Masculine Facial Thirds

LowInhibIncel

LowInhibIncel

KHHV | 27 | Lowly Accountant
Joined
May 18, 2020
Posts
22
Reputation
648
I was thinking about facial thirds today on my couch. Don't worry I wasn't smoking a blunt this time, but the bong was fully loaded
1590712002370

I believe the logic that all facial thirds should be even spits in the face of dimorphism

1590711059123

(even if you gave this man a wider chin and jaw. He still wouldn't be dimorphic. Equal facial thirds fail to be a dimorphic trait)


Maybe equal facial thirds is ideal for aesthetics, but people aren't swiping on tinder for aesthetics.
When the museums are replete with paintings and sculptures. They're swiping on sexy(dimorphic) people

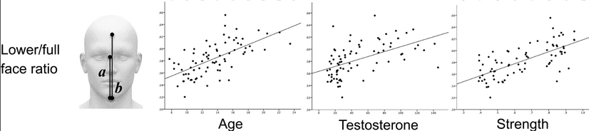
While I said previously I think lower face:full face ratio is the most dimorphic ratio a man can have. This chart is another nail in the coffin of equal facial thirds for men

1590710706919


yes it stands above
- fwhr
- bizygomatic : bigonial ratio
- mandible length
- chin width

We even see extreme examples like Zayn Malik with a ratio of .7 standing in for the lack of other dimorphic traits
We can derive from this that
- the upper third should be the shortest
- lower third the longer
- middle thirds in the middle


Let's go over some celebs with these ideal ratios. Then some who have the opposite

Ideal Facial Thirds

1590711242430


1590711275146


1590711333825

(measuring from the widows peak)

Non-Ideal Facial Thirds

1590711399200

(cred to @SexuallyAbusive for the photo)

1590711464498

(he actually had the ideal facial thirds for a woman longer upper third, midface second lower face shortest)


Exceptions
Now some people are probably saying not all attractive man fit into these facial thirds. Yes, while this may be true the only reason they can afford this is because other features on their face make up for the lack of dimorphism in facial thirds

Like Brad Pitts Brick Jaw

1590711628290


but even then is lower third his still the longest third of his face

1590720643983




Tagged Users (If you want to get tagged in new threads, or removed from tag list PM me or drop a comment)
@JFLbuddyboyo , @the next o'pry , @SpearOfOrion , @GigaTyroneOrDeath , @PjSon , @Vvvvxxxx , @IndianJock, @stuckneworleans and @tyronelite

My Most Liked Threads

Why Black People Like Watermelon
Guide to EscortMaxxing
How Big Should Your Jaw, Neck and Shoulders Be
Most Male Models Have Small Skull

New Threads
Future of Marriage in The West
Why Woman Give Shit Advice
Ideal Shoulder Width for Slaying
 
Last edited:
  • +1
  • Love it
Reactions: AscendingHero, Deleted member 9003, Julius and 20 others
insane rep ratio
 
  • +1
Reactions: shogrim, EverythingMattersCel, Patrick Baitman and 3 others
MY IQ IS OVER 170 AFTER THIS THREAD
200.gif
 
  • JFL
  • +1
  • Woah
Reactions: Incoming, CursedOne, Chadeep and 2 others
high iq m8
 
  • +1
Reactions: LowInhibIncel
This all based fundamentally on absolutely nothing
 
  • +1
  • JFL
Reactions: MrGlutton and LowInhibIncel
I was thinking about facial thirds today on my couch. Don't worry I wasn't smoking a blunt this time, but the bong was fully loaded
View attachment 432215
I believe the logic when all facial thirds should be even spits in the face of dimorphism

View attachment 432189
(even if you gave this man a wider chin and jaw. He still wouldn't be dimorphic. Equal facial thirds fail to be a dimorphic trait)


Maybe equal facial thirds is ideal for aesthetics, but people aren't swiping on tinder for aesthetics.
When the museums are replete with paintings and sculptures. They're swiping on sexy(dimorphic) people

While I said previously I think lower face:full face ratio is the most dimorphic ratio a man can have. This chart is another nail in the coffin of equal facial thirds for men

View attachment 432184

yes it stands above
- fwhr
- bizygomatic : bigonial ratio
- mandible length
- chin width

We even see extreme examples like Zayn Malik with a ratio of .7 standing in for the lack of other dimorphic traits
We can derive from this that
- the upper third should be the shortest
- lower third the longer
- middle thirds in the middle


Let's go over some celebs with these ideal ratios. Then some who have the opposite

Ideal Facial Thirds

View attachment 432194

View attachment 432195

View attachment 432197

(measuring from the widows peak)

Non-Ideal Facial Thirds

View attachment 432200

(cred to @SexuallyAbusive for the photo)

View attachment 432203
(he actually had the ideal facial thirds for a woman longer upper third, midface second lower face shortest)


Exceptions
Now some people are probably saying not all attractive man fit into these facial thirds. Yes, while this may be trust the only reason they can afford this is because other features on their face make up for the lack of dimorphism in facial thirds

Like Brad Pitts Brick Jaw

View attachment 432209



Tagged Users (If you want to get tagged in new threads, or removed from tag list PM me or drop a comment)
@JFLbuddyboyo , @the next o'pry , @SpearOfOrion , @GigaTyroneOrDeath , @PjSon , @Vvvvxxxx , @IndianJock, @stuckneworleans and @tyronelite

My Most Liked Threads

Why Black People Like Watermelon
Guide to EscortMaxxing
How Big Should Your Jaw, Neck and Shoulders Be
Most Male Models Have Small Skull

New Threads
Future of Marriage in The West
Why Woman Give Shit Advice
Ignore the eyes How's mine
 

Attachments

  • 15907128236732011012169981881336.jpg
    15907128236732011012169981881336.jpg
    85 KB · Views: 156
  • JFL
  • So Sad
Reactions: Chadeep, LowInhibIncel, Chintuck22 and 1 other person
@LowInhibIncel

rate this lower third.

Brian-Stann-e1503332328189.jpg
 
  • +1
Reactions: LowInhibIncel
I was thinking about facial thirds today on my couch. Don't worry I wasn't smoking a blunt this time, but the bong was fully loaded
View attachment 432215
I believe the logic that all facial thirds should be even spits in the face of dimorphism

View attachment 432189
(even if you gave this man a wider chin and jaw. He still wouldn't be dimorphic. Equal facial thirds fail to be a dimorphic trait)


Maybe equal facial thirds is ideal for aesthetics, but people aren't swiping on tinder for aesthetics.
When the museums are replete with paintings and sculptures. They're swiping on sexy(dimorphic) people

While I said previously I think lower face:full face ratio is the most dimorphic ratio a man can have. This chart is another nail in the coffin of equal facial thirds for men

View attachment 432184

yes it stands above
- fwhr
- bizygomatic : bigonial ratio
- mandible length
- chin width

We even see extreme examples like Zayn Malik with a ratio of .7 standing in for the lack of other dimorphic traits
We can derive from this that
- the upper third should be the shortest
- lower third the longer
- middle thirds in the middle


Let's go over some celebs with these ideal ratios. Then some who have the opposite

Ideal Facial Thirds

View attachment 432194

View attachment 432195

View attachment 432197

(measuring from the widows peak)

Non-Ideal Facial Thirds

View attachment 432200

(cred to @SexuallyAbusive for the photo)

View attachment 432203
(he actually had the ideal facial thirds for a woman longer upper third, midface second lower face shortest)


Exceptions
Now some people are probably saying not all attractive man fit into these facial thirds. Yes, while this may be true the only reason they can afford this is because other features on their face make up for the lack of dimorphism in facial thirds

Like Brad Pitts Brick Jaw

View attachment 432209

but even then is lower third his still the longest third of his face

View attachment 432367



Tagged Users (If you want to get tagged in new threads, or removed from tag list PM me or drop a comment)
@JFLbuddyboyo , @the next o'pry , @SpearOfOrion , @GigaTyroneOrDeath , @PjSon , @Vvvvxxxx , @IndianJock, @stuckneworleans and @tyronelite

My Most Liked Threads

Why Black People Like Watermelon
Guide to EscortMaxxing
How Big Should Your Jaw, Neck and Shoulders Be
Most Male Models Have Small Skull

New Threads
Future of Marriage in The West
Why Woman Give Shit Advice
Ideal Shoulder Width for Slaying

I totally agree with you bro. Even facial thirds are feminine. Bigger lower thirds are dimorphic.

Check out my thread about masculine facial thirds:

IMO the optimum dom male proportions are 25% upper third, 30% middle third, and 45% lower third.
 
  • +1
Reactions: AscendingHero, Incoming, IndianJock and 1 other person
how to measure
 
  • So Sad
Reactions: LowInhibIncel
I was thinking about facial thirds today on my couch. Don't worry I wasn't smoking a blunt this time, but the bong was fully loaded
View attachment 432215
I believe the logic that all facial thirds should be even spits in the face of dimorphism

View attachment 432189
(even if you gave this man a wider chin and jaw. He still wouldn't be dimorphic. Equal facial thirds fail to be a dimorphic trait)


Maybe equal facial thirds is ideal for aesthetics, but people aren't swiping on tinder for aesthetics.
When the museums are replete with paintings and sculptures. They're swiping on sexy(dimorphic) people

While I said previously I think lower face:full face ratio is the most dimorphic ratio a man can have. This chart is another nail in the coffin of equal facial thirds for men

View attachment 432184

yes it stands above
- fwhr
- bizygomatic : bigonial ratio
- mandible length
- chin width

We even see extreme examples like Zayn Malik with a ratio of .7 standing in for the lack of other dimorphic traits
We can derive from this that
- the upper third should be the shortest
- lower third the longer
- middle thirds in the middle


Let's go over some celebs with these ideal ratios. Then some who have the opposite

Ideal Facial Thirds

View attachment 432194

View attachment 432195

View attachment 432197

(measuring from the widows peak)

Non-Ideal Facial Thirds

View attachment 432200

(cred to @SexuallyAbusive for the photo)

View attachment 432203
(he actually had the ideal facial thirds for a woman longer upper third, midface second lower face shortest)


Exceptions
Now some people are probably saying not all attractive man fit into these facial thirds. Yes, while this may be true the only reason they can afford this is because other features on their face make up for the lack of dimorphism in facial thirds

Like Brad Pitts Brick Jaw

View attachment 432209

but even then is lower third his still the longest third of his face

View attachment 432367



Tagged Users (If you want to get tagged in new threads, or removed from tag list PM me or drop a comment)
@JFLbuddyboyo , @the next o'pry , @SpearOfOrion , @GigaTyroneOrDeath , @PjSon , @Vvvvxxxx , @IndianJock, @stuckneworleans and @tyronelite

My Most Liked Threads

Why Black People Like Watermelon
Guide to EscortMaxxing
How Big Should Your Jaw, Neck and Shoulders Be
Most Male Models Have Small Skull

New Threads
Future of Marriage in The West
Why Woman Give Shit Advice
Ideal Shoulder Width for Slaying
bro chill with the smoking you will get lung cancer
 
  • Woah
Reactions: LowInhibIncel
Great thread
 
  • +1
Reactions: LowInhibIncel
Tag me next time
 
  • +1
Reactions: LowInhibIncel
I was thinking about facial thirds today on my couch. Don't worry I wasn't smoking a blunt this time, but the bong was fully loaded
View attachment 432215
I believe the logic that all facial thirds should be even spits in the face of dimorphism

View attachment 432189
(even if you gave this man a wider chin and jaw. He still wouldn't be dimorphic. Equal facial thirds fail to be a dimorphic trait)


Maybe equal facial thirds is ideal for aesthetics, but people aren't swiping on tinder for aesthetics.
When the museums are replete with paintings and sculptures. They're swiping on sexy(dimorphic) people

While I said previously I think lower face:full face ratio is the most dimorphic ratio a man can have. This chart is another nail in the coffin of equal facial thirds for men

View attachment 432184

yes it stands above
- fwhr
- bizygomatic : bigonial ratio
- mandible length
- chin width

We even see extreme examples like Zayn Malik with a ratio of .7 standing in for the lack of other dimorphic traits
We can derive from this that
- the upper third should be the shortest
- lower third the longer
- middle thirds in the middle


Let's go over some celebs with these ideal ratios. Then some who have the opposite

Ideal Facial Thirds

View attachment 432194

View attachment 432195

View attachment 432197

(measuring from the widows peak)

Non-Ideal Facial Thirds

View attachment 432200

(cred to @SexuallyAbusive for the photo)

View attachment 432203
(he actually had the ideal facial thirds for a woman longer upper third, midface second lower face shortest)


Exceptions
Now some people are probably saying not all attractive man fit into these facial thirds. Yes, while this may be true the only reason they can afford this is because other features on their face make up for the lack of dimorphism in facial thirds

Like Brad Pitts Brick Jaw

View attachment 432209

but even then is lower third his still the longest third of his face

View attachment 432367



Tagged Users (If you want to get tagged in new threads, or removed from tag list PM me or drop a comment)
@JFLbuddyboyo , @the next o'pry , @SpearOfOrion , @GigaTyroneOrDeath , @PjSon , @Vvvvxxxx , @IndianJock, @stuckneworleans and @tyronelite

My Most Liked Threads

Why Black People Like Watermelon
Guide to EscortMaxxing
How Big Should Your Jaw, Neck and Shoulders Be
Most Male Models Have Small Skull

New Threads
Future of Marriage in The West
Why Woman Give Shit Advice
Ideal Shoulder Width for Slaying
Smoking weed is a cortisol and estrogen increasing looksmin jfl
 
  • JFL
Reactions: JihadChad and LowInhibIncel

Similar threads

iliassslm
Replies
2
Views
52
iliassslm
iliassslm
Luka Slays Foids
Replies
3
Views
57
Sub-3inAgartha
Sub-3inAgartha
L
Replies
18
Views
138
servnlife
servnlife
M
Replies
14
Views
125
Marin Kitagawa
M
fortnitelover671
Replies
3
Views
67
Tsl
Tsl

Users who are viewing this thread

Back
Top