. It also has other effects, it is neuroprotective, increases bone formation, decreases stomach acid secretion, increases insulin release.
Effects on muscle mass and bodyweight
In a study comparing the weight loss effects of Semaglutide and Tirzepatide, it was found that a larger proportion of patients on Tirzepatide achieved significant weight loss.
In terms of lean mass preservation Tirzepatide does seem to preserve more than Semaglutide users.Within one year of treatment, 81.8% of Tirzepatide patients lost at least 5% of their body weight, compared to 64.6% for Semaglutide. On top of this, 62.1% of tirzepatide patients lost 10% or more of their body weight, and 42.3% lost 15% or more, significantly higher than the 38.0% and 19.3%, respectively, for semaglutide.
The side effect of Tirzepatide
The side effect profile is very much the same as Semaglutide. The side effects are typically less severe than Semaglutide allowing it to be a much more sustainable to run long term. The main side effects still are Nausea, Vomiting, Diarrhoea, Abdominal pain and constipation.
Who should run Tirzepatide?
Well, in my opinion no one, due to the existence of Retatutide (which I will explain next) which makes Tirzepatide redundant. There is a reason I do not say that Semaglutide is redundant which I will get into later on in this thread, since it can be utilised well in specific scenarios. The only reason one could consider retatrutide is due to cost issues and it being less costly than Retatrutide. But with proper sourcing you can a year supply of the superior drug for very cheap. If your are going to a run a GLP-1 year round and you cannot get your hands on retatrutide for whatever reason, Tirzepatide is your best bet.
Tirzepatide dosage protocol
View attachment 3706277
My experience with Tirzepatide
Great apatite suppression, to me on par with Semaglutide, with less side effects and not feeling nausea at the sight of food as much. As I said, it's a much more sustainable compound to run.
Retatrutide
What is it?
Retatrutide's a triple agonist, acting on GLP-1R, GIP-R and glucagon receptors (GCGR). Structurally, it is nearly identical to Tirzepatide. It is also a 39 amino acid modified GIP molecule but with changes to the amino acid structure to allow for activity at the GCGR site as well. It is also an imbalanced agonist. It is 8.9 fold more potent at GIP-R than human GIP. So this drug is way more potent than Tirzepatide at GIP-R agonism which means it further enhances any of the GIP-R effects and the GLP-1 effects in a synergistic manner.
The benefits of being a Glucagon Agonist
Glucagon increases heart rate and cardiac output/contractility, and lowers pulmonary vascular resistance. Glucagon has a multitude of effects on the liver and brown and white adipose tissue(AKA fat). In the liver it increases liver cell survival, increases lipolysis which creates free fatty acids which our body then turns into ketones for energy. In fat cells it increases thermogenesis and lipolysis which further drives that free fatty acids to ketone bodies cycle. It’s literally forcing your body to burn excess fat. This probably results in ~200 calories burnt doing nothing
Effects on muscle mass and bodyweight
Retatrutide is king out of the 3 GLP-1 Agonists when it comes to preserving lean body mass. When compared to potent GLP-1 RAs, such as tirzepatide and Semaglutide, they are associated with a significant reduction in lean mass in comparison to Retatrutide.
The side effects of Retatrutide
For the most part, the side effect profile is again the same as the other two. Nausea, Vomiting, Diarrhoea, Abdominal pain and constipation, again are the main ones. I will note in phase II clinical trials Subcutaneous hyperesthesia and skin sensitivity adverse events were reported in 7% of the participants who received Retatrutide. None of these events were severe or serious or were associated with overt skin findings, and none led to discontinuation of Retatrutide or placebo
![]()
Triple–Hormone-Receptor Agonist Retatrutide for Obesity — A Phase 2 Trial | NEJM
Retatrutide (LY3437943) is an agonist of the glucose-dependent insulinotropic polypeptide, glucagon-like peptide 1, and glucagon receptors. Its dose–response relationships with respect to side effe...www.nejm.org
Who should use Retatrutide?
Everyone. Everyone should use it. Even if you have already reached your goal body fat I would (and am currently) run Retatrutide year round to improve lipids and all your healthy blood markers and allow you to effortlessly maintain your current level of leanness.
Retatrutide dosage protocol
I would recommend starting at 1mg and titrating your way up as necessary. High dose Retatrutide can have it's benefits such as burning a few extra hundred calories through other mechanisms of lipolysis. If you want to use high dose Retatrutide, I would recommend between 5-10mg every week. I started with 5mg but will see how 10mg goes.
Sources
Sema
https://www.ncbi.nlm.nih.gov/pmc/articles/PMC8736331/#:~:text=Semaglutide
https://pubs.acs.org/doi/10.1021/acs.jmedchem.5b00726
Tirz
https://www.ncbi.nlm.nih.gov/pmc/articles/PMC7526454/#:~:text=For GLP-1R, tirzepatide was,nM (1.86, 3)
https://www.ncbi.nlm.nih.gov/pmc/articles/PMC6308032/#appsec2
https://www.ncbi.nlm.nih.gov/pmc/articles/PMC4020673/
Reta
https://www.sciencedirect.com/science/article/pii/S1550413122003126?via=ihub#sec1
https://www.nejm.org/doi/pdf/10.1056/NEJMoa2301972
https://dom-pubs.onlinelibrary.wiley.com/doi/full/10.1111/dom.15167
https://academic.oup.com/jcem/article/103/5/1804/4931669
DNP - Become a human furnace
This is a heavily fearmongered drug due to the fact that if you overdose, you are absolutely finished, nothing can be done, you are done for. Assuming you are not clinically retarded, this will not happen to you. I would actually say it is very safe if you have a good source that accurately doses the DNP, but there aren't many about.
How DNP works
DNP works by increasing metabolism through inhibiting the mitochondria from making adenosine triphosphate (ATP), which results in heat being produced instead of ATP. So put that simply in the most basic way possible, it prevents energy from being stored as fat burning it as heat instead.
DNP side effect profile
You will be sweating.
You will experience facial bloating on cycle that will resolve 1 week after your cycle ends.
You may experience a slight rash on cycle. Sometimes you'll get it, sometimes you won't. It is harmless. Use anti-histamine if you want.
Your thyroid will be tanked for 1-2 weeks after your cycle, so keep calories low for those 2 weeks to not regain fat is a good idea. (T3 replacement can also be run with the cycle).
Your apatite will go crazy, and you will mainly crave carbohydrates (solution below)
DNP effects on muscle mass
DNP is protein sparing. It only uses fats and carbs for energy. Your strength will decrease on cycle, that is because you are completely glycogen depleted and your cells are essential in overdrive. Once you carb up and DNP leaves your system you will regain your strength.
How much does DNP increase your TDEE?
DNP increases your TDEE, not your BMR. This means it acts as a multiplicator for any activity that you do. DNP powder will increase your TDEE by ~15% and crystal will increase your TDEE by ~11% for every 100mg consumed after the DNP has built up in your system which is after about 5-6 days unless you front load it, which I would not recommend due to the fact that dealers may miss dose the DNP and you could be consuming more than you think, which can be fatal if you are at high dosages.
DNP dosage protocol
Always start low and titrate DNP up for the reason I just mentioned. 200mg will give help you out, but 400mg mogs everything to oblivion. Do not exceed 600mg, ESPECIALLY after you have reached peak DNP concentration of a certain dose at around day 5. If you are looking for good steady weight loss 200mg is a perfect dosage that will give you all the benefits with minimal heat and side effects.
The best way to run DNP
DNP solo is great, it does what it says. The only problem is that DNP will ramp up your apatite to another level. You will feel orgasmic whilst eating an apple. This can lead to you uncountably eating. To combat this using a GLP-1 Agonist is ideal. The GLP-1 Agonist as discussed above will nuke your apatite and the DNP will ramp up your metabolism. I would recommend using either Semaglutide or Tirzepatide due to the fact they are just more potent apatite suppressors than Retatutide. We do not really care for the increased metabolic effects that Retatutude would give, since we have given that job to DNP, we just need the apatite to be gone.
Benefits of running DNP
At the end of the cycle, with DNP and GLP-1 Agonists you will be left disgustingly insulin sensitive since DNP sensitizes insulin
Obviously you will become dick skin shredded
DNP releases releases a tonne of PUFA
DNP is neurogenic
DNP is anti-catabolic
DNP removes visceral fat first
Some DNP studies show that is may have protective effects on mitochondria
My experience with DNP
I have ran 3 DNP cycles now. One was complete shambles I'll be real since DNP at 500mg ramped up my apatite so much that the whole kitchen got consumed within minutes. After that shit show, I paired DNP with Tirzepatide and it was a prefect cycle. My apatite was under control and DNP worked as it should. I lost 12lbs in 14 days (excluding any water weight). I have seen countless great fat loss experiences though the use of DNP here also. Pretty use Clavicular has lost 14lbs in 15 or so days, or something along those lines.
Clenbuterol and Sambutemol - Blow up your heart theory.
These are not drugs I would personally recommend, but despite the fact I am not a fan of the side effect profile and the fat burning capabilities aren't near the level of other compounds here, it is still a method to burn a few extra hundred calories, so I will go into it anyway.
How many calories will Clenbuterol burn
It will only burn roughly an extra 200 calories per day. Sure, those calories will add up in time. Over an entire month that's another 6000 calories burnt. So yes, it's some additional fat loss, but given the side effect profile, and that you haven't even lost a whole kilo of fat after a whole month, it's not worth it, especially when drugs like DNP which can close to double your normal TDEE, with a much more favourable side effect profile in my opinion (assuming you skip the death part).
How Clenbuterol works
For the most part, it really just makes you jittery and shaky as shit and will increase heart rate, which all will result is greater caloric expenditure throughout the day.
Clenbuterol side effect profile
Shaky hands/jittery
Anxiety
Feeling warmer
Increased heart rate
Muscle cramps
Apatite suppression
The main reason not to run clenbuterol is due to its effects on your heart. Clenbuterol is shown to cause cardiac hypertrophy (disease in which the heart muscle becomes thickened). This is reason enough not to touch this shit.
Clenbuterol dosage protocol
I'll start by saying that the "2 weeks on 2 weeks off" is a gymbro meme. It is a theory where people think that Clenbuterol has to be cycled off completely to allow beta2 receptors to upregulate and recover sensitivity. Clenbuterol still works after 2 weeks, it simply just is not as effective. After 2 to 3 week is about the time the dosage should be bumped by another 20mcg. By bumping it up in this gradual manor, the increased metabolic rate can be taken advantage of for the entire duration of the cutting phase, instead of having heightened fat bring potential for only 2 weeks, then taking 2 weeks off before you can reap those benefits again. So, when dosing Clenbuterol, use the pyramid scheme and increase the dosage every 2-3 weeks.
My experience with Clenbuterol
I ran it ages ago, shit decision. Don't make the same mistake. Yeah, it works, but I will not run again, it isn't worth the slight increase in fat loss. I could have achieved the same effect by walking for 30 minutes outside and not have any sides, so I can't see why anyone would run this compound. When on it I felt slightly warm, slightly harder to fall asleep, resting heart rate increased and my hands were a bit shaky.
BAM15 - DNP dethroned
This shit would be fucking insane. I do not have personal experience with this one, and I don't think anyone does here either. I've read about some users using it on Reddit.
BAM15 mechanism of action
It works in the same way that DNP does. It's a mitochondrial uncoupler. That means it disrupts the link between electron transport and ATP synthesis in mitochondria, as I explained with DNP above.
Benefits of BAM15
Fat loss - increasing metabolism
Reduced oxidative stress - Unlike other uncouplers, BAM-15 is thought to generate less oxidative stress, making it potentially safer.
Improved insulin sensitivity - By reducing the body’s reliance on ATP for energy production, BAM-15 may improve metabolic functions, including insulin sensitivity.
Why is it better/different than DNP?
As I said above, DNP is perfectly safe at regular dosages. This just happens to be safer since it reduces oxidative stress. The biggest benefit of BAM15 is it's selectivity.
BAM15 administration led to increased energy expenditure, improved insulin sensitivity, and reduced body fat without affecting food intake or lean mass. These effects were attributed to enhanced mitochondrial respiration and sustained activation of AMP-activated protein kinase.
![]()
BAM15-mediated mitochondrial uncoupling protects against obesity and improves glycemic control - PubMed
Obesity is a leading cause of preventable death worldwide. Despite this, current strategies for the treatment of obesity remain ineffective at achieving long-term weight control. This is due, in part, to difficulties in identifying tolerable and efficacious small molecules or biologics capable...pubmed.ncbi.nlm.nih.gov
Going beyond fat loss
BAM15 demonstrated protective effects in models of acute kidney injury and sepsis by reducing mitochondrial reactive oxygen species (ROS) production and mitigating kidney damage. It also decreased the release of mitochondrial DNA into circulation, a marker of tissue injury, and improved survival rates in septic mice .
![]()
BAM15 treats mouse sepsis and kidney injury, linking mortality, mitochondrial DNA, tubule damage, and neutrophils - PubMed
Sepsis pathogenesis is complex and heterogeneous; hence, a precision-medicine strategy is needed. Acute kidney injury (AKI) following sepsis portends higher mortality. Overproduction of mitochondrial ROS (mtROS) is a potential mediator of sepsis and sepsis-induced AKI. BAM15, a chemical...pubmed.ncbi.nlm.nih.gov
In vitro studies indicated that BAM15 inhibited proliferation and induced apoptosis in acute myeloid leukemia (AML) cells. The mechanism involved a disturbance in ROS production balance, and BAM15 enhanced the efficacy of the chemotherapeutic agent cytarabine in vivo.
![]()
The new mitochondrial uncoupler BAM15 induces ROS production for treatment of acute myeloid leukemia - PubMed
Acute myeloid leukemia (AML) is a malignant proliferative disease of myeloid hematopoietic origin and cannot be treated appropriately at present. This is due to the fact that leukemia cells are not sensitive to some of the traditional chemotherapy drugs. Or some chemotherapeutic drugs are too...pubmed.ncbi.nlm.nih.gov
BAM15 exhibited activity against Toxoplasma gondii by inhibiting mitochondrial oxidative phosphorylation in the parasite, leading to decreased ATP levels and increased ROS production. These effects were observed both in vitro and in vivo, suggesting BAM15's potential as an antiparasitic agent.
![]()
Effect of the mitochondrial uncoupling agent BAM15 against the Toxoplasma gondii RH strain and Prugniaud strain - PubMed
BAM15 had excellent anti-T. gondii activity in vitro and in vivo with an EC50 value of 1.25 μM, while the IC50 of BAM15 in Vero cells was 27.07 μM. Notably, BAM15 significantly inhibited proliferation activity of T. gondii RH strain and Prugniaud strain (PRU), caused T. gondii death...pubmed.ncbi.nlm.nih.gov
Unlike uncouplers like DNP, BAM15 does not depolarize the plasma membrane, thereby reducing off-target effects and cytotoxicity.
![]()
Identification of a novel mitochondrial uncoupler that does not depolarize the plasma membrane - PubMed
Dysregulation of oxidative phosphorylation is associated with increased mitochondrial reactive oxygen species production and some of the most prevalent human diseases including obesity, cancer, diabetes, neurodegeneration, and heart disease. Chemical 'mitochondrial uncouplers' are lipophilic...pubmed.ncbi.nlm.nih.gov
BAM15 side effect profile
There are actually minimal side effects being reported, with the worst side effect being simply more sweat during cardio. Side effects would be more apparent at high dosages. Some people have reported hiccups (JFL), as well as some slight heartburn at times.
BAM15 dosage protocol
From what I have read, users have dosed anywhere from 100mg a day to 300mg a day, split into sperate dosages.
Personal experience with BAM15
Nothing.
Protein Sparing Modified Fasting (PSFM)
What is PSMF?
PSMF is a diet that will allow you to lose weight quickly while preserving your lean tissue and muscle mass. It involves eating mostly protein-rich foods and minimizing the intake of carbohydrates and fat.
How PSMF works
The greater the deficit you create, the greater the weight loss. The quickest way to lose wight would be to eat nothing (well, maybe water fast on DNP but do not do that since you probably won't be able to move). The problem with just eating nothing is after around 24-36 hours your body will begin to break down muscle and lean tissue to convert this protein into glucose to fuel your brain, heart, and other vital organs. This is not good and not what we want. This breakdown of muscle and lean tissue can decrease your metabolic rate, or the number of calories your body burns at rest each day, making it difficult to sustain your rate of weight loss. Fortunately, animal and human studies have shown that supplementing a fast with protein can reduce or even eliminate the risk of muscle loss and metabolic slowdown.
During periods of extreme low calorie intake, your body creates glucose through a process in the liver called gluconeogenesis (GNG). In this process, protein is broken down into amino acids, which are then converted into glucose. To obtain the amino acids needed for GNG, your body must break down lean tissue and muscle. Research has shown, however, that eating protein increases the concentration of amino acids in your blood for up to 6-8 hours. Eating a protein-rich meal provides your body with a source of amino acids, preventing it from needing to cannibalize muscle tissue to fuel GNG. Continued protein intake throughout the day provides a dietary source of amino acids to fuel GNG, even at a significantly reduced calorie intake. This is the best of both worlds: rapid weight loss without sacrificing muscle tissue.
How to do PSMF
Your goal should be 1 gram of protein per lbs of lean bodyweight. So if you weigh 180lbs and have 15% body fat that would mean you have 153lbs of lean body mass. (180x0.85). This means you should be consuming 153grams of protein per day. Your goal should be to stay below 20g of fats and 20g of carbs per day. If you do the math (protein and carbs have 4 calories per g, and fats have 9 calories per gram) you will likely not be exceeding 1000 calories per day, which will put you in a massive deficit.
The problem with PSMF
This diet will be very hard for the average person to stick to. It will require immense willpower as you will feel immense hunger on such low calories. This will lead to you MAYBE sticking to the diet for a few days, but it is 99.99% inevitable you end up binging and eating in a major surplus, undoing all the work you have done till than point rather quickly.
The solution
This is where GLP-1 Agonists help. GLP-1 Agonists are ideal here as it will allow you to stick to such low calories with ease, allowing for rapid weight loss.
This is the protocol I would use if I needed to drop fat as quick as possible and only had access to GLP-1 Agonists. It's quick and requires no willpower.
Trenbolone - Godly recomp.
I would not hop on Tren just so you can recomp. That’s stupid as shit. If you are already roiding and have already done your first cycle, then this is an option, otherwise use one of the other options mentioned in this thread.
Why Tren is great for super recomp
Tren is extremely anti-catabolic. It is the most anti-catabolic steroid in existence. It has an extremely high AR potency. At the androgen receptor, Trenbolone is approximately 4.5x more potent than Testosterone.
Why is it so anti-catabolic?
It has this effect since there are multiple pathways that is decreases glucocorticoids.
Tyrosine aminotransferase plays a role in gluconeogenesis, the metabolic pathway that converts amino acids into glucose or energy. Tren has been shown to lower Tyrosine Aminotransferase levels in the liver, thereby slowing the degradation of tyrosine and reducing overall protein breakdown.
Tren amplifies the responsiveness of muscle satellite cells to IGF-1, increasing their proliferation even at standard hormone levels. This heightened sensitivity supports more efficient muscle growth and complements its anti-catabolic actions, also contributing to better insulin signaling.
How to run Tren for recomp
I wouldn’t run it long. Maybe a month to a month and a half. No more. You want to be in a very aggressive deficit during this time and make sure you stick to it every day to make the most of the cycle. You can achieve this through the use of GLP-1 Agonists. Due to the fact that Semaglutide and Tirzepatide provide the greatest apatite suppression I would recommend using one of those two. You are doing to be able to drop an incredible amount of fat whilst also putting on lean tissue.
Precautions
As you know, hair is life. If your are already on steroids and not using at very minimum a 5ARi inhibitor, ideally Dutasteride, your fucking clueless. Get on one ASAP. What’s also necessary when running highly androgenic substances is RU58841. I have a thread going through all of that here. Make sure you use it, especially when running such compounds, or you will greatly regret it, and will by flying to Turkey shortly.
Tren side effect profile
Obviously side effect are dose dependent. Everyone also reasons differently, some can use Tren without issues, and some claim they became gay.
I will leave this part empty, so you do your own research on the compound to decide is the risk to reward ratio is worth it.
Cardarine (GW501516) - You mean cancerine?
What is Cancerine?
Cardarine is a PPAR-delta receptor agonist. It activates the PPAR-delta pathway which increases the body’s ability to burn fat and increase indurance.
How Cancerine aids in fat loss
Cardarine is an endurance enhancer rather than a fat burner. If you are not doing cardio, then this drug would provide absolutely zero benefits to you. It shits you to a fat metabolism, and when you exercise you will have greater endurance to be able to do more in less time, and for longer. Obviously this will result in more calories burnt via cardio to aid in your calorie deficit.
Cancerine side effect profile
Cancer first and for most (reason enough not to touch that shit)
Spike your apatite to another level (obviously not what you want when getting lean)
Make you thirsty
Headaches
And surprisingly makes people feel lethargic despite its increased endurance effects
My experience with Cancerine
I wasn’t stupid to try this shit. So I cannot comment. I also very much dislike cardio that’s not in the form of sports, so this drug would provide no purpose for me. Even if you were grinding out cardio, I would not recommend this due to the increased cancer risk.
Triiodothyronine (T3)
What is T3?
T3 is thyroid hormone produced primarily by the thyroid gland and is also converted from T4 in tissue through the body. It regulates multiple things such as your metabolism, body temperature, heart rate etc.
How much will T3 increase TDEE?
I can’t say. It depends on what your TDEE and thyroid function was like in the first place as well as how sensitive you are to the T3 (there's generally not an astronomical amount of difference in sensitivity between users, but certainly enough to make a difference).
T3 dosage protocol
I have seen good results of people running 12.5-37.5mcg every day. I personally would not recommend going below 25mcg, and I would not go above 50mcg.
T3 side effect profile
Nuked TSH levels, you would basically be hyperthyroid if overdosed
Increased heat
Anxiety
Headaches
Cramps
Trouble falling asleep
Increased hunger
Increased heart rate
My experience with T3
When I ran t3 solo, the only side effects I experienced was increased heart rate, and if the dosage was too high, mild anxiety. The fat loss was OK, but t3 only really becomes useful when combined with DNP which down regulates your thyroid, so using a replacement dose of t3 then would be the only real valid time to use.
Typically if people stall their weight loss on DNP, and they weren’t supplementing replacement dosage of t3, adding it in will allow them to continue to drop.
Water Fasting
What is water fasting?
Unless you are clinically retarded, you likely do not need an explanation for what water fasting is. Essentially it is not eating anything at all apart from water. That's it. The only thing that is allowed to be consumed on top of water is electrolytes (potassium chloride and salt).
Could water fasting mog DNP?
You are burning your entire resting metabolic rate each day plus any cardio on top. Matching this with DNP requires moderate or upper dosage levels with hellish side effects.
It's easier to fast than it is to resist DNP carb cravings and the ghrelin spikes (however this is not the case with GLP-1 Agonist + DNP)
It's actually easier for most people to not eat at all than it is eat at a deficit because hunger hormones will still be active but they are less active on fasts.
Its free where as DNP is not
You could be more functional running on ketones than you are dealing with DNP heat and lethargy
Fasting is excellent for your gut, liver, kidneys, and wipes out insulin & leptin resistance
Water fasting for more than 3 days
If you water fast for more than 3 days without a refeed, it is recommended to use electrolyte water. It's just water with salt and potassium chloride. You want to get the ratio of sodium to potassium chloride right as low sodium relative to potassium causes drop in blood pressure, dizziness and racing heart. Lack of potassium causes cramps and high bp.
Muscle preservation
I would not use this method if you have a good amount of muscle mass built up, I would only use it conservatively, like once a month. If you have muscle to preserve, opt for another option like PSMF.
How I would utilise water fasting
I would not personally use water fasting to get myself shredded, but there are definite benefits from water fasting like autophagy as well as fat loss. I would recommend using fasting once a month for 3 days or so to be able to drop a full kg whilst retaining 99,99% of your muscle mass, as well as improving your gut and giving your body a rest from digestion.
ECA stack
What is an ECA stack?
ECA stack contains Ephedrine (banned or restricted in many countries, for over-the-counter sale due to health concerns), Caffeine and Aspirin. I will break down what each compound in this stack does.
Breakdown of what each compound in the stack does
Ephedrine has potent thermogenic and fat-burning properties. Research has demonstrated that ephedrine effectively increases metabolic rate, promotes fat oxidation, and, when combined with caffeine and aspirin, enhances these effects further. Ephedrine functions as a beta-adrenergic agonist, stimulating beta receptors on fat cells. This activation increases the release of norepinephrine, a neurotransmitter that signals fat cells to release stored fat into the bloodstream for energy utilization (AKA lipolysis).
Caffeine is used because when Ephedrine is combined with caffeine, ephedrine's thermogenic effects are amplified. Caffeine inhibits the enzyme phosphodiesterase, which breaks down cyclic AMP (cAMP). Elevated cAMP levels prolong the action of norepinephrine, enhancing fat breakdown and energy expenditure.
Aspirin does not directly cause fat loss, but studies show when it is combined with Ephedrine aspirin significantly increased post-meal metabolic rate in obese women, compared to ephedrine alone.
![]()
Aspirin potentiates the effect of ephedrine on the thermogenic response to a meal in obese but not lean women - PubMed
The effect of ephedrine (30 mg) and aspirin (300 mg) on the acute thermogenic response to a liquid meal (250 kcal) was investigated in lean and obese women (n = 10 each group). Resting metabolic rate (RMR) was measured prior to each of the following treatments: meal only (M), meal plus ephedrine...pubmed.ncbi.nlm.nih.gov
How many calories will ECA stack burn
You will get an extra 100-200 calories burnt per day using an ECA stack. IMO for the same calories burnt, I would much rather use this than something like Clenbuterol.
![]()
Aspirin potentiates the effect of ephedrine on the thermogenic response to a meal in obese but not lean women - PubMed
The effect of ephedrine (30 mg) and aspirin (300 mg) on the acute thermogenic response to a liquid meal (250 kcal) was investigated in lean and obese women (n = 10 each group). Resting metabolic rate (RMR) was measured prior to each of the following treatments: meal only (M), meal plus ephedrine...pubmed.ncbi.nlm.nih.gov
![]()
The effect of ephedrine/caffeine mixture on energy expenditure and body composition in obese women - PubMed
Treatment with beta 2-agonists promotes fat loss and muscle growth in numerous species, but human studies are lacking. We studied the effect of a compound with beta 2-agonistic properties (ephedrine 20 mg/caffeine 200 mg [E + C]). Fourteen obese women were treated with a 4.2-MJ/d diet and either...pubmed.ncbi.nlm.nih.gov
ECA side effect profile
Increased heart rate
Increased blood pressure
Anxiety
Jitteriness
Insomnia
The normie method
How to determine your maintenance calories
Just find you maintenance calories by eating and tracking everything for a week, and weighing yourself every day. At the end of the week, see how much weight you gained/lost. Then add up your calories for the week and divide by 7 to find how many calories you ate on average per day. Multiply how much weight you gained/lost in that week by either 3500 if you are working in lbs or 7700 if you are working in KG. This will show you how many calories over or under you maintenance you ate over the week. You have now determined your maintenance calories.
500 deficit bro
Simply subtract 500 calories from whatever number you have calculated using the method above. You can use caffeine and nicotine to help supress your apatite to help you stick to the diet. This is the slowest method but it is side effect free.
Tags: @Jonas2k7 @Clavicular @MyDreamIsToBe183CM @Bitterschön[/USER[/CENTER]
[QUOTE="chadisbeingmade, post: 20688696, member: 55627"]
[CENTER][ATTACH type="full" alt="1746468757756.png"]3707010[/ATTACH]
[B][SIZE=26px][U]The Ultimate Fat Loss Guide - Everything From BAM15 To "Just Don't Eat Bro" - The Truth About Leanmaxxing[/U][/SIZE][/B]
[SIZE=22px]Part 3[/SIZE]
[COLOR=rgb(243, 121, 52)][SIZE=18px][B]Introduction[/B][/SIZE][/COLOR]
[SPOILER]
We all know leanmaxxing is the #1 looksmax. It is the only looksmax that can give a surgery tier ascension. I'm shocked when I receive a PM from someone who has been here for years and has not even completed step one. They look like they've been bulking for the past 2 years instead. It obviously isn't as east as "just put the fork down bro" for most people, otherwise you would all be dick skin shredded with veins running up your abdomen. So, we will look at all the methods here to actually achieve a shredded body, which is the foundation of all looksmax endeavours.
[/SPOILER]
[B][COLOR=rgb(251, 160, 38)][SIZE=18px]How much difference does fat loss really make?[/SIZE][/COLOR][/B]
[SPOILER]
A fucking tonne. Everyone greatly underestimate how much difference a few KGs of fat can make to your facial appearance. Many get demotivated quickly. Many of you are 20%+ bodyfat (although you think your 15%). The weight drop until about 15-18% really will not effect your facial aesthetics in any drastic way. For example, say you are 25% body fat. Dropping from that 25% to 18% will make a negligible difference.
"I've lost 8kg but it made almost no difference, leanmax is cope". Well yes, you've only now entered the territory of being lean(ish). You were fat, now you are less fat, but still relatively fat. Thankfully, although it may be demotivating to get to 15-18% with almost no ascension, from here on out, you will start to see changes, the more you edge closer to 15%, then 14% etc, all the way down to 10%.
[COLOR=rgb(243, 121, 52)][SIZE=18px][B]Real life examples [/B][/SIZE][/COLOR]
This is the guy that appears on google when you search "hollow cheeks", I think.
Exhibit A:
[SPOILER]
[B][SIZE=22px]HOLLOW CHEEKS WHERE???[/SIZE][/B]
[ATTACH type="full" alt="1746450433894.png"]3706432[/ATTACH]
[/SPOILER]
A few KGs later:
[SPOILER]
[ATTACH type="full" alt="1746450425067.png"]3706431[/ATTACH][ATTACH type="full" alt="1746450411127.png"]3706430[/ATTACH]
[/SPOILER]
Exhibit B
Boneless looking white guy no one would look twice at:
[SPOILER]
[ATTACH type="full" alt="1746450373198.png"]3706426[/ATTACH]
[/SPOILER]
Literally 5-7kg later:
[SPOILER]
[ATTACH type="full" alt="1746450185033.png"]3706413[/ATTACH]
[/SPOILER]
My point here is that, no you aren't necessarily going to ascend to Chad from MTN though leanmaxing, but the very vast majority of you will ascend to a large degree. There are countless more insane leanmax transformation, I just don't want to flood the whole thread with them. Not to mention, in the before pics, they are not fat by any stretch of the imagination, they just aren't shredded.
There are a very small minority that no matter what you do your face will remain a bloated mess. This means your boneless. Unless you are 10%, don't think it's over like this guy.
[SPOILER]
Not a single bone visible in his face. Not one.
[ATTACH type="full" alt="1746450150194.png"]3706410[/ATTACH]
[/SPOILER]
[/SPOILER]
[SIZE=18px][B][COLOR=rgb(250, 197, 28)]What compounds and methods exist to get shredded?[/COLOR][/B][/SIZE]
[SPOILER]
This thread contains all the information you could need about the following methods of leanmaxing:
GLP-1 Agonists - The foundation of everything.
DNP - Become a human furnace.
Clenbuterol and Salbutamol - Blow up your heart theory.
BAM15 - DNP dethroned
Protein Sparing Modified Fasting (PSMF)
Trenbolone - Godly recomp
Cardarine - You mean cancerine?
Triiodothyronine (T3)
Water Fasting
500 calorie deficit bro
I will outline every method you can use to get shredded as fuck that goes beyond the normie advice of "500 calorie deficit bro" or "just move more g". I will go through everything, if its not here it doesn't exist. I do not necessarily recommend some of these methods, I will outline which I do or do not recommend. I will go through everything from pharmaceuticals to natural methods. Some of these categories will overlap since they can be used in conjunction with each other.
[/SPOILER]
[B][COLOR=rgb(243, 121, 52)][SIZE=18px]GLP-1 Agonists - The foundation of everything[/SIZE][/COLOR]
[SIZE=18px][SPOILER][/SPOILER][/SIZE][SPOILER][/spoiler][/B][SPOILER]
When talking about fat loss, we are looking at calories in vs calories out. It is that simple. If anyone tells you otherwise they are clinically retarded and should immediately be put on ignore . GLP-1 Agonists for the most part (I will explain), focus on the calories in portion of weight loss.
So, the 3 main GLP-1 Agonists are Semaglutide. Tirzepatid, and Retatrutide. There's also Bioglutide, but reseach and development is still being done.
I will go onto the following topics about each GLP-1 Agonist:
[B][SIZE=26px][U][COLOR=rgb(243, 121, 52)]Semaglutide[/COLOR][/U][/SIZE][/B]
[SIZE=18px][B][COLOR=rgb(251, 160, 38)]What is it?[/COLOR][/B][/SIZE]
To put it as simply as possible, it's just an apatite suppressant. It is a GLP-1 receptor agonist medication used to treat type 2 diabetes and obesity. It works by mimicking the natural hormone GLP-1. Semaglutide is a single agonist. It only effects GLP-1R (GLP-1 receptors). It has the highest affinity for its target site. Semaglutide is about 94% identical to human produced GLP-1. GLP-1 has multiple effects. To mention a few it decreased hunger and food noise, delayed gastric emptying, increased satiety, decreased glucagon secretion, increased pancreatic beta cell function.
[B][COLOR=rgb(251, 160, 38)][SIZE=18px]Effects on muscle mass[/SIZE][/COLOR][/B]
Out of the 3 main GLP-1 Agonists, Semaglutide has the worst muscle wastage to fat loss ratio compared to the other agonists. This is because it doesn't have the other methods of action that will help to relieve side effects and improve nutrient partitioning (amongst other things) to preserve lean mass. The muscle mass loss can be mitigated to a large degree by making sure you continue to have a high protein diet (which may be hard if you want to puke every time you eat), and continue weight training. The drug itself is not muscle wasting like some people seem to believe. The muscle loss is a direct cause of the aggressive deficit.
[B][COLOR=rgb(251, 160, 38)][SIZE=18px]The side effects of Semaglutide[/SIZE][/COLOR][/B]
The most common would be Nausea which is experienced by around 43.9% of users on this highest dosage of Semaglutide (2.4mg). Vomiting, Diarrhoea, Abdominal pain and constipation are amongst the most common side effects. You may feel sick every time you think about eating, which is a large reason why it works, but obviously this is not ideal. Semaglutide has the harshest side effects out of the 3. If you are a jester you can read this seemingly never ending list of side effects you 100% are not going to get, but I respect normies for the fearmongering:
[SPOILER]
[URL unfurl="true"]https://www.mayoclinic.org/drugs-supplements/semaglutide-subcutaneous-route/description/drg-20406730#drug-side-effects[/URL]
[/SPOILER]
[B][COLOR=rgb(251, 160, 38)][SIZE=18px]Misconceptions[/SIZE] [/COLOR][/B]
You may see the words "Ozempic face" or "Ozempic butt" or "Ozempic anything" thrown about by the media, people on Reddit and forum retards like [USER=24351]@JohnDoe . It is pure fearmongering and there is absolutely nothing that makes Semaglutide (Ozempic) or any other GLP-1 agonist prematurely age your face. The drug simply helps you lose weight. You will end up looking the exactly the same weather you drop the weight via willpower or GLP-1 agonists. This applies for the 3 GLP-1 agonists that I will be talking about, so I won't bother repeating this.
Who should use Semaglutide?
If your sole goal is just straight up weight loss, Semaglutide is the way you should go since it is the strongest at stimulating GLP-1. You are guaranteed to lose wight if the thought of eating makes you want to puke.
Semaglutide dosage protocol
View attachment 3706212
My experience with Semaglutide
I full sent 1mg off the rip I'll be real because normies are jesters. The only side effects I experienced was literally not wanting to eat at all. I could not get 3 eggs down me and had to force feed myself my protein intake throughout the day. Basically it fucking works if your goal is to crush your apatite at all costs and drop weight at all costs. Going from someone who can eat an entire cow in one sitting to not being able to eat a fucking egg was pretty extraordinary to be honest.
Tirzepatide
What is it?
Tirzepatide isn’t actually GLP-1. It’s actually a 39 amino acid modified GIP molecule that has GLP-1 activity added to the molecule. That is why we call it a dual agonist. It’s having an effect on two incretin receptors. That means Tirzepatide is binding to the native GIP-R (GIP receptor) with essentially equal affinity as our body’s own GIP molecule. However, the GLP-1 binding is about 5 times weaker than what our body creates. It is an imbalanced dual agonist with preferential activity at GIP over GLP-1. This means that mg for mg, compared to Semaglutide, it will reduce apatite to a much greater degree than Tirzepatide since the drug is a full agonist of GIP-R, and only a partial agonist of GLP-1R. That partial agonist effect means you’re not fully saturating the receptor site, which means you don’t get the full effect.
The benefits of being a GIP Agonist
There are multiple benefits to GIP (glucose-dependent insulinotropic polypeptide) Agonism that Semaglutide don't produce. GIP is another hormone involved in glucose metabolism. It has an anti-emetic/anti-nausea effect which explain why some people experience less side effects. Like GLP-1, it promotes insulin secretion in response to high blood glucose levels. However, GIP has also been shown to have effects on fat metabolism and energy balance. It also has other effects, it is neuroprotective, increases bone formation, decreases stomach acid secretion, increases insulin release.
Effects on muscle mass and bodyweight
In a study comparing the weight loss effects of Semaglutide and Tirzepatide, it was found that a larger proportion of patients on Tirzepatide achieved significant weight loss.
In terms of lean mass preservation Tirzepatide does seem to preserve more than Semaglutide users.Within one year of treatment, 81.8% of Tirzepatide patients lost at least 5% of their body weight, compared to 64.6% for Semaglutide. On top of this, 62.1% of tirzepatide patients lost 10% or more of their body weight, and 42.3% lost 15% or more, significantly higher than the 38.0% and 19.3%, respectively, for semaglutide.
The side effect of Tirzepatide
The side effect profile is very much the same as Semaglutide. The side effects are typically less severe than Semaglutide allowing it to be a much more sustainable to run long term. The main side effects still are Nausea, Vomiting, Diarrhoea, Abdominal pain and constipation.
Who should run Tirzepatide?
Well, in my opinion no one, due to the existence of Retatutide (which I will explain next) which makes Tirzepatide redundant. There is a reason I do not say that Semaglutide is redundant which I will get into later on in this thread, since it can be utilised well in specific scenarios. The only reason one could consider retatrutide is due to cost issues and it being less costly than Retatrutide. But with proper sourcing you can a year supply of the superior drug for very cheap. If your are going to a run a GLP-1 year round and you cannot get your hands on retatrutide for whatever reason, Tirzepatide is your best bet.
Tirzepatide dosage protocol
View attachment 3706277
My experience with Tirzepatide
Great apatite suppression, to me on par with Semaglutide, with less side effects and not feeling nausea at the sight of food as much. As I said, it's a much more sustainable compound to run.
Retatrutide
What is it?
Retatrutide's a triple agonist, acting on GLP-1R, GIP-R and glucagon receptors (GCGR). Structurally, it is nearly identical to Tirzepatide. It is also a 39 amino acid modified GIP molecule but with changes to the amino acid structure to allow for activity at the GCGR site as well. It is also an imbalanced agonist. It is 8.9 fold more potent at GIP-R than human GIP. So this drug is way more potent than Tirzepatide at GIP-R agonism which means it further enhances any of the GIP-R effects and the GLP-1 effects in a synergistic manner.
The benefits of being a Glucagon Agonist
Glucagon increases heart rate and cardiac output/contractility, and lowers pulmonary vascular resistance. Glucagon has a multitude of effects on the liver and brown and white adipose tissue(AKA fat). In the liver it increases liver cell survival, increases lipolysis which creates free fatty acids which our body then turns into ketones for energy. In fat cells it increases thermogenesis and lipolysis which further drives that free fatty acids to ketone bodies cycle. It’s literally forcing your body to burn excess fat. This probably results in ~200 calories burnt doing nothing
Effects on muscle mass and bodyweight
Retatrutide is king out of the 3 GLP-1 Agonists when it comes to preserving lean body mass. When compared to potent GLP-1 RAs, such as tirzepatide and Semaglutide, they are associated with a significant reduction in lean mass in comparison to Retatrutide.
The side effects of Retatrutide
For the most part, the side effect profile is again the same as the other two. Nausea, Vomiting, Diarrhoea, Abdominal pain and constipation, again are the main ones. I will note in phase II clinical trials Subcutaneous hyperesthesia and skin sensitivity adverse events were reported in 7% of the participants who received Retatrutide. None of these events were severe or serious or were associated with overt skin findings, and none led to discontinuation of Retatrutide or placebo
![]()
Triple–Hormone-Receptor Agonist Retatrutide for Obesity — A Phase 2 Trial | NEJM
Retatrutide (LY3437943) is an agonist of the glucose-dependent insulinotropic polypeptide, glucagon-like peptide 1, and glucagon receptors. Its dose–response relationships with respect to side effe...www.nejm.org
Who should use Retatrutide?
Everyone. Everyone should use it. Even if you have already reached your goal body fat I would (and am currently) run Retatrutide year round to improve lipids and all your healthy blood markers and allow you to effortlessly maintain your current level of leanness.
Retatrutide dosage protocol
I would recommend starting at 1mg and titrating your way up as necessary. High dose Retatrutide can have it's benefits such as burning a few extra hundred calories through other mechanisms of lipolysis. If you want to use high dose Retatrutide, I would recommend between 5-10mg every week. I started with 5mg but will see how 10mg goes.
Sources
[/SPOILER]Sema
https://www.ncbi.nlm.nih.gov/pmc/articles/PMC8736331/#:~:text=Semaglutide
https://pubs.acs.org/doi/10.1021/acs.jmedchem.5b00726
Tirz
https://www.ncbi.nlm.nih.gov/pmc/articles/PMC7526454/#:~:text=For GLP-1R, tirzepatide was,nM (1.86, 3)
https://www.ncbi.nlm.nih.gov/pmc/articles/PMC6308032/#appsec2
https://www.ncbi.nlm.nih.gov/pmc/articles/PMC4020673/
Reta
https://www.sciencedirect.com/science/article/pii/S1550413122003126?via=ihub#sec1
https://www.nejm.org/doi/pdf/10.1056/NEJMoa2301972
https://dom-pubs.onlinelibrary.wiley.com/doi/full/10.1111/dom.15167
https://academic.oup.com/jcem/article/103/5/1804/4931669
DNP - Become a human furnace
This is a heavily fearmongered drug due to the fact that if you overdose, you are absolutely finished, nothing can be done, you are done for. Assuming you are not clinically retarded, this will not happen to you. I would actually say it is very safe if you have a good source that accurately doses the DNP, but there aren't many about.
How DNP works
DNP works by increasing metabolism through inhibiting the mitochondria from making adenosine triphosphate (ATP), which results in heat being produced instead of ATP. So put that simply in the most basic way possible, it prevents energy from being stored as fat burning it as heat instead.
DNP side effect profile
You will be sweating.
You will experience facial bloating on cycle that will resolve 1 week after your cycle ends.
You may experience a slight rash on cycle. Sometimes you'll get it, sometimes you won't. It is harmless. Use anti-histamine if you want.
Your thyroid will be tanked for 1-2 weeks after your cycle, so keep calories low for those 2 weeks to not regain fat is a good idea. (T3 replacement can also be run with the cycle).
Your apatite will go crazy, and you will mainly crave carbohydrates (solution below)
DNP effects on muscle mass
DNP is protein sparing. It only uses fats and carbs for energy. Your strength will decrease on cycle, that is because you are completely glycogen depleted and your cells are essential in overdrive. Once you carb up and DNP leaves your system you will regain your strength.
How much does DNP increase your TDEE?
DNP increases your TDEE, not your BMR. This means it acts as a multiplicator for any activity that you do. DNP powder will increase your TDEE by ~15% and crystal will increase your TDEE by ~11% for every 100mg consumed after the DNP has built up in your system which is after about 5-6 days unless you front load it, which I would not recommend due to the fact that dealers may miss dose the DNP and you could be consuming more than you think, which can be fatal if you are at high dosages.
DNP dosage protocol
Always start low and titrate DNP up for the reason I just mentioned. 200mg will give help you out, but 400mg mogs everything to oblivion. Do not exceed 600mg, ESPECIALLY after you have reached peak DNP concentration of a certain dose at around day 5. If you are looking for good steady weight loss 200mg is a perfect dosage that will give you all the benefits with minimal heat and side effects.
The best way to run DNP
DNP solo is great, it does what it says. The only problem is that DNP will ramp up your apatite to another level. You will feel orgasmic whilst eating an apple. This can lead to you uncountably eating. To combat this using a GLP-1 Agonist is ideal. The GLP-1 Agonist as discussed above will nuke your apatite and the DNP will ramp up your metabolism. I would recommend using either Semaglutide or Tirzepatide due to the fact they are just more potent apatite suppressors than Retatutide. We do not really care for the increased metabolic effects that Retatutude would give, since we have given that job to DNP, we just need the apatite to be gone.
Benefits of running DNP
At the end of the cycle, with DNP and GLP-1 Agonists you will be left disgustingly insulin sensitive since DNP sensitizes insulin
Obviously you will become dick skin shredded
DNP releases releases a tonne of PUFA
DNP is neurogenic
DNP is anti-catabolic
DNP removes visceral fat first
Some DNP studies show that is may have protective effects on mitochondria
My experience with DNP
I have ran 3 DNP cycles now. One was complete shambles I'll be real since DNP at 500mg ramped up my apatite so much that the whole kitchen got consumed within minutes. After that shit show, I paired DNP with Tirzepatide and it was a prefect cycle. My apatite was under control and DNP worked as it should. I lost 12lbs in 14 days (excluding any water weight). I have seen countless great fat loss experiences though the use of DNP here also. Pretty use Clavicular has lost 14lbs in 15 or so days, or something along those lines.
Clenbuterol and Sambutemol - Blow up your heart theory.
These are not drugs I would personally recommend, but despite the fact I am not a fan of the side effect profile and the fat burning capabilities aren't near the level of other compounds here, it is still a method to burn a few extra hundred calories, so I will go into it anyway.
How many calories will Clenbuterol burn
It will only burn roughly an extra 200 calories per day. Sure, those calories will add up in time. Over an entire month that's another 6000 calories burnt. So yes, it's some additional fat loss, but given the side effect profile, and that you haven't even lost a whole kilo of fat after a whole month, it's not worth it, especially when drugs like DNP which can close to double your normal TDEE, with a much more favourable side effect profile in my opinion (assuming you skip the death part).
How Clenbuterol works
For the most part, it really just makes you jittery and shaky as shit and will increase heart rate, which all will result is greater caloric expenditure throughout the day.
Clenbuterol side effect profile
Shaky hands/jittery
Anxiety
Feeling warmer
Increased heart rate
Muscle cramps
Apatite suppression
The main reason not to run clenbuterol is due to its effects on your heart. Clenbuterol is shown to cause cardiac hypertrophy (disease in which the heart muscle becomes thickened). This is reason enough not to touch this shit.
Clenbuterol dosage protocol
I'll start by saying that the "2 weeks on 2 weeks off" is a gymbro meme. It is a theory where people think that Clenbuterol has to be cycled off completely to allow beta2 receptors to upregulate and recover sensitivity. Clenbuterol still works after 2 weeks, it simply just is not as effective. After 2 to 3 week is about the time the dosage should be bumped by another 20mcg. By bumping it up in this gradual manor, the increased metabolic rate can be taken advantage of for the entire duration of the cutting phase, instead of having heightened fat bring potential for only 2 weeks, then taking 2 weeks off before you can reap those benefits again. So, when dosing Clenbuterol, use the pyramid scheme and increase the dosage every 2-3 weeks.
My experience with Clenbuterol
I ran it ages ago, shit decision. Don't make the same mistake. Yeah, it works, but I will not run again, it isn't worth the slight increase in fat loss. I could have achieved the same effect by walking for 30 minutes outside and not have any sides, so I can't see why anyone would run this compound. When on it I felt slightly warm, slightly harder to fall asleep, resting heart rate increased and my hands were a bit shaky.
BAM15 - DNP dethroned
This shit would be fucking insane. I do not have personal experience with this one, and I don't think anyone does here either. I've read about some users using it on Reddit.
BAM15 mechanism of action
It works in the same way that DNP does. It's a mitochondrial uncoupler. That means it disrupts the link between electron transport and ATP synthesis in mitochondria, as I explained with DNP above.
Benefits of BAM15
Fat loss - increasing metabolism
Reduced oxidative stress - Unlike other uncouplers, BAM-15 is thought to generate less oxidative stress, making it potentially safer.
Improved insulin sensitivity - By reducing the body’s reliance on ATP for energy production, BAM-15 may improve metabolic functions, including insulin sensitivity.
Why is it better/different than DNP?
As I said above, DNP is perfectly safe at regular dosages. This just happens to be safer since it reduces oxidative stress. The biggest benefit of BAM15 is it's selectivity.
BAM15 administration led to increased energy expenditure, improved insulin sensitivity, and reduced body fat without affecting food intake or lean mass. These effects were attributed to enhanced mitochondrial respiration and sustained activation of AMP-activated protein kinase.
![]()
BAM15-mediated mitochondrial uncoupling protects against obesity and improves glycemic control - PubMed
Obesity is a leading cause of preventable death worldwide. Despite this, current strategies for the treatment of obesity remain ineffective at achieving long-term weight control. This is due, in part, to difficulties in identifying tolerable and efficacious small molecules or biologics capable...pubmed.ncbi.nlm.nih.gov
Going beyond fat loss
BAM15 demonstrated protective effects in models of acute kidney injury and sepsis by reducing mitochondrial reactive oxygen species (ROS) production and mitigating kidney damage. It also decreased the release of mitochondrial DNA into circulation, a marker of tissue injury, and improved survival rates in septic mice .
![]()
BAM15 treats mouse sepsis and kidney injury, linking mortality, mitochondrial DNA, tubule damage, and neutrophils - PubMed
Sepsis pathogenesis is complex and heterogeneous; hence, a precision-medicine strategy is needed. Acute kidney injury (AKI) following sepsis portends higher mortality. Overproduction of mitochondrial ROS (mtROS) is a potential mediator of sepsis and sepsis-induced AKI. BAM15, a chemical...pubmed.ncbi.nlm.nih.gov
In vitro studies indicated that BAM15 inhibited proliferation and induced apoptosis in acute myeloid leukemia (AML) cells. The mechanism involved a disturbance in ROS production balance, and BAM15 enhanced the efficacy of the chemotherapeutic agent cytarabine in vivo.
![]()
The new mitochondrial uncoupler BAM15 induces ROS production for treatment of acute myeloid leukemia - PubMed
Acute myeloid leukemia (AML) is a malignant proliferative disease of myeloid hematopoietic origin and cannot be treated appropriately at present. This is due to the fact that leukemia cells are not sensitive to some of the traditional chemotherapy drugs. Or some chemotherapeutic drugs are too...pubmed.ncbi.nlm.nih.gov
BAM15 exhibited activity against Toxoplasma gondii by inhibiting mitochondrial oxidative phosphorylation in the parasite, leading to decreased ATP levels and increased ROS production. These effects were observed both in vitro and in vivo, suggesting BAM15's potential as an antiparasitic agent.
![]()
Effect of the mitochondrial uncoupling agent BAM15 against the Toxoplasma gondii RH strain and Prugniaud strain - PubMed
BAM15 had excellent anti-T. gondii activity in vitro and in vivo with an EC50 value of 1.25 μM, while the IC50 of BAM15 in Vero cells was 27.07 μM. Notably, BAM15 significantly inhibited proliferation activity of T. gondii RH strain and Prugniaud strain (PRU), caused T. gondii death...pubmed.ncbi.nlm.nih.gov
Unlike uncouplers like DNP, BAM15 does not depolarize the plasma membrane, thereby reducing off-target effects and cytotoxicity.
![]()
Identification of a novel mitochondrial uncoupler that does not depolarize the plasma membrane - PubMed
Dysregulation of oxidative phosphorylation is associated with increased mitochondrial reactive oxygen species production and some of the most prevalent human diseases including obesity, cancer, diabetes, neurodegeneration, and heart disease. Chemical 'mitochondrial uncouplers' are lipophilic...pubmed.ncbi.nlm.nih.gov
BAM15 side effect profile
There are actually minimal side effects being reported, with the worst side effect being simply more sweat during cardio. Side effects would be more apparent at high dosages. Some people have reported hiccups (JFL), as well as some slight heartburn at times.
BAM15 dosage protocol
From what I have read, users have dosed anywhere from 100mg a day to 300mg a day, split into sperate dosages.
Personal experience with BAM15
Nothing.
Protein Sparing Modified Fasting (PSFM)
What is PSMF?
PSMF is a diet that will allow you to lose weight quickly while preserving your lean tissue and muscle mass. It involves eating mostly protein-rich foods and minimizing the intake of carbohydrates and fat.
How PSMF works
The greater the deficit you create, the greater the weight loss. The quickest way to lose wight would be to eat nothing (well, maybe water fast on DNP but do not do that since you probably won't be able to move). The problem with just eating nothing is after around 24-36 hours your body will begin to break down muscle and lean tissue to convert this protein into glucose to fuel your brain, heart, and other vital organs. This is not good and not what we want. This breakdown of muscle and lean tissue can decrease your metabolic rate, or the number of calories your body burns at rest each day, making it difficult to sustain your rate of weight loss. Fortunately, animal and human studies have shown that supplementing a fast with protein can reduce or even eliminate the risk of muscle loss and metabolic slowdown.
During periods of extreme low calorie intake, your body creates glucose through a process in the liver called gluconeogenesis (GNG). In this process, protein is broken down into amino acids, which are then converted into glucose. To obtain the amino acids needed for GNG, your body must break down lean tissue and muscle. Research has shown, however, that eating protein increases the concentration of amino acids in your blood for up to 6-8 hours. Eating a protein-rich meal provides your body with a source of amino acids, preventing it from needing to cannibalize muscle tissue to fuel GNG. Continued protein intake throughout the day provides a dietary source of amino acids to fuel GNG, even at a significantly reduced calorie intake. This is the best of both worlds: rapid weight loss without sacrificing muscle tissue.
How to do PSMF
Your goal should be 1 gram of protein per lbs of lean bodyweight. So if you weigh 180lbs and have 15% body fat that would mean you have 153lbs of lean body mass. (180x0.85). This means you should be consuming 153grams of protein per day. Your goal should be to stay below 20g of fats and 20g of carbs per day. If you do the math (protein and carbs have 4 calories per g, and fats have 9 calories per gram) you will likely not be exceeding 1000 calories per day, which will put you in a massive deficit.
The problem with PSMF
This diet will be very hard for the average person to stick to. It will require immense willpower as you will feel immense hunger on such low calories. This will lead to you MAYBE sticking to the diet for a few days, but it is 99.99% inevitable you end up binging and eating in a major surplus, undoing all the work you have done till than point rather quickly.
The solution
This is where GLP-1 Agonists help. GLP-1 Agonists are ideal here as it will allow you to stick to such low calories with ease, allowing for rapid weight loss.
This is the protocol I would use if I needed to drop fat as quick as possible and only had access to GLP-1 Agonists. It's quick and requires no willpower.
Trenbolone - Godly recomp.
I would not hop on Tren just so you can recomp. That’s stupid as shit. If you are already roiding and have already done your first cycle, then this is an option, otherwise use one of the other options mentioned in this thread.
Why Tren is great for super recomp
Tren is extremely anti-catabolic. It is the most anti-catabolic steroid in existence. It has an extremely high AR potency. At the androgen receptor, Trenbolone is approximately 4.5x more potent than Testosterone.
Why is it so anti-catabolic?
It has this effect since there are multiple pathways that is decreases glucocorticoids.
Tyrosine aminotransferase plays a role in gluconeogenesis, the metabolic pathway that converts amino acids into glucose or energy. Tren has been shown to lower Tyrosine Aminotransferase levels in the liver, thereby slowing the degradation of tyrosine and reducing overall protein breakdown.
Tren amplifies the responsiveness of muscle satellite cells to IGF-1, increasing their proliferation even at standard hormone levels. This heightened sensitivity supports more efficient muscle growth and complements its anti-catabolic actions, also contributing to better insulin signaling.
How to run Tren for recomp
I wouldn’t run it long. Maybe a month to a month and a half. No more. You want to be in a very aggressive deficit during this time and make sure you stick to it every day to make the most of the cycle. You can achieve this through the use of GLP-1 Agonists. Due to the fact that Semaglutide and Tirzepatide provide the greatest apatite suppression I would recommend using one of those two. You are doing to be able to drop an incredible amount of fat whilst also putting on lean tissue.
Precautions
As you know, hair is life. If your are already on steroids and not using at very minimum a 5ARi inhibitor, ideally Dutasteride, your fucking clueless. Get on one ASAP. What’s also necessary when running highly androgenic substances is RU58841. I have a thread going through all of that here. Make sure you use it, especially when running such compounds, or you will greatly regret it, and will by flying to Turkey shortly.
Tren side effect profile
Obviously side effect are dose dependent. Everyone also reasons differently, some can use Tren without issues, and some claim they became gay.
I will leave this part empty, so you do your own research on the compound to decide is the risk to reward ratio is worth it.
Cardarine (GW501516) - You mean cancerine?
What is Cancerine?
Cardarine is a PPAR-delta receptor agonist. It activates the PPAR-delta pathway which increases the body’s ability to burn fat and increase indurance.
How Cancerine aids in fat loss
Cardarine is an endurance enhancer rather than a fat burner. If you are not doing cardio, then this drug would provide absolutely zero benefits to you. It shits you to a fat metabolism, and when you exercise you will have greater endurance to be able to do more in less time, and for longer. Obviously this will result in more calories burnt via cardio to aid in your calorie deficit.
Cancerine side effect profile
Cancer first and for most (reason enough not to touch that shit)
Spike your apatite to another level (obviously not what you want when getting lean)
Make you thirsty
Headaches
And surprisingly makes people feel lethargic despite its increased endurance effects
My experience with Cancerine
I wasn’t stupid to try this shit. So I cannot comment. I also very much dislike cardio that’s not in the form of sports, so this drug would provide no purpose for me. Even if you were grinding out cardio, I would not recommend this due to the increased cancer risk.
Triiodothyronine (T3)
What is T3?
T3 is thyroid hormone produced primarily by the thyroid gland and is also converted from T4 in tissue through the body. It regulates multiple things such as your metabolism, body temperature, heart rate etc.
How much will T3 increase TDEE?
I can’t say. It depends on what your TDEE and thyroid function was like in the first place as well as how sensitive you are to the T3 (there's generally not an astronomical amount of difference in sensitivity between users, but certainly enough to make a difference).
T3 dosage protocol
I have seen good results of people running 12.5-37.5mcg every day. I personally would not recommend going below 25mcg, and I would not go above 50mcg.
T3 side effect profile
Nuked TSH levels, you would basically be hyperthyroid if overdosed
Increased heat
Anxiety
Headaches
Cramps
Trouble falling asleep
Increased hunger
Increased heart rate
My experience with T3
When I ran t3 solo, the only side effects I experienced was increased heart rate, and if the dosage was too high, mild anxiety. The fat loss was OK, but t3 only really becomes useful when combined with DNP which down regulates your thyroid, so using a replacement dose of t3 then would be the only real valid time to use.
Typically if people stall their weight loss on DNP, and they weren’t supplementing replacement dosage of t3, adding it in will allow them to continue to drop.
Water Fasting
What is water fasting?
Unless you are clinically retarded, you likely do not need an explanation for what water fasting is. Essentially it is not eating anything at all apart from water. That's it. The only thing that is allowed to be consumed on top of water is electrolytes (potassium chloride and salt).
Could water fasting mog DNP?
You are burning your entire resting metabolic rate each day plus any cardio on top. Matching this with DNP requires moderate or upper dosage levels with hellish side effects.
It's easier to fast than it is to resist DNP carb cravings and the ghrelin spikes (however this is not the case with GLP-1 Agonist + DNP)
It's actually easier for most people to not eat at all than it is eat at a deficit because hunger hormones will still be active but they are less active on fasts.
Its free where as DNP is not
You could be more functional running on ketones than you are dealing with DNP heat and lethargy
Fasting is excellent for your gut, liver, kidneys, and wipes out insulin & leptin resistance
Water fasting for more than 3 days
If you water fast for more than 3 days without a refeed, it is recommended to use electrolyte water. It's just water with salt and potassium chloride. You want to get the ratio of sodium to potassium chloride right as low sodium relative to potassium causes drop in blood pressure, dizziness and racing heart. Lack of potassium causes cramps and high bp.
Muscle preservation
I would not use this method if you have a good amount of muscle mass built up, I would only use it conservatively, like once a month. If you have muscle to preserve, opt for another option like PSMF.
How I would utilise water fasting
I would not personally use water fasting to get myself shredded, but there are definite benefits from water fasting like autophagy as well as fat loss. I would recommend using fasting once a month for 3 days or so to be able to drop a full kg whilst retaining 99,99% of your muscle mass, as well as improving your gut and giving your body a rest from digestion.
ECA stack
What is an ECA stack?
ECA stack contains Ephedrine (banned or restricted in many countries, for over-the-counter sale due to health concerns), Caffeine and Aspirin. I will break down what each compound in this stack does.
Breakdown of what each compound in the stack does
Ephedrine has potent thermogenic and fat-burning properties. Research has demonstrated that ephedrine effectively increases metabolic rate, promotes fat oxidation, and, when combined with caffeine and aspirin, enhances these effects further. Ephedrine functions as a beta-adrenergic agonist, stimulating beta receptors on fat cells. This activation increases the release of norepinephrine, a neurotransmitter that signals fat cells to release stored fat into the bloodstream for energy utilization (AKA lipolysis).
Caffeine is used because when Ephedrine is combined with caffeine, ephedrine's thermogenic effects are amplified. Caffeine inhibits the enzyme phosphodiesterase, which breaks down cyclic AMP (cAMP). Elevated cAMP levels prolong the action of norepinephrine, enhancing fat breakdown and energy expenditure.
Aspirin does not directly cause fat loss, but studies show when it is combined with Ephedrine aspirin significantly increased post-meal metabolic rate in obese women, compared to ephedrine alone.
![]()
Aspirin potentiates the effect of ephedrine on the thermogenic response to a meal in obese but not lean women - PubMed
The effect of ephedrine (30 mg) and aspirin (300 mg) on the acute thermogenic response to a liquid meal (250 kcal) was investigated in lean and obese women (n = 10 each group). Resting metabolic rate (RMR) was measured prior to each of the following treatments: meal only (M), meal plus ephedrine...pubmed.ncbi.nlm.nih.gov
How many calories will ECA stack burn
You will get an extra 100-200 calories burnt per day using an ECA stack. IMO for the same calories burnt, I would much rather use this than something like Clenbuterol.
![]()
Aspirin potentiates the effect of ephedrine on the thermogenic response to a meal in obese but not lean women - PubMed
The effect of ephedrine (30 mg) and aspirin (300 mg) on the acute thermogenic response to a liquid meal (250 kcal) was investigated in lean and obese women (n = 10 each group). Resting metabolic rate (RMR) was measured prior to each of the following treatments: meal only (M), meal plus ephedrine...pubmed.ncbi.nlm.nih.gov
![]()
The effect of ephedrine/caffeine mixture on energy expenditure and body composition in obese women - PubMed
Treatment with beta 2-agonists promotes fat loss and muscle growth in numerous species, but human studies are lacking. We studied the effect of a compound with beta 2-agonistic properties (ephedrine 20 mg/caffeine 200 mg [E + C]). Fourteen obese women were treated with a 4.2-MJ/d diet and either...pubmed.ncbi.nlm.nih.gov
ECA side effect profile
Increased heart rate
Increased blood pressure
Anxiety
Jitteriness
Insomnia
The normie method
How to determine your maintenance calories
Just find you maintenance calories by eating and tracking everything for a week, and weighing yourself every day. At the end of the week, see how much weight you gained/lost. Then add up your calories for the week and divide by 7 to find how many calories you ate on average per day. Multiply how much weight you gained/lost in that week by either 3500 if you are working in lbs or 7700 if you are working in KG. This will show you how many calories over or under you maintenance you ate over the week. You have now determined your maintenance calories.
500 deficit bro
Simply subtract 500 calories from whatever number you have calculated using the method above. You can use caffeine and nicotine to help supress your apatite to help you stick to the diet. This is the slowest method but it is side effect free.
Tags: @Jonas2k7 @Clavicular @MyDreamIsToBe183CM @Bitterschön